Информационная система
«Ёшкин Кот»

XXXecatmenu

ГОСТ Р 51903-2002

ГОСУДАРСТВЕННЫЙ СТАНДАРТ РОССИЙСКОЙ ФЕДЕРАЦИИ

 

ПЕРЕДАТЧИКИ РАДИОСВЯЗИ
СТАЦИОНАРНЫЕ ДЕКАМЕТРОВОГО
ДИАПАЗОНА ВОЛН

Основные параметры, технические требования
и методы измерений

 

 

ГОССТАНДАРТ РОССИИ
Москва

 

Предисловие

1 РАЗРАБОТАН Федеральным государственным унитарным предприятием Самарский отраслевой научно-исследовательский институт радио (ФГУП СОНИИР)

2 ПРИНЯТ И ВВЕДЕН В ДЕЙСТВИЕ Постановлением Госстандарта Российской Федерации от 24 июня 2002 г. № 245-ст

3 ВВЕДЕН ВПЕРВЫЕ

ГОСТ Р 51903-2002

ГОСУДАРСТВЕННЫЙ СТАНДАРТ РОССИЙСКОЙ ФЕДЕРАЦИИ

ПЕРЕДАТЧИКИ РАДИОСВЯЗИ СТАЦИОНАРНЫЕ ДЕКАМЕТРОВОГО ДИАПАЗОНА ВОЛН

Основные параметры, технические требования и методы измерений

Fixed high frequency transmitters for radio communication.

Basic parameters, technical requirements and methods of measurements

Дата введения 2003-01-01

1 Область применения

Настоящий стандарт распространяется на стационарные передатчики, предназначенные для работы на магистральных и зоновых линиях радиосвязи в декаметровом диапазоне волн с возможностью эксплуатации их на автоматизированных передающих центрах и рассчитанные на работу без постоянного обслуживающего персонала.

Стандарт устанавливает нормы на основные параметры передатчиков, технические требования и методы измерений основных параметров.

Требования к антенным системам, согласующим цепям, коммутационному оборудованию, а также к устройствам дистанционного программного управления в настоящем стандарте не устанавливаются. Требования к перечисленному оборудованию устанавливаются стандартами и другими нормативными документами на это оборудование.

2 Нормативные ссылки

В настоящем стандарте использованы ссылки на следующие стандарты:

ГОСТ 2.114-95 Единая система конструкторской документации. Технические условия

ГОСТ 2.601-95 Единая система конструкторской документации. Эксплуатационные документы

ГОСТ 12.1.003-83 Система стандартов безопасности труда. Шум. Общие требования безопасности

ГОСТ 12.1.006-84 Система стандартов безопасности труда. Электромагнитные поля радиочастот. Допустимые уровни на рабочих местах и требования к проведению контроля

ГОСТ 12.1.050-86 Система стандартов безопасности труда. Методы измерения шума на рабочих местах

ГОСТ 12.2.007.0-75 Система стандартов безопасности труда. Изделия электротехнические. Общие требования безопасности

ГОСТ 12.3.019-80 Система стандартов безопасности труда. Испытания и измерения электрические. Общие требования безопасности

ГОСТ 27.410-87 Надежность в технике. Методы контроля показателей надежности и планы контрольных испытаний на надежность

ГОСТ 13109-97 Электрическая энергия. Совместимость технических средств электромагнитная. Нормы качества электрической энергии в системах электроснабжения общего назначения

ГОСТ 14777-76 Радиопомехи индустриальные. Термины и определения

ГОСТ 15150-69 Машины, приборы и другие технические изделия. Исполнения для различных климатических районов. Категории, условия эксплуатации, хранения и транспортирования в части воздействия климатических факторов внешней среды

ГОСТ 18145-81 Цепи стыка С2 аппаратуры передачи данных с оконечным оборудованием при последовательном вводе-выводе данных. Номенклатура и технические требования

ГОСТ 23611-79 Совместимость радиоэлектронных средств электромагнитная. Термины и определения

ГОСТ 24375-80 Радиосвязь. Термины и определения

ГОСТ 26828-86 Изделия машиностроения и приборостроения. Маркировка

ГОСТ 30318-95 / ГОСТ Р 50016-92 Совместимость технических средств электромагнитная. Требования к ширине полосы радиочастот и внеполосным излучениям радиопередатчиков. Методы измерений и контроля

ГОСТ 30338-95 / ГОСТ Р 50657-94 Совместимость радиоэлектронных средств электромагнитная. Устройства радиопередающие всех категорий и назначений народнохозяйственного применения. Требования к допустимым отклонениям частоты. Методы измерений и контроля

ГОСТ 30372-95 / ГОСТ Р 50397-92 Совместимость технических средств электромагнитная. Термины и определения

ГОСТ 30373-95 / ГОСТ Р 50414-92 Совместимость технических средств электромагнитная. Оборудование для испытаний. Камеры экранированные. Классы, основные параметры, технические требования и методы испытаний

ГОСТ 30429-96 Совместимость технических средств электромагнитная. Радиопомехи индустриальные от оборудования и аппаратуры, устанавливаемых совместно со служебными радиоприемными устройствами гражданского назначения

ГОСТ Р 8.568-97 Государственная система обеспечения единства измерений. Аттестация испытательного оборудования. Основные положения

ГОСТ Р 50460-92 Знак соответствия при обязательной сертификации. Форма, размеры и технические требования

ГОСТ Р 50799-95 Совместимость технических средств электромагнитная импульсным помехам. Устойчивость технических средств радиосвязи к электростатическим разрядам, импульсным помехам и динамическим изменениям напряжения сети электропитания. Требования и методы испытаний

ГОСТ Р 50829-95 Безопасность радиостанций, радиоэлектронной аппаратуры с использованием приемопередающей аппаратуры и их составных частей. Общие требования и методы испытаний

ГОСТ Р 50842-95 Совместимость радиоэлектронных средств электромагнитная. Устройства радиопередающие народнохозяйственного применения. Требования к побочным радиоизлучениям. Методы измерения и контроля

ГОСТ Р 51320-99 Совместимость технических средств электромагнитная. Радиопомехи индустриальные. Методы испытаний технических средств - источников индустриальных радиопомех

ГОСТ Р 51664-2000 Системы и аппаратура автоматического управления каналами радиосвязи. Основные параметры

ГОСТ Р 51799-2001 Соединители радиочастотные мощные. Основные параметры и технические требования. Методы испытаний и измерений

ГОСТ Р 51807-2001 Фидеры передающие внутренние диапазонов низких, средних и высоких частот. Типы, основные параметры, технические требования, методы измерений

ГОСТ Р 51820-2001 Устройства преобразования сигналов для радиоканалов тональной частоты. Типы, технические характеристики и параметры сопряжения

3 Определения и сокращения

3.1 В настоящем стандарте применяют следующие термины с соответствующими определениями:

3.1.1 радиопередатчик (далее - передатчик): Устройство для формирования радиочастотного сигнала, подлежащего излучению.

3.1.2 вспомогательное оборудование: Оборудование, применяемое совместно с передатчиком для обеспечения дополнительных эксплуатационных и (или) функциональных возможностей передатчика и не используемое в отдельности от него.

3.1.3 цепи ввода - вывода передатчика: Входные и выходные цепи передатчика, по которым передаются сигналы данных, связи и управления.

3.1.4 пиковая мощность передатчика: Выходная мощность передатчика, соответствующая максимальной амплитуде радиочастотного сигнала (модуляционной огибающей).

3.1.5 средняя мощность передатчика: Выходная мощность нормально работающего передатчика, определяемая как среднее значение мощности за время, превышающее период наименьшей частоты модулирующего сигнала, в течение которого средняя мощность постоянна.

3.1.6 амплитудно-частотная характеристика (АЧХ): Зависимость коэффициента модуляции (передачи) от частоты модулирующих колебаний в заданной полосе частот передатчика.

3.1.7 несущая частота: Частота несущего гармонического электрического колебания, предназначенного для образования радиочастотного модулированного сигнала путем изменения одного или нескольких параметров этого колебания с целью передачи информации.

3.1.8 режим несущей при оптимальной загрузке: Работа передатчика на несущей частоте на согласованную нагрузку без модуляции и манипуляции в режиме работы каскадов передатчика, обеспечивающих заданные в технических условиях (ТУ) значения мощности, промышленного КПД и уровня нелинейных комбинационных искажений (при телефонии).

3.1.9 режим 100 % несущей: Работа передатчика в режиме класса излучения N0N с номинальной мощностью.

Примечание - Обозначения основных классов излучений приведены в приложении А.

3.1.10 время переключения передатчика на заранее подготовленный канал (ЗПК): Интервал времени между окончанием команды по установлению необходимых режимов работы и частоты передатчика, характеризующих ЗПК, и моментом окончания всех переключений и согласований, обеспечивающих работу передатчика на данном ЗПК с требуемыми параметрами.

3.1.11 время настройки на любую частоту рабочего диапазона: Интервал времени между окончанием команды на перестройку частоты и моментом времени, после которого параметры выходного сигнала передатчика с новым значением частоты находятся в установленных пределах.

В стандарте применяют и другие термины, установленные в ГОСТ 14777, ГОСТ 23611, ГОСТ 24375, ГОСТ 30372 / ГОСТ Р 50397.

3.2 В настоящем стандарте используют следующие сокращения:

АЧХ - амплитудно-частотная характеристика,

ВЧ - высокая частота,

ГВЗ - групповое время запаздывания,

ЗПК - заранее подготовленный канал,

КПД - коэффициент полезного действия,

КСВ - коэффициент стоячей волны,

НЧ - низкая частота,

ПОЧ - паразитное отклонение частоты,

ПОФ - паразитное отклонение фазы,

СИ - средства измерений,

ТФ - телефонный канал,

ТУ - технические условия,

УОП - устройство обратного преобразования частоты,

ФЧХ - фазочастотная характеристика,

СКЗ - среднее квадратическое значение.

4 Основные параметры

4.1 Номинальные средняя и пиковая мощность передатчиков в однополосных режимах - 1; 5; 20; 30; 50; 100 кВт.

4.2 Допустимое отклонение мощности от номинального значения на любой частоте рабочего диапазона - в пределах ±1 дБ.

4.3 Диапазон рабочих частот - от 3,0 до 29,9999 МГц.

4.4 Шаг сетки частот - 1; 10; 100 Гц.

4.5 Уровень нелинейных комбинационных искажений:

- для передатчиков мощностью до 50 кВт включ. - не более минус 36 дБ,

- для передатчиков мощностью св. 50 кВт - не более минус 38 дБ.

4.6 Среднее квадратическое значение ПОЧ выходного колебания, измеренное в полосе частот от 30 до 3400 Гц, - не более 4 Гц.

4.7 Среднее квадратическое значение ПОФ выходного колебания, измеренное в полосе частот от 30 до 3400 Гц, - не более 4°.

4.8 Уровень фоновых составляющих (отношение фон/сигнал) выходного колебания, измеренный в полосе частот от 30 до 300 Гц, - не более минус 50 дБ.

4.9 Уровень шума в однополосных каналах (таблица 1):

ТФ-2,35, ТФ-2,75, ТФ-3,1 - не более минус 58 дБ;

ТФ-5,9 - не более минус 56 дБ.

4.10 Уровень линейных переходных искажений между однополосными каналами - не более минус 60 дБ.

4.11 Типы телефонных каналов, ширина полосы частот и допустимая неравномерность АЧХ в каналах - по таблице 1.

Таблица 1 - Типы и основные параметры телефонных каналов

Тип канала

Ширина полосы пропускания, Гц

Полоса частот, Гц

Допустимая неравномерность АЧХ, дБ

ТФ-3,1

300 - 3400

От 300 до 400

 

Св. 3300 до 3400 включ.

От -0,5 до +2,5

От 400 до 500

 

Св. 3100 до 3300 включ.

От -0,5 до +2,0

От 500 до 600

 

Св. 2900 до 3100 включ.

От -0,5 до +1,5

От 600 до 800

 

Св. 2700 до 2900 включ.

От -0,5 до +1,0

От 800 до 2700 включ.

+0,75

ТФ-2,35

350 - 2700

От 350 до 2700 включ.

Не более 3,0

ТФ-2,75

250 - 3000

От 250 до 3000 включ.

ТФ-5,9

100 - 6000

От 100 до 6000 включ.

Примечания

1 Неравномерность АЧХ телефонного канала ТФ-3,1 измеряют относительно коэффициента передачи на частоте 1000 Гц.

2 Неравномерность АЧХ телефонных каналов ТФ-2,35, ТФ-2,75, ТФ-5,9 измеряют относительно максимального коэффициента передачи в полосе пропускания.

4.12 Регулируемый уровень сигнала несущей частоты (пилот-сигнала) должен соответствовать выбранному режиму работы и устанавливаться ступенями минус 6, минус 16, минус 20, минус 26 дБ относительно уровня в режиме 100 % несущей с погрешностью в пределах ±1 дБ.

Нерегулируемый уровень (остаток) сигнала несущей частоты при излучении классов J3E, J8E - не более минус 40 дБ.

4.13 Средний квадратический относительный уровень гармоник, измеренный в полосе телефонного канала, - не более минус 38 дБ.

4.14 Допустимая неравномерность характеристики ГВЗ телефонных каналов - по таблице 2.

Таблица 2 - Допустимая неравномерность характеристики ГВЗ телефонных каналов

Тип канала

Ширина полосы пропускания, Гц

Частота, полоса частот, Гц

Допустимая неравномерность ГВЗ, мс

 

 

300

От 0,900 до 1,450 включ.

 

 

400

»   0,675  »  1,200     »

 

 

500

»   0,525  »  0,875     »

 

 

600

»   0,375  »  0,650     »

 

 

800

»   0,200  »  0,350     »

 

 

1000

»   0,075  »  0,200     »

 

 

1400

»   0,010  »  0,075     »

ТФ-3,1

300 - 3400

От 1600 до 2200 включ.

»   0,000  »  0,065     »

 

 

2400

»   0,015  »  0,095     »

 

 

2800

»   0,100  »  0,250     »

 

 

3000

»   0,210  »  0,395     »

 

 

3200

»   0,375  »  0,700     »

 

 

3300

»   0,500  »  0,900     »

 

 

3400

»   0,625  »  1,300     »

ТФ-2,35

350 - 2700

От 350 до 2700 включ.

Не более 0,5

ТФ-2,75

250 - 3000

От 500 до 2700 включ.

Не более 0,8

ТФ-5,9

100 - 6000

От 550 до 5500 включ.

Не более 0,8

Примечания - Неравномерность характеристики ГВЗ в указанных типах телефонных каналов измеряют относительно минимального времени замедления в полосе частот каналов.

4.15 Номинальное значение напряжения (уровня) сигнала звуковой частоты на входах телефонных каналов - 0,775 В (0 дБ).

4.16 Пределы регулирования уровня сигнала на входе каждого телефонного канала относительно номинального значения - от минус 20 до плюс 10 дБ.

4.17 Передатчики должны иметь симметричные НЧ входы, сопротивление которых в пределах диапазона модулирующих частот 100 - 6000 Гц должно быть равным (600 ± 30) Ом.

4.18 Коэффициент асимметрии входа телефонного канала - не более минус 46 дБ.

4.19 Скорость телеграфирования при работе передатчиков в классах излучения А1А, А1В, F1A, F1B, F1D, F7B - 50, 100, 200 Бод.

4.20 Номинальные значения сдвигов частот в классах излучения:

F1A, F1B, F1D - 200, 400, 500 Гц;

F7B - 200, 400 Гц.

4.21 Допустимое отклонение сдвигов частот от номинальных значений - в пределах ±1 %.

4.22 Краевые искажения, вносимые передатчиками в классах излучения А1А, А1В, F1A, F1B, F1D, F7B, - не более 5 %.

4.23 Уровень излучения в паузах при работе передатчиков в классах излучения А1А, А1В относительно уровня при «Посылке» - не более минус 70 дБ.

4.24 Промышленный КПД передатчиков - по таблице 3.

Таблица 3 - Значения промышленного КПД передатчиков

Мощность передатчика, кВт

КПД, %, не менее

Мощность передатчика, кВт

КПД, %, не менее

1

35

20; 30; 50

42

5

37

100

47

4.25 Время переключения передатчиков мощностью до 5 кВт на ЗПК должно соответствовать требованиям, указанным в таблице 4.

Таблица 4 - Значения времени переключения передатчиков

Категория передатчика

Время переключения на ЗПК, с, не более

для резонансных передатчиков

для широкополосных передатчиков

Двойного (специального) назначения

1,0

0,1

Общего (гражданского) назначения

2,0

0,3

Время переключения передатчиков мощностью свыше 5 кВт указывают в ТУ на передатчик конкретного типа.

4.26 Время настройки на любую частоту диапазона (из указанных в ТУ на передатчик конкретного типа) должно соответствовать требованиям, указанным в таблице 5.

Таблица 5 - Значения времени настройки передатчиков

Категория передатчика

Время настройки, с, не более

для резонансных передатчиков

для широкополосных передатчиков

Двойного (специального) назначения

3,0

0,5

Общего (гражданского) назначения мощностью:

 

 

1 и 5 кВт

5,0

1,5

20; 30; 50 кВт

7,0

100 кВт

35,0

Примечания

1 В технически обоснованных случаях допускается разработка, изготовление и использование передатчиков номинальной мощностью 200 (250) кВт. Требования по уровню нелинейных комбинационных искажений, КПД, времени переключения и настройки, наработке на отказ устанавливают в этом случае в ТУ на передатчик конкретного типа. Требования к остальным параметрам - по настоящему стандарту.

2 По требованию заказчика диапазон рабочих частот может быть расширен (или ограничен):

- для передатчиков мощностью менее 20 кВт - от 1,5 до 29,9999 МГц;

- для передатчиков мощностью 20 - 100 кВт - от 2,5 до 29,9999 МГц;

- для передатчиков мощностью 100 кВт и более - от 5,0 до 29,9999 МГц.

3 При работе передатчиков в режиме передачи цифровой информации допускается снижение требований к следующим параметрам:

- уровню нелинейных комбинационных искажений - не более минус 34 дБ;

- уровню фоновых составляющих выходного колебания, измеряемых в полосе частот от 30 до 300 Гц, - не более минус 48 дБ.

Требования к остальным параметрам - согласно настоящему стандарту.

4 Для передатчиков, использующих принципы широкополосного усиления, требования к уровню нелинейных комбинационных искажений устанавливают в ТУ на передатчик конкретного типа.

5 При работе передатчиков в классах излучения А1А, А1В, F1A, F1B, F1D, F7B по требованию заказчика допускаются скорости телеграфирования 75, 150, 300, 500, 600, 1000 и 1200 Бод.

6 При работе передатчиков в классах излучения F1A, F1B, F1D по требованию заказчика допускаются сдвиги частот 85, 125, 170, 340 и 1000 Гц.

7 При работе передатчиков в классе излучения F7B по требованию заказчика допускаются сдвиги между смежными частотами 250, 500 и 1000 Гц.

8 Для сдвигов частот 85, 170 и 340 Гц допускается их отклонение от номинальных значений в пределах ±3 %, для остальных сдвигов - в пределах ±1 %.

9 Число и типы телефонных каналов устанавливают в ТУ на передатчик конкретного типа.

5 Технические требования

5.1 Общие технические требования

5.1.1 Передатчики следует изготавливать в соответствии с требованиями настоящего стандарта и ТУ на передатчик конкретного типа.

Передатчики должны иметь комплект эксплуатационных документов в соответствии с требованиями ГОСТ 2.601.

Пример условного обозначения передатчика радиосвязи декаметрового диапазона волн мощностью 20 кВт:

ПРС-20 ХХХХ.ХХХХХХ.ХХХ ТУ

Примечание - Обозначение ТУ - по ГОСТ 2.114.

5.1.2 Передатчики должны работать на несимметричные антенные фидеры с волновым сопротивлением 50 или 75 Ом и (или) симметричные антенные фидеры с волновым сопротивлением 150 или 300 Ом в соответствии с ГОСТ Р 51807.

Допускается подключение к передатчикам с несимметричным ВЧ выходом коаксиальных кабелей с мощными радиочастотными соединителями по ГОСТ Р 51779 с волновым сопротивлением 50 или 75 Ом.

5.1.3 Присоединительные размеры ВЧ выхода передатчиков для подключения внутреннего передающего фидера или коаксиального кабеля с мощным радиочастотным соединителем должны соответствовать требованиям ГОСТ Р 51807 или ГОСТ Р 51799 и указаны в ТУ на передатчик конкретного типа.

5.1.4 Передатчики должны выделять в антенную систему номинальную мощность при следующих значениях КСВ в антенном фидере:

1; 5              кВт - не более 4,0;

20; 30; 50    «        «   «       3,33;

100              «        «   «       1,66.

5.1.5 В передатчиках должна быть предусмотрена возможность уменьшения выходной мощности до 50 % от номинальной. Другие фиксированные градации уменьшения выходной мощности, при необходимости, устанавливают в ТУ на передатчик конкретного типа.

5.1.6 В передатчиках мощностью 20 кВт и выше должен обеспечиваться непрерывный контроль параметров, характеризующих его исправную работу (выходной мощности, КСВ, наличие сигнала модуляции или манипуляции на входе и др.).

Необходимость обеспечения непрерывного контроля для передатчиков мощностью менее 20 кВт устанавливают в ТУ на передатчик конкретного типа.

5.1.7 Передатчики должны содержать направленные ответвители, элементы связи и другие устройства, обеспечивающие подключение необходимых средств измерений (СИ) и испытательного оборудования.

5.1.8 Параметры передатчиков должны соответствовать установленным в настоящем стандарте значениям по истечении 3 мин после включения (кроме стабильности рабочей частоты) и при дальнейшей работе - за период не менее 6 мес - не выходить за пределы, установленные настоящим стандартом, без какой-либо дополнительной регулировки.

Примечание - Время готовности передатчиков к работе с заданной стабильностью рабочей частоты определяется типом используемого в возбудителе передатчика опорного генератора и должно быть указано в его ТУ.

5.1.9 Обрыв или короткое замыкание на выходе передатчиков, а также превышение допустимого значения КСВ в антенно-фидерном тракте не должны приводить к повреждению передатчиков при их работе.

5.2 Требования к возбудителям передатчиков

5.2.1 Возбудители должны обеспечивать работу передатчиков в классах излучения А1А, А1В, R3E, R8E, В8Е, Н1В, Н2А, Н2В, Н3Е, Н8А, J3E, J8E, F1A, F1B, F1D, F3E, F7B, G1A, N0N.

По согласованию с заказчиком допускается работа передатчиков в других классах излучения.

5.2.2 Возбудители должны иметь входы для работы в классах излучения А1А, F1B, F1D, F7B (телеграфные режимы работы). Работа в указанных режимах должна обеспечиваться без потери стабильности частоты при подаче на входы телеграфных каналов:

- однополярных положительных посылок тока значением от 50 до 60 мА при входном сопротивлении 1 кОм;

- двухполярных посылок тока значением от 20 до 30 мА при входном сопротивлении 1 кОм;

- двухполярных посылок тока значением 5 мА при входном сопротивлении 5 кОм.

В состав передатчиков могут включаться тональные усилители - выпрямители, обеспечивающие работу возбудителя от тональных посылок с частотами заполнения от 900 до 4000 Гц и уровнями от 10 до минус 17 дБ относительно номинального уровня 0 дБ (0,775 В) на нагрузке 600 Ом.

5.2.3 В возбудителях по требованию заказчика может быть предусмотрен вход для ввода внешней информации на несущей частоте 128 кГц, в полосе частот ±20 кГц, напряжением от 50 до 200 мВ.

Технические требования к тракту ввода внешней информации устанавливают в ТУ на возбудитель конкретного типа.

5.2.4 В состав возбудителя по требованию заказчика может входить устройство обратного преобразования (УОП) выходного ВЧ сигнала промежуточной частоты 128 кГц для контроля измерения параметров передатчика. Технические требования к УОП устанавливают в ТУ на возбудитель конкретного типа.

5.2.5 В возбудителях должен быть предусмотрен выход колебания опорного генератора частотой 5 МГц, напряжением (250 ± 50) мВ, на нагрузке 50 Ом.

5.2.6 Возбудители должны обеспечивать работу от внешнего опорного колебания частотой 5 МГц, напряжением (250 ± 50) мВ. При этом стабильность частоты выходного сигнала возбудителей определяется стабильностью внешнего опорного колебания.

5.2.7 При любых неисправностях должна быть исключена возможность получения на выходе возбудителя частоты, не соответствующей заданной органами управления или программно.

5.3 Требования надежности

5.3.1 Наработка на отказ передатчиков должна соответствовать указанной в таблице 6.

Таблица 6 - Минимально допустимая наработка на отказ передатчиков

Мощность, кВт

Наработка на отказ, ч, не менее, для передатчиков

полупроводниково-ламповых

полупроводниковых

1

3000

6000

5

2600

5000

20; 30; 50

2300

4000

100

2000

-

5.3.2 Средняя наработка на отказ механической и электрической блокировок передатчиков - не менее 10000 циклов.

5.3.3 Среднее время восстановления работоспособности передатчиков - не более 30 мин.

5.3.4 Продолжительность непрерывной работы передатчиков - 24 ч в сутки. Периодичность профилактического осмотра передатчиков устанавливают в ТУ на передатчик конкретного типа.

5.3.5 Срок службы передатчиков должен быть не менее 15 лет.

5.4 Требования безопасности

5.4.1 Требованиям безопасности должны отвечать передатчики и все вспомогательные устройства, необходимые для их нормальной работы. Требования безопасности к антенным системам, фидерам, коммутационным и согласующим устройствам в настоящем стандарте не устанавливаются. Требования безопасности к перечисленному оборудованию устанавливаются соответствующими стандартами на это оборудование, а также Правилами [11].

5.4.2 Передатчики должны отвечать требованиям ГОСТ 12.2.007.0, ГОСТ Р 50829, а также требованиям Правил [1 - 3].

5.4.3 Все передатчики, кроме указанных в 5.4.4, должны быть снабжены независимыми механической (жезловой или рычажной) и электрической блокировками, а также защитными средствами, обеспечивающими безопасность работы.

5.4.4 В передатчиках с рабочим напряжением не более 1000 В при полной потребляемой мощности не более 5 кВ · А допускается иметь только механическую блокировку. Объем блокировки транзисторных передатчиков при полной потребляемой мощности более 5 кВ · А указывают в ТУ на передатчик конкретного типа.

5.4.5 Состав и технические характеристики механической и электрической блокировок передатчиков должны удовлетворять требованиям [4].

5.4.6 Передатчики должны иметь релейную или электронную защиту от превышения допустимых токов и напряжений, а также защитное заземление, выполненные по ТУ на передатчик конкретного типа.

5.4.7 Конструкция, материалы и комплектующие, из которых изготовлено оборудование передатчиков, должны исключать возможность его воспламенения и разрушения при случайном замыкании или иных неисправностях в цепях электропитания и мощных выходных каскадах передатчика.

5.4.8 Температура наружных поверхностей оборудования передатчиков во время работы при нормальных климатических условиях не должна превышать 45 °С в местах постоянного контакта обслуживающего персонала с поверхностью и 60 °С - в местах случайного прикосновения к поверхности оборудования.

5.4.9 Электрическое сопротивление между болтом (контактом) защитного заземления и каждой доступной прикосновению металлической нетоковедущей частью передатчиков, которая может оказаться под напряжением, должно быть не более 0,1 Ом.

5.4.10 Электрическая прочность и сопротивление изоляции цепей электропитания передатчиков должны соответствовать следующим требованиям.

5.4.10.1 Изоляция цепей электропитания относительно корпуса и между собой в зависимости от номинального напряжения цепи и условий испытаний должна выдерживать в течение 1 мин действие испытательного синусоидального напряжения частотой 50 Гц, значения которого указаны в таблице 7.

Таблица 7 - Значения испытательного напряжения при проверке изоляции цепей электропитания

В вольтах

Номинальное напряжение цепи

Испытательное напряжение

До 60 включ.

500

Св. 60       до   130      включ.

1000

»   130      »     250           »

1500

»   250      »     660           »

2000

»   660      »     1000        »

3000

»   1000   »     1500        »

4000

»   1500   »     2000        »

5000

»   2000   »     7000        »

2UHOM + 1000

»   7000   »     30000      »

1,3UHOM + 6000

Примечания

1 Для цепей переменного тока номинальным считается его среднее квадратическое значение.

2 Испытательное напряжение указано для нормальных условий испытаний при относительной влажности не более 80 %.

5.4.10.2 Изоляция цепей электропитания с различными номинальными напряжениями должна выдерживать приложенное между ними испытательное напряжение, соответствующее наибольшему номинальному напряжению этих цепей.

5.4.10.3 Минимально допустимое электрическое сопротивление изоляции цепей электропитания номинальным напряжением до 500 В устанавливают в ТУ на передатчик конкретного типа, выбирая в зависимости от условий испытаний из рядов рекомендуемых значений, приведенных в таблице 8.

Таблица 8 - Минимально допустимое электрическое сопротивление изоляции цепей электропитания

Условия испытаний

Минимально допустимое электрическое сопротивление изоляции, МОм

Нормальные

20; 40; 100; 500; 1000

При верхнем значении температуры рабочих условий

5; 10; 20; 50; 200

При верхнем значении относительной влажности рабочих условий

1; 2; 5; 7; 50

Примечание - Для электрических цепей напряжением до 100 В допускается снижать значение минимально допустимого электрического сопротивления, но не менее 1 МОм.

5.4.10.4 Минимально допустимое сопротивление изоляции цепей электропитания номинальным напряжением свыше 500 В определяют умножением значений, указанных в таблице 8, на коэффициент, равный отношению номинального напряжения цепи к 500 В.

5.4.11 Уровень электромагнитных полей радиочастот, создаваемых передатчиками на рабочих местах обслуживающего персонала, должен соответствовать требованиям ГОСТ 12.1.006 и Санитарным правилам и нормам [5].

5.4.12 Уровень звукового давления и уровень звука (акустического шума), создаваемые передатчиками на рабочих местах обслуживающего персонала, должны соответствовать требованиям ГОСТ 12.1.003 и ВСН [6].

5.5 Требования электромагнитной совместимости

5.5.1 Максимально допустимое относительное отклонение рабочей частоты от номинального значения в течение 1 мес не должно превышать значения ±5 · 10-8.

Допускается устанавливать по согласованию с заказчиком менее жесткие требования к допустимому отклонению частоты, но не хуже значений, установленных ГОСТ 30338 / ГОСТ Р 50657.

5.5.2 Средняя мощность любого побочного радиоколебания, передаваемого передатчиками в антенно-фидерное устройство, не должна превышать значений, установленных ГОСТ Р 50842 и указанных на рисунке 1.

Полоса пропускания измерительного приемника (анализатора спектра) составляет для отстроек от частоты fн:

- от 6 до 25 кГц......................................................... £ 200 Гц

- св. 25 кГц до 0,1 fн................................................. 1000 Гц

- св. 0,1 fн.................................................................... 3000 Гц

Рисунок 1 - Пределы средней мощности побочных радиоколебаний, передаваемых в антенно-фидерное устройство

5.5.3 Уровень побочных дискретных составляющих в выходном сигнале передатчиков при отстройке от fн до 8fн (fн - значение несущей частоты передатчиков) должен быть не более минус 70 дБ.

5.5.4 Номинальное значение контрольной ширины полосы радиочастот и спектр внеполосных радиоколебаний должны соответствовать требованиям ГОСТ 30318 / ГОСТ Р 50016.

Примечание - Формулы для расчета норм на ширину полосы радиочастот и внеполосных радиоколебаний приведены в приложении Б.

5.5.5 Индустриальные радиопомехи, создаваемые передатчиками, в соответствии с требованиями ГОСТ 30429 должны удовлетворять:

а) квазипиковым и средним значениям несимметричного напряжения радиопомех в полосе частот от 0,15 до 100 МГц, приведенным на рисунке 2;

Рисунок 2 - Нормы напряжения радиопомех

б) квазипиковым значениям напряженности поля радиопомех в полосе частот от 0,009 до 1000 МГц, приведенным на рисунке 3.

Рисунок 3 - Нормы напряженности поля радиопомех

5.5.6 Передатчики должны удовлетворять требованиям ГОСТ Р 50799 на устойчивость к воздействию:

а) контактных электростатических разрядов напряжением 4 кВ;

б) наносекундных импульсных помех с амплитудой 2 кВ во входных цепях силового электропитания и с амплитудой 1 кВ в цепях ввода - вывода;

в) микросекундных импульсных помех с амплитудой 1 кВ во входных цепях силового электропитания (по схеме «провод - земля»);

г) динамических изменений напряжения сети электропитания с параметрами:

1) амплитуда провала напряжения сети электропитания - 30 % от номинального значения; длительность провала - 500 мс (25 периодов);

2) амплитуда прерывания напряжения сети электропитания - 95 % от номинального значения; длительность прерывания - 20 мс (один период);

3) выбросы напряжения сети электропитания - 20 % от номинального значения.

5.6 Требования к электропитанию

5.6.1 Электропитание передатчиков должно обеспечиваться от сети трехфазного переменного тока номинальным напряжением 380 В и частотой 50 Гц.

Электропитание возбудителей передатчиков должно обеспечиваться от сети однофазного переменного тока номинальным напряжением 220 В и частотой 50 Гц.

5.6.2 Параметры передатчиков, установленные настоящим стандартом, должны сохранять свои значения при показателях качества электроэнергии во входных цепях силового электропитания, установленных ГОСТ 13109.

Пределы изменения выходной мощности при отклонениях напряжения во входных цепях силового электропитания устанавливают в ТУ на передатчик конкретного типа.

5.6.3 При отклонениях напряжения во входных цепях силового электропитания передатчиков от плюс 10 % до минус 15 % от номинального значения при частоте (50 ± 1) Гц передатчики должны работать с обязательным выполнением нормы на допустимое отклонение рабочей частоты от номинального значения. Допускается отклонение выходной мощности, увеличение уровня фоновых составляющих и нелинейных комбинационных искажений, значения которых устанавливают в ТУ на передатчик конкретного типа.

5.6.4 Отключение одной из фаз сети электропитания или кратковременное пропадание напряжения сети не должно вызывать повреждения передатчиков.

5.6.5 Коэффициент мощности передатчиков должен быть не менее 0,92.

5.7 Требования к системам управления и автоматики

5.7.1 Работа передатчиков должна обеспечиваться при следующих видах управления:

- местное ручное и автоматическое управления с лицевой панели передатчика;

- дистанционное управление с выносного пульта или от программного устройства.

5.7.2 Местное и дистанционное управления должны предусматривать следующие команды:

- включение и отключение питающих напряжений (накала, смещения, высокого напряжения);

- выбор рабочей частоты, каналов информации, режимов работы, сдвигов частот, скоростей телеграфирования;

- установку уровней пилот-сигнала и выходной мощности;

- коммутацию рабочих антенн, переход на эквивалент антенны;

- регулировку уровня входного модулирующего сигнала, в том числе отключение модулирующего сигнала.

Примечание - Дополнительные команды в состав местного и дистанционного управления могут включаться в ТУ на передатчик конкретного типа.

5.7.3 Передатчики должны обеспечивать возможность работы в составе автоматического передающего центра (приемопередающего) в системе автоматического управления каналами радиосвязи по ГОСТ Р 51664.

Требования к характеристикам стыка передатчиков с устройствами преобразования сигналов должны соответствовать ГОСТ Р 51820.

Сопряжение передатчика с устройством дистанционного (программного) управления и контроля рекомендуется проводить с использованием интерфейсов С2 по ГОСТ 18145 (RS-232C) и (или) RS-485.

5.7.4 При всех видах управления должны обеспечиваться:

- блокировка включения электропитания передатчика при открытых средствах доступа в передатчик или при отсутствии его нормального охлаждения;

- блокировка выполнения ошибочных команд обслуживающего персонала;

- автоматическое отключение передатчика при получении аварийных сигналов от аппаратуры допускового контроля или от датчиков пожарной сигнализации.

5.7.5 Система автоматики должна исключать возможность дистанционного управления передатчиками при нахождении его в режиме местного управления.

5.7.6 В автоматизированных передатчиках должно обеспечиваться автоматическое переключение на любой ЗПК и автоматическая настройка на любую частоту рабочего диапазона (из указанных в ТУ на передатчик конкретного типа).

5.7.7 В передатчиках общего (гражданского) назначения рекомендуется предусматривать не менее 24 ЗПК. В передатчиках двойного (специального) назначения рекомендуется предусматривать не менее 100 ЗПК.

Примечание - Распределение ЗПК в рабочем диапазоне для конкретного передатчика (передатчиков) устанавливает заказчик.

5.7.8 Контроль за управлением и работой передатчика должен осуществляться по приборам и индикаторам, находящимся на его лицевой панели и (или) пульте управления. При дистанционном программном управлении контроль осуществляется по дисплею программно-вычислительного устройства.

5.7.9 При нарушении электрической или механической блокировки передатчиков должно обеспечиваться автоматическое заземление выхода передатчиков и антенного фидера.

5.7.10 В передатчиках, построенных по схеме сложения мощностей нескольких блоков, необходимо предусмотреть отключение вышедшего из строя блока и выдачу сигнала на лицевую панель и (или) пульт управления (программное устройство) об уменьшении выходной мощности.

5.7.11 Система управления, блокировки и сигнализации должна обеспечивать:

- соблюдение необходимой последовательности операций по включению и отключению напряжений;

- сигнализацию выполняемых операций;

- необходимые временные задержки между отдельными операциями и исключать возможность нарушения последовательности выполнения операций;

- автоматическое восстановление установленного режима при кратковременном (до 3 с) отключении питающей электросети;

- защиту оборудования и обслуживающего персонала.

5.7.12 Система автоматической настройки контуров передатчиков, использующих принцип резонансного усиления, должна предусматривать настройку контуров передатчиков в два этапа:

- грубая (предварительная) настройка - при отсутствии высокого напряжения на контурах передатчика - по отдельной команде;

- точная настройка - автоматически после включения высокого напряжения и подачи возбуждения на контуры передатчиков.

Примечание - В зависимости от построения ВЧ тракта и требований к точности настройки допускается проведение настройки контуров в один этап.

5.7.13 Система автоматической настройки контуров передатчиков при необходимости должна обеспечивать автоматическую настройку контуров при их расстройке под влиянием внешних и внутренних дестабилизирующих факторов.

5.8 Требования стойкости к климатическим и механическим воздействиям

5.8.1 Параметры передатчиков общего (гражданского) назначения не должны отличаться от установленных в настоящем стандарте в условиях климатических воздействий, соответствующих категориям 4, 4.1, 4.2 исполнения УХЛ по ГОСТ 15150.

5.8.2 Отклонение параметров передатчиков общего (гражданского) назначения от установленных в настоящем стандарте при предельных рабочих значениях внешних климатических факторов, а также при снижении атмосферного давления до 80 кПа (на высоте 2000 м над уровнем моря) должно быть указано в ТУ на передатчик конкретного типа.

5.8.3 Параметры передатчиков двойного (специального) назначения не должны отличаться от установленных в настоящем стандарте в условиях климатических воздействий, соответствующих категориям 4, 4.1, 4.2 исполнения УХЛ или О по ГОСТ 15150.

5.8.4 Отклонение параметров передатчиков двойного (специального) назначения от установленных в настоящем стандарте при предельных рабочих значениях внешних климатических факторов, а также при снижении атмосферного давления до 70 кПа (на высоте 3000 м над уровнем моря) должно быть указано в ТУ на передатчик конкретных типов.

5.8.5 Требования к охлаждению передатчиков (виду охлаждения - воздушное, водяное, испарительное или их комбинации; температуре воздуха (воды), поступающего в систему воздушного (водяного) охлаждения; степени очистки воздуха (воды), охлаждающего передатчик; количеству тепла, выделяемого передатчиком непосредственно в аппаратный зал; наличию защитных устройств, обеспечивающих экстренное отключение передатчика при выходе из строя системы охлаждения и др.) устанавливают в ТУ на передатчик конкретного типа.

5.8.6 Передатчики в упакованном виде должны быть пригодны к транспортированию в крытых железнодорожных вагонах, кузовах автомашин, контейнерах, закрытых трюмах судов, а также воздушным транспортом. Вид транспортирования должен быть указан в ТУ на передатчик конкретного типа.

Примечание - Транспортирование воздушным транспортом разрешается только в отапливаемых герметизированных отсеках.

5.8.7 Передатчики должны храниться в упакованном виде в складских помещениях в условиях хранения 3 по ГОСТ 15150 и при отсутствии в воздухе паров кислот, щелочей и других агрессивных примесей.

5.9 Требования к маркировке

5.9.1 Маркировка передатчиков должна соответствовать требованиям ТУ на передатчик конкретного типа и выполняться по ГОСТ 26828.

5.9.2 Технические требования к знаку соответствия при сертификации передатчиков - по ГОСТ Р 50460 или [7].

6 Методы измерений

6.1 Общие положения

6.1.1 Измерения параметров и характеристик передатчиков проводят в нормальных климатических условиях по ГОСТ 15150, если иные условия не оговорены в ТУ на передатчик конкретного типа.

Отклонение напряжения и частоты питающей электросети от номинальных значений не должно выходить за пределы ±5 % и ±1 Гц соответственно.

6.1.2 Испытания передатчиков на устойчивость к климатическим воздействиям проводят при предельных значениях рабочих температур, влажности и атмосферного давления, нормированных в 5.8.1. Перечень контролируемых параметров и допустимые отклонения должны быть указаны в ТУ на передатчик конкретного типа.

6.1.3 Условия проведения испытаний передатчиков на устойчивость к механическим воздействиям, перечень контролируемых параметров и их допустимые отклонения должны быть указаны в ТУ на передатчик конкретного типа.

6.1.4 Параметры передатчиков измеряют со всеми вставными блоками и вспомогательными устройствами, необходимыми для их нормальной работы.

6.1.5 Измерение радиочастотных параметров передатчиков проводят на средней и крайних частотах диапазона рабочих частот или всех частотных поддиапазонов, определяемых ТУ на передатчик конкретного типа, если в методах измерений не указано иное.

6.1.6 При измерениях передатчики должны быть нагружены на эквивалент антенны. Для передатчиков с выходной мощностью свыше 6 кВт рекомендуется использовать мощный согласованный водоохлаждаемый резистор, входящий в комплект аппаратуры для измерения мощности калориметрическим методом. Для передатчиков с выходной мощностью менее 6 кВт рекомендуется использовать ваттметр поглощаемой мощности или мощный согласованный безындукционный резистор (набор резисторов) с воздушным охлаждением.

6.1.7 Измерение радиочастотных параметров передатчиков, кроме выходной мощности, проводят через элемент связи, подключаемый к выходу передатчиков. Измерение отдельных параметров допускается проводить на выходе возбудителя передатчика или УОП.

6.1.8 Для измерений и испытаний передатчиков должны использоваться СИ, соответствующие требованиям ПР 50.2.009 [8], и испытательное оборудование, удовлетворяющее требованиям ГОСТ Р 8.568.

6.1.9 Измерения и испытания следует проводить с соблюдением требований безопасности, установленных ГОСТ 12.3.019.

6.1.10 Если в передатчиках имеются отдельные узлы, которые требуют для нормальной работы предварительного прогрева (например, генератор опорной частоты в возбудителе), то их следует включить и прогреть в соответствии с указаниями ТУ на возбудитель конкретного типа.

6.1.11 При наличии внешних электромагнитных полей напряженностью более 1 В/м, при необходимости, следует принимать дополнительные меры защиты СИ от помех. Рекомендации по мерам защиты приведены в приложении В.

6.2 Средства измерений и испытательное оборудование

6.2.1 Милливольтметр переменного тока низкочастотный:

- диапазон частот.............................................................................. 0,01 - 100 кГц

- пределы измерения напряжения (СКЗ)........................................ 0,001 - 10 В

- погрешность измерения напряжений........................................... не превышает ±1 %

- входное сопротивление.................................................................. не менее 1 МОм

- входная емкость.............................................................................. не более 30 пФ

6.2.2 Милливольтметр переменного тока высокочастотный:

- диапазон частот.............................................................................. 0,1 - 100 МГц

- пределы измерения напряжения (СКЗ)........................................ 0,01 - 3 В

- погрешность измерения напряжений........................................... не превышает ±2 %

- входное сопротивление.................................................................. не менее 50 кОм

- входная емкость.............................................................................. не более 5 пФ

6.2.3 Селективный микровольтметр (измерительный приемник):

- диапазон частот.............................................................................. 0,1 - 30 МГц

- пределы измерения напряжения................................................... от минус 30 до 137 дБ мкВ

- разрешающая способность по частоте......................................... 100 Гц

- погрешность измерения напряжений........................................... не более 1 дБ

- ширина полосы пропускания........................................................ 0,2; 1; 3; 10 кГц

6.2.4 Селективный микровольтметр (измерительный приемник):

- диапазон частот.............................................................................. 20 - 500 МГц

- разрешающая способность по частоте......................................... 1 кГц

- пределы измерения напряжения................................................... от минус 10 до 137 дБ мкВ

- погрешность измерения................................................................. не более 1,5 дБ

- ширина полосы пропускания........................................................ 1; 3; 10; 120 кГц

6.2.5 Генератор сигналов низкочастотный:

- диапазон частот.............................................................................. 0,02 - 100 кГц

- коэффициент гармоник................................................................. не превышает 0,05 %

- выходное напряжение на Rн = 600 Ом......................................... 0,001 - 8 В

- выходное сопротивление............................................................... 600 Ом (симметричное)

6.2.6 Генератор шума:

- рабочая полоса частот.................................................................... 0,015 - 50 кГц

- выходное напряжение.................................................................... 3 · 10-6 - 3,0 В

- выходное сопротивление............................................................... 50 Ом

6.2.7 Стандарт частоты:

- выходные частоты........................................................................... 1; 5; 10 МГц

- нестабильные частоты................................................................... не более 1 · 10-10

- погрешность действительного значения частоты....................... не более ±2 · 10-11

- выходное напряжение на Rн = 50 Ом........................................... не менее 0,5 В

6.2.8 Анализатор спектра высокочастотный:

- диапазон частот.............................................................................. 0,1 - 100 МГц

- полоса обзора.................................................................................. 20 Гц - 20 МГц

- полоса пропускания....................................................................... дискретно от 3 Гц до 300 кГц

- погрешность измерения уровней.................................................. не превышает ±5 %

- динамический диапазон................................................................ не менее 70 дБ

6.2.9 Анализатор спектра низкочастотный:

- диапазон частот.............................................................................. 0,02 - 600 кГц

- полоса обзора.................................................................................. 0,05 - 200 кГц

- полоса пропускания....................................................................... дискретно от 3 Гц до 3 кГц

- погрешность измерения уровней.................................................. не превышает ±6 %

- динамический диапазон................................................................ не менее 80 дБ

6.2.10 Измеритель частотной модуляции (девиометр):

- диапазон рабочих частот............................................................... 0,5 - 30 МГц

- пределы измерения девиации частоты......................................... 0 ± 10 кГц

- диапазон модулирующих частот................................................... 0,03 - 30 кГц

- основная погрешность измерения девиации............................... не превышает ±2 %

6.2.11 Частотомер:

- диапазон частот.............................................................................. 20 Гц - 30 МГц

- разрешающая способность отсчета............................................... 0,2 Гц

- диапазон напряжений входного сигнала..................................... 0,1 - 10 В

6.2.12 Компаратор частотный:

- частота входных сигналов 1 или 5 МГц с отклонением

от номинального значения............................................................... не более 1 · 10-6

- напряжение входных сигналов...................................................... 0,5 - 1,5 В

- коэффициент умножения разности частот входных сигналов.. 102; 103

- выходное напряжение на Rн = 50 Ом............................................ не менее 0,5 В

- нестабильность частоты за время усреднения

от 100 до 0,01 с.................................................................................. не более 1 · 10-10

6.2.13 Ваттварметр (измеритель потребляемой из сети мощности):

- пределы измерения мощности...................................................... 1 - 250 кВт

- пределы измерения напряжения................................................... 15 - 600 В

- пределы измерения тока................................................................ 2 - 250 А

- частота напряжения контролируемой сети................................. 45 - 60 Гц

6.2.14 Аппаратура для измерения мощности калориметрическим методом (эквивалент антенны):

- диапазон частот.............................................................................. 1,5 - 30 МГц

- мощность, рассеиваемая водоохлаждаемым резистором........... не менее 1,8Рном, где Рном - номинальная мощность передатчика

- волновое сопротивление................................................................ 50,75 Ом несимметричное; 150, 300 Ом симметричное

- КСВ нагрузки.................................................................................. не более 1,2

- погрешность измерения расхода жидкости................................. не превышает ±2,5 %

- пределы измерения температуры жидкости................................ от 0 до 50 °С

6.2.15 Ваттметр поглощаемой мощности (калориметрический):

- диапазон частот.............................................................................. 1 - 30 МГц

- диапазон измеряемых мощностей................................................ 0,1 - 6,0 кВт

- погрешность измерения мощности............................................... не превышает ±4 %

6.2.16 Датчик испытательных телеграфных сигналов:

- скорость манипуляции................................................................... 50 - 1200 Бод

- выходное напряжение сигналов на Rн = 600 Ом:

на импульсном выходе..................................................................... не менее ±60 В

на тональном выходе........................................................................ 0 - 5 В

- собственные краевые искажения.................................................. не более ±0,5 %

- коэффициент нелинейных искажений тональных сигналов..... не более 5 %

- виды испытательного сигнала....................................................... посылка, пауза, 1:1, 1:6, 6:1

- несущие частоты тональных посылок.......................................... 900; 1260; 1620; 1980; 3000; 4000 Гц

6.2.17 Измеритель искажений телеграфных сигналов:

- скорость манипуляции входных сигналов................................... 50 - 1200 Бод

- диапазон измерения краевых искажений.................................... 0,5 - 45 %

- входное напряжение:

для однополярных сигналов............................................................. до 130 В

для двухполярных сигналов............................................................. до ±80 В

- минимальный входной ток:

для однополярных сигналов............................................................. 5 мА

для двухполярных сигналов............................................................. 2 мА

- входное сопротивление.................................................................. не менее 1 кОм

6.2.18 Измеритель группового времени запаздывания:

- диапазон перестройки измерительной частоты.......................... 0,2 - 20 кГц

- выход передающей части............................................................... симметричный 600 Ом

- затухание асимметричного выхода............................................... не менее 43 дБ

- вход приемной части...................................................................... симметричный 600 Ом

- затухание асимметричного входа................................................. не менее 43 дБ

- выходное номинальное напряжение на Rн = 600 Ом.................. 0,775 В

- пределы регулирования выходного напряжения......................... от 0 до минус 49 дБ

- пределы измерения неравномерности ГВЗ................................. от 0,01 до 10 мс

- погрешность измерения ГВЗ......................................................... не более ±(0,02τ + 0,03) мс, где % - время запаздывания сигнала

6.2.19 Элементы связи:

- диапазон рабочих частот............................................................... 1,5 - 30 МГц

- неравномерность АЧХ в диапазоне:

модулирующих частот...................................................................... не более 0,1 дБ

рабочих частот................................................................................... не более 2,0 дБ

- выходное напряжение на нагрузке 50 или 75 Ом........................ не менее 1,0 В

6.2.20 Высокочастотный переключатель:

- диапазон частот.............................................................................. 1,5 - 30 МГц

- КСВ по напряжению...................................................................... не более 1,2

- ослабление....................................................................................... не более 1,5 дБ

6.2.21 Измеритель напряженности ЭМП:

- диапазон частот.............................................................................. 0,1 - 30 МГц

- пределы измерения напряженности:

электрического поля......................................................................... 1Ф10-4 - 0,1 В/м

магнитного поля................................................................................ 2Ф10-4 - 0,1 А/м

- ширина полосы пропускания........................................................ 8 кГц

- входное сопротивление.................................................................. 50; 75 Ом

- погрешность измерения................................................................. не более 2 дБ

6.2.22 Измеритель разности фаз:

- диапазон рабочих частот............................................................... 0,5 - 5 МГц

- диапазон входных напряжений..................................................... 0,1 - 2 В

- диапазон измерения разности фаз................................................ 0 - 360°

- погрешность измерения разности фаз.......................................... не более ± (0,1 + 10-7 F)°, где F - частота сигнала

6.2.23 Мегаомметр:

- диапазон измеряемых сопротивлений......................................... 0 - 20000 МОм

- погрешность измерения................................................................. не превышает ±2,5 %

6.2.24 Пробойная установка (для измерения электрической прочности изоляции):

- мощность установки при испытательном напряжении:

до 1,5 кВ.................................................................................. не менее 0,1 кВ · А

от 1,5 » 3,0 кВ.................................................................................... »       »    0,25   »

» 3,0 » 10,0 кВ.................................................................................... »       »    0,50   »

» 10,0 » 60,0 кВ.................................................................................. »       »    2,50   »

- погрешность измерения испытательного напряжения............... не превышает ±5 %

Примечание - Перечень рекомендуемых СИ и испытательного оборудования приведен в приложении Г.

6.3 Проведение измерений

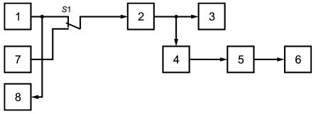
6.3.1 Среднюю и пиковую мощность передатчика, отклонение мощности от номинальной, уровень нелинейных комбинационных искажений передатчика измеряют в соответствии со структурной схемой, приведенной на рисунке 4.

6.3.1.1 Для определения средней мощности передатчика при использовании в качестве его нагрузки водоохлаждаемого резистора, входящего в комплект установки для измерения мощности калориметрическим методом, передатчик настраивают в режим несущей при оптимальной загрузке и по индикаторам измерительной установки измеряют расход воды и температуру ее на выходе и входе системы охлаждения резистора.

1, 2 - генераторы сигналов НЧ; 3 - передатчик; 4 - элемент связи; 5 - анализатор спектра ВЧ; 6 - эквивалент антенны; R3 - водоохлаждаемый согласованный резистор; Т1, Т2 - термометры воды на входе и выходе системы охлаждения; ИРВ - измеритель расхода воды; 7 - ваттварметр (измерительный комплект для измерения потребляемой мощности); R1, R2 - резисторы сопротивлением (6,8 ± 0,34) кОм

Рисунок 4 - Схема измерения мощности и уровня нелинейных комбинационных искажений передатчика

Среднюю мощность передатчика Рср кВт, равную мощности, рассеиваемой на резисторе, вычисляют по формуле

Рср = 4,187ФDТ                                                        (1)

или

Рср = 4,187 ,                                                      (2)

где Ф - расход воды, л/с;

DТ - разность температур воды на выходе и входе системы охлаждения резистора, °С;

Q - объем воды, прошедшей через систему охлаждения, л;

t - время прохождения измеренного объема воды через систему охлаждения, с.

При использовании в качестве нагрузки (эквивалента антенны) передатчика согласованного мощного резистора с воздушным охлаждением среднюю мощность рекомендуется определять путем измерения его выходного напряжения с помощью высокочастотного вольтметра (с применением, при необходимости, делителя напряжения). В этом случае передатчик настраивают в режим несущей при оптимальной загрузке и среднюю мощность Рср, Вт, вычисляют по формуле

                                                               (3)

где Uвых - измеренное на нагрузке выходное напряжение, В;

Rн - сопротивление нагрузки, Ом.

Отклонение средней мощности от номинального значения δР, дБ, вычисляют по формуле

                                                          (4)

где Рном - номинальное значение средней мощности, указанное в ТУ на передатчик, кВт;

Рср - измеренное (вычисленное) значение мощности передатчика, кВт.

Примечание - Определение мощности передатчиков, имеющих симметричный выход, проводят в соответствии с рекомендациями, приведенными в приложении Д.

6.3.1.2 Для определения пиковой мощности и уровня нелинейных комбинационных искажений передатчика при однополосной телефонии используют метод двух тонов.

Передатчик настраивают в режим несущей при оптимальной загрузке и устанавливают на отметку «0 дБ» отклик сигнала на экране анализатора спектра ВЧ.

Затем на передатчике устанавливают класс излучения J3E и на вход включенного телефонного канала подают двухтональный равноамплитудный испытательный сигнал от генераторов сигналов НЧ с частотами F1 и F2 и уровнем каждого тона, равным минус 6 дБ (по отношению к уровню «0 дБ» на экране анализатора спектра).

Проводят измерение мощности. Если мощность превышает половину мощности, измеренной в режиме несущей при оптимальной загрузке, допускается регулировкой двухтонального сигнала на входе возбудителя, сохраняя равенство откликов на экране анализатора спектра, снизить ее до значения половины мощности.

Пиковую мощность передатчика Рпик, кВт, в режиме однополосной телефонии вычисляют по формуле

Рпик = 2Рср.                                                                 (5)

С помощью анализатора спектра измеряют уровень наибольшей комбинационной составляющей 3-го и 5-го порядков относительно одного из откликов испытательного сигнала, который и определяет фактический уровень нелинейных комбинационных искажений передатчика.

Частоты испытательных входных сигналов F1 и F2 выбирают таким образом, чтобы их гармоники, разностный и суммарный тоны не совпадали по частоте с комбинационными составляющими 3-го и 5-го порядков. Рекомендуются следующие частоты для телефонных каналов:

ТФ-3,1...................................................................................... F1 = 1550 Гц, F2 = 2150 Гц

ТФ-2,75.................................................................................... F1 = 1350 Гц, F2 = 1850 Гц

ТФ-5,9...................................................................................... F1 = 2500 Гц, F2 = 3600 Гц

6.3.2 Промышленный КПД передатчика определяют путем вычисления отношения средней мощности, подаваемой в нагрузку, к общей потребляемой (активной мощности).

Потребляемую мощность передатчика на любой частоте настройки измеряют с помощью ваттварметра (измерительного комплекта для измерения потребляемой мощности) по структурной схеме, приведенной на рисунке 4.

Передатчик настраивают в режим несущей при оптимальной загрузке.

Среднюю мощность, подаваемую в нагрузку, измеряют по 6.3.1.1.

При питании передатчика одновременно от нескольких первичных источников переменного тока общую потребляемую мощность определяют суммированием потребляемых мощностей от каждого источника питания.

Примечание - В мощность потребления должно входить потребление системы охлаждения передатчика без устройств очистительной приточной вентиляции. При этом не должна учитываться мощность, потребляемая системой охлаждения эквивалента антенны и внешних СИ.

Промышленный КПД ηпр, %, вычисляют по формуле

                                                               (6)

где Рср - средняя мощность передатчика, кВт;

Р0 - потребляемая мощность, кВт.

6.3.3 Коэффициент мощности передатчика определяют путем вычисления отношения потребляемой (активной) мощности к подводимой кажущейся (полной) мощности.

Передатчик настраивают в режим несущей при оптимальной загрузке.

Потребляемую мощность измеряют по 6.3.2.

Подводимую кажущуюся мощность вычисляют по результатам измерений средних квадратических значений линейных напряжений и токов первичного источника переменного тока.

При подключении передатчика к трехфазной системе питания кажущуюся мощность определяют:

1) при симметричной нагрузке фаз - как произведение линейных значений напряжения и тока, умноженное на ;

2) при несимметричной нагрузке фаз и отсутствии нейтрального провода - как произведение линейного напряжения на сумму линейных токов, деленное на ;

3) при несимметричной нагрузке фаз и при наличии нейтрального провода - как произведение фазного напряжения на сумму линейных токов.

Коэффициент мощности χ, %, вычисляют по формуле

                                                               (7)

где Р0 - потребляемая мощность, кВт;

S - подводимая кажущаяся мощность, кВт.

При питании передатчика одновременно от нескольких источников переменного тока коэффициент мощности передатчика вычисляют как отношение общей потребляемой мощности к общей подводимой кажущейся мощности, определяемой суммированием измеренных подводимых кажущихся мощностей от каждого источника тока.

6.3.4 Измерение диапазона и шага сетки частот проводят на выходе возбудителя передатчика с помощью частотомера.

При измерении диапазона рабочих частот возбудитель устанавливают в режим N0N (100 % несущей) и проводят измерения значений частот в крайних точках рабочего диапазона, заданного в ТУ на передатчик конкретного типа.

Измерение шага сетки частот выходных колебаний возбудителя проводят на трех - пяти частотах, равномерно расположенных внутри диапазона.

При измерении шага сетки частот рабочую частоту возбудителя изменяют в пределах:

1000 Гц............................................................................. через 100 Гц (для шага 100 Гц)

100 Гц................................................................................... через 10 Гц (для шага 10 Гц)

10 Гц......................................................................................... через 1 Гц (для шага 1 Гц)

Проводят измерение каждого значения частоты. Шаг сетки частот определяют как разность между соседними значениями частот.

6.3.5 Максимальное допустимое относительное отклонение выходной рабочей частоты передатчика от номинального значения определяют в соответствии со структурной схемой, приведенной на рисунке 5.

1 - возбудитель; 2 - частотный компаратор; 3 - частотомер; 4 - стандарт частоты

Рисунок 5 - Схема измерения отклонения рабочей частоты от номинального значения

Устанавливают на возбудителе режим N0N и частоту 5 Мгц. На вход частотного компаратора от стандарта частоты подают образцовый сигнал частотой 5 МГц. На компараторе коэффициент умножителя разности частот К - не менее 100. Частоту сигнала компаратора измеряют частотомером.

В моменты времени, указанные в технической документации на возбудитель передатчика, проводят многократные измерения частоты возбудителя (не менее десяти). Определяют максимальное fмакс и минимальное fмин значения частоты за исследуемый временной интервал как средние арифметические значения при многократных измерениях.

Максимальное относительное отклонение частоты Df возбудителя передатчика рассчитывают по формуле

                                                           (8)

где fном - номинальное значение выходной частоты возбудителя, Гц;

К - установленный коэффициент умножения разности частот компаратора.

6.3.6 Среднее квадратическое значение ПОЧ выходного колебания передатчика, вызываемое паразитной частотной модуляцией, измеряют в соответствии со структурной схемой, приведенной на рисунке 6.

1 - передатчик; 2 - эквивалент антенны; 3 - элемент связи; 4 - девиометр

Рисунок 6 - Схема измерения ПОЧ выходного колебания передатчика

Передатчик настраивают в режим несущей при оптимальной загрузке.

На измерителе модуляции (девиометре) устанавливают полосу пропускания тракта НЧ - от 0,03 до 3,4 кГц.

Измерение ПОЧ (значения девиации частоты) проводят на крайних частотах рабочего диапазона передатчика и на трех частотах, расположенных внутри диапазона и указанных в ТУ на передатчик конкретного типа.

Примечания

1 Измерение ПОЧ в режиме класса излучения F1A (F1B) проводят без подачи входного сигнала на манипулятор возбудителя при минимальном и максимальном сдвигах частот, установленных для передатчика.

2 Допускается проводить измерение ПОЧ в полосе частот от 0,03 до 0,2 (0,3) кГц и от 0,3 до 3,4 кГц. В этом случае среднее квадратическое значение паразитного отклонения частоты Dfдоп, Гц, определяют по формуле

                                                        (9)

где Df1 и Df2 - средние квадратические значения ПОЧ, измеренные в полосе частот от 0,03 до 0,2 (0,3) кГц и от 0,3 до 3,4 кГц соответственно.

6.3.7 Среднее квадратическое значение ПОФ выходного колебания, вызываемое паразитной фазовой модуляцией, измеряют на крайних частотах и трех частотах, равномерно расположенных внутри диапазона в соответствии с методикой, утвержденной в установленном порядке.

6.3.8 Уровень фоновых составляющих (отношение фон/сигнал) определяют в соответствии со структурной схемой, приведенной на рисунке 7.

1 - генератор сигналов НЧ; 2 - передатчик; 3 - эквивалент антенны; 4 - элемент связи; 5 - анализатор спектра ВЧ

Рисунок 7 - Схема измерения уровня фоновых составляющих выходного колебания передатчика

На передатчике устанавливают режим класса излучения R3E и нижнюю частоту рабочего диапазона.

На контролируемый телефонный канал передатчика от генератора сигналов НЧ подают сигнал частотой F = 1000 Гц и уровнем 0 дБ. Настраивают передатчик, добиваясь номинальной мощности на его выходе. Анализатором спектра ВЧ измеряют уровень выходного сигнала, затем относительно него определяют уровни фоновых составляющих с частотами 50, 100, 150, 200, 250, 300 Гц, а также уровни боковых составляющих с частотами (F ± 50), (F ± 100), (F ± 150), (F ± 200), (F ± 250), (F ± 300) Гц.

Интегральный уровень фоновых составляющих Nф, дБ, вычисляют по формуле

                                                     (10)

где N - общее число фоновых составляющих;

Аi - уровень измеренных отдельных фоновых составляющих, дБ.

6.3.9 Уровень шума в однополосных каналах определяют согласно структурной схеме, приведенной на рисунке 8, при наличии в возбудителе передатчика УОП, или согласно структурной схеме, приведенной на рисунке 9, с помощью соответствующего анализатора модуляции или измерительного декодера.

1 - генератор сигналов НЧ; 2 - передатчик; 3 - эквивалент антенны; 4 - элемент связи; 5 - УОП передатчика; 6 - милливольтметр НЧ; 7 - экранированный резистор сопротивлением (600 ± 30) Ом; 8 - милливольтметр НЧ; S1 - переключатель

Рисунок 8 - Схема измерения уровня шума в однополосных каналах передатчика при наличии УОП

1 - генератор сигналов НЧ; 2 - передатчик; 3 - эквивалент антенны; 4 - элемент связи; 5 - анализатор модуляции (измерительный декодер); 6 - полосовой фильтр; 7 - милливольтметр НЧ; 8 - экранированный резистор сопротивлением (600 ± 30) Ом; 9 - милливольтметр НЧ

Рисунок 9 - Схема измерения уровня шума в однополосных каналах передатчика с помощью анализатора модуляции

6.3.9.1 При наличии в передатчике УОП измерения выполняют в следующей последовательности.

На контролируемый канал передатчика от генератора сигналов НЧ подают сигнал частотой 1000 Гц и уровнем 0 дБ. На возбудителе устанавливают режим работы R3E, требуемую полосу пропускания однополосного фильтра и настраивают передатчик в этом режиме до номинальной выходной мощности.

На широкополосном НЧ выходе УОП (с полосой не менее 6 кГц) милливольтметром измеряют напряжение тонального сигнала Uс. Отключают генератор сигналов НЧ и нагружают вход передатчика на экранированный резистор. Милливольтметром средних квадратических значений измеряют напряжение шума Uш в проверяемом однополосном канале.

Уровень шума в однополосном канале N, дБ, вычисляют по формуле

                                                      (11)

где Uш, Uс - измеренные значения напряжений шума и сигнала соответственно, мВ.

6.3.9.2 Определение уровня шума в однополосных каналах передатчика с помощью анализатора модуляции (измерительного декодера) проводят следующим образом.

Возбудитель и передатчик настраивают аналогично 6.3.9.1.

При наличии в анализаторе модуляции требуемых полосовых фильтров отсчет уровня шума в однополосных каналах передатчика проводят непосредственно по индикатору анализатора. При отсутствии в анализаторе модуляции подобных фильтров измерительные сигналы снимают с широкополосного НЧ выхода анализатора, пропускают через дополнительные полосовые фильтры и измеряют напряжения Uc и Uш милливольтметром. Далее уровень шума вычисляют по формуле (11).

Допускается использование других методов и СИ, обеспечивающих измерение уровня шума в однополосных каналах передатчика в требуемом диапазоне и с необходимой точностью.

6.3.10 Уровень линейных переходных искажений между однополосными каналами определяют в соответствии со структурной схемой, приведенной на рисунке 10.

1 - генератор сигналов НЧ; 2 - передатчик; 3 - эквивалент антенны; 4 - милливольтметр НЧ; 5 - элемент связи; 6 - анализатор спектра ВЧ; 7 - УОП; 8 - анализатор спектра НЧ; 9 - экранированный резистор сопротивлением (600 ± 30) Ом

Рисунок 10 - Схема измерения уровня линейных переходных искажений между однополосными каналами

Устанавливают нижнюю частоту рабочего диапазона передатчика и режим класса излучения В8Е.

На вход одного из каналов с генератора сигналов НЧ подают испытательный сигнал частотой, соответствующей нижней граничной частоте полосы пропускания канала и уровнем, удовлетворяющим номинальной мощности на выходе передатчика. Вход другого канала нагружают на экранированный резистор сопротивлением 600 Ом.

На анализаторе спектра устанавливают полосу обзора 10 кГц и полосу пропускания 30 Гц.

Отклик сигнала на экране анализатора спектра устанавливают на отметку «0 дБ» и проводят измерение уровня переходной помехи в другом канале (зеркальном относительно несущей) относительно уровня сигнала контролируемого канала.

Затем на вход контролируемого канала с генератора сигналов НЧ подают испытательный сигнал частотой, соответствующей верхней граничной частоте полосы пропускания канала и уровнем, соответствующим номинальной мощности на выходе передатчика. Измерения повторяют.

При необходимости проводят измерение на любой из частот полосы пропускания канала.

Допускается проводить измерения уровня линейных переходных искажений с выхода УОП с помощью анализатора спектра НЧ.

6.3.11 Уровень нерегулируемого и регулируемого сигнала несущей частоты (пилот-сигнала) и погрешность установления ступеней пилот-сигнала определяют в соответствии со структурной схемой, приведенной на рисунке 11.

1 - передатчик; 2 - эквивалент антенны; 3 - элемент связи; 4 - анализатор спектра ВЧ

Рисунок 11 - Схема измерения уровня нерегулируемого и регулируемого сигнала несущей частоты (пилот-сигнала)

Передатчик настраивают в режим несущей при оптимальной загрузке. Автоматическую регулировку напряжения в возбудителе (при ее наличии) отключают.

На экране анализатора спектра ВЧ устанавливают отклик сигнала несущей на отметку «0 дБ». Возбудитель передатчика переводят в режим работы R3E и, устанавливая последовательно уровни пилот-сигнала ступенями «минус 6 дБ», «минус 16 дБ», «минус 20 дБ», «минус 26 дБ», проводят анализатором спектра измерение дискретных значений регулируемого уровня пилот-сигнала относительно отметки «0 дБ».

Погрешность установления ступеней определяют как разность между номинальным и измеренным значениями уровня пилот-сигнала.

Устанавливают последовательно на возбудителе режимы работы J3E, J8E и проводят анализатором спектра измерение нерегулируемого уровня (остатка) пилот-сигнала относительно отметки «0 дБ».

6.3.12 Неравномерность АЧХ телефонных каналов передатчика определяют в соответствии со структурной схемой, приведенной на рисунке 12.

1 - генератор сигналов НЧ; 2 - возбудитель передатчика; 3 - милливольтметр ВЧ; 4 - милливольтметр НЧ; 5 - частотомер; 6 - согласованная нагрузка (50 или 75 Ом)

Рисунок 12 - Схема измерения неравномерности АЧХ телефонных каналов

Отключают автоматическую регулировку выходного напряжения возбудителя (при ее наличии). На возбудителе устанавливают нижнюю частоту рабочего диапазона передатчика и класс излучения J3E.

На вход выбранного для контроля телефонного канала от генератора сигналов НЧ подают испытательный сигнал частотой 1000 Гц и уровнем, соответствующим 0,4 - 0,6 номинального выходного уровня возбудителя.

Измеряют выходное напряжение возбудителя и напряжение сигнала частотой 1000 Гц (U1000) на выходе генератора сигналов НЧ.

Устанавливают последовательно на выходе генератора сигналов НЧ частоты: 100, 150, 250, 300, 350, 450, 550, 650, 800, 1100, 1600, 1900, 2450, 2700, 2800, 2900, 3000, 3050, 3200, 3350, 3400, 4000, 5000, 5800, 6000 Гц. Регулируя выходной уровень генератора сигналов НЧ, поддерживают постоянным установленный ранее выходной уровень возбудителя и проводят измерение выходного напряжения генератора сигналов НЧ на каждой i-й частоте испытательного сигнала, находящейся в полосе пропускания канала.

Частоты испытательного сигнала устанавливают с погрешностью не более ±5 Гц.

Для канала ТФ-3,1 неравномерность АЧХ s, дБ, относительно коэффициента передачи на частоте 1000 Гц вычисляют по формуле

                                                          (12)

где U1000 - выходное напряжение генератора на частоте 1000 Гц, мВ;

Ui - выходное напряжение генератора на i-й частоте испытательного сигнала, находящейся в полосе пропускания канала, мВ.

Для каналов ТФ-2,35, ТФ-2,75, ТФ-5,9 неравномерность АЧХ s, дБ, вычисляют по формуле

                                                            (13)

где Uiмакс, Uiмин - максимальное и минимальное значения выходного напряжения генератора на i-й частоте сигнала, находящейся в полосе пропускания канала, мВ.

6.3.13 Средний квадратический относительный уровень гармоник в телефонном канале определяют в соответствии со структурной схемой, приведенной на рисунке 13.

1 - генератор сигналов НЧ; 2 - возбудитель; 3 - анализатор спектра ВЧ; 4 - милливольтметр ВЧ

Рисунок 13 - Схема измерения среднего квадратического относительного уровня гармоник

На возбудителе устанавливают режим класса излучения J3E и нижнюю частоту рабочего диапазона.

На вход контролируемого телефонного канала от генератора сигналов НЧ подают испытательный сигнал частотой F = 400 Гц и уровнем, соответствующим номинальному уровню выходного сигнала возбудителя.

На анализаторе спектра ВЧ устанавливают полосу обзора 10 кГц и полосу пропускания 30 Гц. На экране анализатора спектра отклик, соответствующий основному тону сигнала, устанавливают на отметку «0 дБ» и измеряют уровни гармонических составляющих с частотами nF (n = 2; 3; 4; 5; 6; 7) относительно уровня первой гармоники.

Средний квадратический относительный уровень гармоник Кг, дБ, вычисляют по формуле

                                  (14)

где А2, А3, ..., А7 - уровни гармонических составляющих, дБ.

6.3.14 Неравномерность характеристики ГВЗ телефонных каналов передатчика определяют в соответствии со структурной схемой, приведенной на рисунке 14.

1 - измеритель ГВЗ; 2 - возбудитель передатчика; 3 - милливольтметр ВЧ; 4 - УОП или измерительный декодер

Рисунок 14 - Схема измерения неравномерности характеристики ГВЗ телефонных каналов

На возбудителе передатчика устанавливают нижнюю частоту рабочего диапазона (fн) и режим класса излучения J3E.

На вход выбранного для контроля телефонного канала от измерителя ГВЗ подают испытательный сигнал с уровнем, соответствующим 0,4 - 0,6 номинального выходного уровня возбудителя, и частотой, удовлетворяющей нижней частоте полосы пропускания канала. С НЧ выхода УОП или измерительного декодера (с известными характеристиками ГВЗ в полосе пропускания на данной частоте fн) демодулированный сигнал поступает на приемную часть измерителя ГВЗ.

ГВЗ телефонного канала tз.гр, мс, на частоте испытательного сигнала Fi определяют по формуле

tз.гр = tз.изм i - tз i,                                                      (15)

где tз.изм i - измеренное значение ГВЗ на частоте Fi, мс;

tз i - значение ГВЗ на частоте Fi в полосе пропускания УОП (измерительного декодера), мс.

Измерения повторяют для всех частот телефонного канала, указанных в таблице 2.

Неравномерность характеристики ГВЗ определяют относительно минимального времени замедления в полосе частот канала.

Допускается определять неравномерность характеристики ГВЗ путем пересчета фазочастотной характеристики (ФЧХ) телефонных каналов в характеристику ГВЗ.

Измерение ФЧХ проводят в соответствии со структурной схемой, приведенной на рисунке 15.

1 - генератор сигналов НЧ; 2 - возбудитель передатчика; 3 - УОП или измерительный декодер; 4 - измеритель разности фаз; 5 - частотомер; 6 - милливольтметр ВЧ

Рисунок 15 - Схема измерения ФЧХ телефонных каналов

В этом случае необходимо предварительно знать ФЧХ устройства обратного преобразования (измерительного декодера) на рабочей частоте возбудителя (fн).

На вход выбранного для контроля телефонного канала от генератора сигналов НЧ подают сигнал частотой, соответствующей нижней частоте полосы пропускания канала, и уровнем, удовлетворяющим 0,4 - 0,6 номинального выходного уровня возбудителя. Измеряют разность фаз сигналов Djизм, поступающих на измеритель разности фаз с выхода генератора сигналов НЧ и с низкочастотного выхода УОП (измерительного декодера). Измерения повторяют для всех частот телефонного канала, указанных в таблице 2.

Фазовый сдвиг Dj, в градусах, на частоте Fi телефонного канала рассчитывают по формуле

Dj = Djизм i - Dji,                                                          (16)

где Djизм i - измеренное значение фазового сдвига сигналов на частоте Fi, градус;

Dji - значение фазового сдвига УОП (измерительного декодера) на частоте Fi, градус.

По полученным значениям Dj рассчитывают tз.гр, мс, по формуле

                                                            (17)

где DF - ширина полосы пропускания телефонного канала, Гц.

Неравномерность характеристики ГВЗ, как и в первом случае, определяют относительно минимального времени замедления в полосе пропускания контролируемого телефонного канала.

6.3.15 Проверку пределов регулирования уровня сигнала на входах телефонных каналов относительно номинального значения проводят в соответствии со структурной схемой, приведенной на рисунке 16.

1 - генератор сигналов НЧ; 2 - милливольтметр НЧ; 3 - возбудитель; 4 - милливольтметр ВЧ; 5 - согласованная нагрузка (75 Ом)

Рисунок 16 - Схема измерения пределов регулирования уровня сигнала на входах телефонных каналов

На возбудителе устанавливают режим класса излучения J3E.

На вход проверяемого телефонного канала от генератора сигналов НЧ подают испытательный сигнал частотой 1000 Гц и номинальным уровнем 0 дБ, контролируя его милливольтметром НЧ.

Устанавливают регулятором входного уровня телефонного канала номинальное напряжение выходного сигнала возбудителя Uном, контролируя его милливольтметром ВЧ.

Уменьшают выходной уровень генератора сигналов НЧ на 20 дБ относительно номинального значения и регулятором входного уровня телефонного канала устанавливают номинальное напряжение выходного сигнала возбудителя Uном.

Регулятор входного уровня телефонного канала устанавливают в положение максимального затухания. Увеличивают выходной уровень генератора сигналов НЧ на 10 дБ (относительно первоначального значения 0 дБ) и регулятором входного уровня телефонного канала устанавливают номинальное напряжение выходного сигнала возбудителя Uном.

Регулятор входного уровня возбудителя должен обеспечивать установку номинального выходного напряжения возбудителя при изменении уровня входного НЧ сигнала от минус 20 до плюс 10 дБ относительно номинального значения 0 дБ.

6.3.16 Сопротивление симметричного НЧ входа телефонного канала передатчика определяют в соответствии со структурной схемой, приведенной на рисунке 17.

1 - генератор сигналов НЧ; 2 - возбудитель; 3 - милливольтметр ВЧ; 4, 5 - милливольтметры НЧ; R1, R2 - резисторы сопротивлением (300 ± 1,5) Ом; 6 - согласованная нагрузка (50 или 75 Ом)

Рисунок 17 - Схема измерения сопротивления симметричного НЧ входа

Устанавливают на возбудителе режим класса излучения J3E и нижнюю частоту рабочего диапазона передатчика. На вход контролируемого телефонного канала от генератора сигналов НЧ подают сигнал частотой 1000 Гц и напряжением 0,775 В. На возбудителе регулятор входного уровня устанавливают в положение, соответствующее минимальному ослаблению входного сигнала.

Измеряют напряжения U1 и U2 и вычисляют сопротивление НЧ входа передатчика Rвх, Ом, по формуле

                                                        (18)

где U1 - напряжение на выходе генератора сигналов НЧ, мВ;

U2 - напряжение на входе возбудителя, мВ.

Затем регулятор входного уровня устанавливают в положение, соответствующее максимальному ослаблению входного сигнала, измеряют напряжения U1 и U2 и вычисляют Rвх по формуле (18).

Аналогичные измерения и вычисления повторяют на крайних частотах диапазона модулирующих частот передатчика.

6.3.17 Коэффициент асимметрии входа телефонного канала измеряют в соответствии со структурной схемой, приведенной на рисунке 18.

1 - генератор сигналов НЧ; 2 - милливольтметр НЧ; 3 - возбудитель; 4 - анализатор спектра ВЧ; 5 - милливольтметр ВЧ; S1 - переключатель; R1, R2 - резисторы сопротивлением (600 ± 3) Ом

Рисунок 18 - Схема измерения коэффициента асимметрии входа телефонного канала

На возбудителе устанавливают нижнюю частоту рабочего диапазона и режим класса излучения J3E. Переключатель S1 устанавливают в положение «1».

На вход контролируемого телефонного канала от генератора сигналов НЧ подают сигнал частотой 1000 Гц и напряжением 0,775 В. На возбудителе регулятор входного уровня устанавливают в положение, соответствующее 0,4 - 0,6 номинального выходного уровня возбудителя.

Устанавливают отклик выходного сигнала возбудителя на экране анализатора спектра на отметку «0 дБ». Переключатель S1 переводят в положение «2» и измеряют с помощью анализатора спектра остаток сигнала на выходе возбудителя (в децибелах), соответствующий коэффициенту асимметрии входа контролируемого телефонного канала.

Измерения повторяют на крайних частотах полосы пропускания телефонного канала.

6.3.18 Сдвиг частот при работе передатчика в классах излучения F1B и F7B определяют в соответствии со структурной схемой, приведенной на рисунке 19.

1 - датчик испытательных телеграфных сигналов; 2 - возбудитель; 3 - частотомер; 4 - милливольтметр ВЧ

Рисунок 19 - Схема измерения сдвига частот в классах излучения F1В и F7B

6.3.18.1 Устанавливают на возбудителе нижнюю частоту рабочего диапазона передатчика, режим класса излучения F1B и проверяемый сдвиг частот.

От датчика испытательных телеграфных сигналов на вход телеграфного канала 1 возбудителя подают положительную телеграфную посылку (длительная «Посылка» - сигнал напряжением 20 В) и измеряют частоту fнаж на выходе возбудителя. Затем на вход телеграфного канала 2 возбудителя подают отрицательную телеграфную посылку (длительная «Пауза» - сигнал напряжением минус 20 В) и измеряют частоту fотж. Разность между этими двумя значениями частот равна фактическому частотному сдвигу.

Относительное отклонение сдвига частот от номинального значения Dq, %, рассчитывают по формуле

                                                  (19)

где q - установленный в возбудителе частотный сдвиг, Гц.

Измерение в режиме F1В проводят для всех частотных сдвигов, указанных в ТУ на передатчик конкретного типа.

Измерение сдвигов частот в режиме класса излучения F7B проводят при подаче на вход телеграфных каналов 1 и 2 от датчика испытательных телеграфных сигналов однополярных посылок в соответствии с данными, приведенными в таблице 9.

Таблица 9 - Комбинации телеграфных посылок при измерении сдвигов частот в режиме F7B

Частота излучения

Канал 1

Канал 2

f1

«Пауза»

«Пауза»

f2

«Пауза»

«Посылка»

f3

«Посылка»

«Пауза»

f4

«Посылка»

«Посылка»

Частотомером проводят измерение частоты выходного колебания возбудителя во всех четырех случаях при сдвигах частот, установленных ТУ для передатчика конкретного типа. Разность между соседними частотами соответствует фактическому частотному сдвигу.

Относительное отклонение сдвигов частот от номинального значения для режима класса излучения F7B рассчитывают по формуле (19).

6.3.18.2 При наличии в составе передатчика тональных усилителей-выпрямителей проверку передатчика в режиме F1В (F7B) проводят следующим образом.

Возбудитель передатчика переводят в режим работы от тональных посылок, подаваемых с датчика испытательных телеграфных сигналов, напряжением 0,775 В и частотой 1260 (1620) Гц. Подача тонального сигнала на вход канала соответствует режиму «Посылка», снятие сигнала - режиму «Пауза».

Дальнейшие операции аналогичны 6.3.18.1.

1 датчик испытательных телеграфных сигналов; 2 - возбудитель; 3 - УОП или измеритель модуляции (AM и ЧМ); 4 - измеритель искажений телеграфных сигналов; 5 - милливольтметр ВЧ

Рисунок 20 - Схема измерения краевых искажений телеграфных сигналов

6.3.19 Краевые искажения телеграфных сигналов (суммарные временные преобладания) измеряют в соответствии со структурной схемой, приведенной на рисунке 20.

На возбудителе устанавливают режим класса излучения А1А и нижнюю частоту рабочего диапазона передатчика.

С датчика испытательных телеграфных сигналов на вход телеграфного канала 1 возбудителя подают посылки при соотношении длительности «Посылка : Пауза» 1:1 («точки») с максимальной скоростью манипуляции в этом режиме и проводят измерение краевых искажений измерителем искажений телеграфных сигналов. Если вместо УОП используют измеритель модуляции, то он должен быть установлен в этом случае в режим измерения AM.

Аналогично проводят измерение краевых искажений при подаче на вход возбудителя испытательных телеграфных сигналов при соотношении длительности 1:6 и 6:1.

На возбудителе устанавливают режим класса излучения F1B. С датчика испытательных телеграфных сигналов на вход канала 1 возбудителя подают однополярные положительные посылки при соотношении длительности 1:1 и проводят измерение краевых искажений для всех значений сдвигов частоты при соответствующих сдвигам скоростях работы. При использовании в качестве демодулятора измерителя модуляции он должен быть установлен в режим измерения ЧМ.

Аналогично проводят измерение краевых искажений при подаче на вход возбудителя испытательных телеграфных сигналов при соотношении длительности 1:6 и 6:1.

На возбудителе устанавливают режим класса излучения F7B. С датчика телеграфных сигналов на входы телеграфных каналов 1 и 2 возбудителя подают сигналы следующих комбинаций:

а) по каналу 1 - «Посылки»,

по каналу 2 - «Пауза»;

б) по каналу 1 - «Посылки»,

по каналу 2 - «Посылка» (длит.);

в) по каналу 1 - «Посылка» (длит.);

по каналу 2 - «Посылки»;

г) по каналу 1 - «Пауза»,

по каналу 2 - «Посылки».

Измерение суммарных искажений телеграфных сигналов в режиме работы F7B проводят аналогично измерениям при работе передатчика в режиме класса излучения F1B.

6.3.20 Уровень излучения сигнала в паузах в режиме класса излучения А1А относительно уровня сигнала при «Посылке» измеряют в соответствии со структурной схемой, приведенной на рисунке 21.

1 датчик испытательных телеграфных сигналов; 2 - передатчик; 3 - эквивалент антенны; 4 - элемент связи; 5 - анализатор спектра ВЧ

Рисунок 21 - Схема измерения уровня излучения сигнала в паузах в режиме класса излучения А1А

Передатчик настраивают в режим несущей при оптимальной загрузке.

Затем на возбудителе устанавливают режим класса излучения А1А. На вход контролируемого телеграфного канала от датчика испытательных телеграфных сигналов подают сигнал «Посылка» (длит.) и на экране анализатора спектра отклик сигнала устанавливают на отметку «0 дБ». Затем на вход контролируемого телеграфного канала подают сигнал «Пауза» и проводят измерение выходного уровня относительно 0 дБ с помощью анализатора спектра. Полученное значение соответствует уровню излучения в паузах.

1 - датчик испытательных телеграфных сигналов; 2 - передатчик; 3 - элемент связи; 4 - анализатор спектра ВЧ; 5 - частотомер; 6 - эквивалент антенны

Рисунок 22 - Схема измерения контрольной ширины полосы радиочастот и спектра внеполосных радиоколебаний в телеграфных режимах работы

6.3.21 Контрольную ширину полосы радиочастот и спектр внеполосных радиоколебаний измеряют в соответствии со структурными схемами, приведенными на рисунке 22 (для классов излучения А1А, А1В, Н2А, H1В, Н2В, F1B, F1D, F7B, G1A) и рисунке 25 (для классов излучения R3E, R8E, В8Е, Н3Е, J3E, J3E, J8E, F3E).

При измерениях сначала настраивают передатчик в режим несущей при оптимальной загрузке, а затем переводят в контролируемый класс излучения.

6.3.21.1 При контроле передатчиков, работающих классами излучения А1А, А1В, H1В, Н2А, Н2В, G1A, измерения проводят при модуляции передатчика испытательным сигналом типа «Прямоугольные телеграфные точки» при максимальной скорости манипуляции, установленной в ТУ на передатчик конкретного типа.

При контроле передатчика, работающего классами излучений F1B, F1D, измерения проводят при модуляции передатчика испытательным сигналом типа «Прямоугольные телеграфные точки» при максимальных сдвигах частот на максимальной скорости манипуляции и при наиболее часто применяемых сочетаниях сдвигов частоты и скорости манипуляции.

При работе передатчика классом излучения F7B испытательный сигнал формируют путем манипуляции обоих каналов передатчика сигналами «Прямоугольные телеграфные точки», скорость и синхронизация которых выбраны таким образом, чтобы мгновенная частота передатчика последовательно принимала все четыре значения в течение равных промежутков времени. Измерения проводят при максимальном разносе частот и максимальной скорости манипуляции (по одному из каналов).

Формирование испытательного сигнала для передатчика, работающего классом излучения F7B, представлено на рисунке 23.

Примечание - Если при измерениях с использованием указанных манипулирующих сигналов передатчик соответствует требованиям настоящего стандарта в части синхронного режима работы каналов, следует считать, что передатчик будет удовлетворять требованиям и в части асинхронного режима работы каналов.

f1 - частота, соответствующая «Паузе» в каналах 1 и 2; f2 - частота, соответствующая «Посылке» в канале 1 и «Паузе» в канале 2; f3 - частота, соответствующая «Паузе» в канале 1 и «Посылке» в канале 2; f4 - частота, соответствующая «Посылке» в каналах 1 и 2; U - манипулирующее напряжение

Рисунок 23 - Формирование испытательного сигнала при работе передатчика классом излучения F7B

Уровни испытательных сигналов при измерениях передатчика, работающего классами излучения А1А, А1В, Н2А, H1В, Н2В, G1A, F1B, F7B, F3E, задаются уровнем немодулированной (неманипулированной) несущей.

Контрольную ширину полосы частот и спектр внеполосных радиоколебаний определяют с помощью анализатора спектра ВЧ.

Параметры анализатора спектра устанавливают, исходя из следующих критериев:

- полосу пропускания на уровне минус 3 дБ (Df) устанавливают в три раза меньше частоты манипуляции;

- полоса обзора (П) - в полтора-два раза шире заданной нормами контрольной ширины полосы частот;

- время анализа Т, с, должно удовлетворять условию

                                                              (20)

где П - полоса обзора, Гц;

Df - полоса пропускания на уровне минус 3 дБ, Гц.

Проводят калибровку анализатора спектра установкой амплитуды спектральной составляющей немодулированной (неманипулированной) несущей на отметку «0 дБ» или любую фиксированную горизонтальную линию в верхней части экрана анализатора спектра.

Затем на передатчик подают испытательный сигнал и проводят измерение контрольной ширины полосы частот и спектра внеполосных радиоколебаний непосредственно по шкале анализатора спектра на соответствующих уровнях по частотному интервалу между крайними спектральными составляющими, превышающими этот уровень:

- на уровне минус 30 дБ - контрольная ширина полосы радиочастот;

- на уровнях минус 35, минус 40, минус 50 и минус 60 дБ - ширина внеполосных радиоколебаний (рисунок 24).

Рисунок 24 - Отсчет контрольной ширины полосы радиочастот (Вк) и внеполосных радиоколебаний на анализаторе спектра с логарифмическим детектором

1 - генератор шума; 2 - генератор сигналов НЧ; 3 - формирующий фильтр; 4 - милливольтметр НЧ; 5 - передатчик; 6 - элемент связи; 7 - анализатор спектра ВЧ; 8 - эквивалент антенны; 9 - частотомер; S1 - переключатель

Рисунок 25 - Схема измерения контрольной ширины полосы радиочастот и спектра внеполосных радиоколебаний в однополосных режимах работы

6.3.21.2 Измерения для классов излучения R3E, R8E, В8Е, Н3Е, J3E, F3E проводят на шумовых испытательных сигналах, сформированных с помощью фильтров.

При работе передатчика классами излучения R3E, R8E при измерении используют фильтр, формирующий спектр вещательного сигнала. АЧХ этого фильтра приведена в приложении Е. Во всех остальных случаях используют фильтр, формирующий спектр речевого сигнала. АЧХ этого фильтра приведена в приложении Ж.

Для передатчика, работающего классами излучений R8E, В8Е, шумовой испытательный сигнал подают через формирующие фильтры в каждый канал.

На вход передатчика от генератора сигналов НЧ подают сигнал частотой 600 Гц при использовании фильтра, формирующего спектр речевого сигнала, или частотой 300 Гц при использовании фильтра, формирующего спектр вещательного сигнала.

Уровень входного испытательного сигнала устанавливают таким образом, чтобы обеспечивалась номинальная пиковая мощность передатчика в классах излучения R3E, R8E, В8Е, Н3Е, J3E, J8E, или номинальная девиация частоты передатчика, работающего классом излучения F3E. Фиксируют среднее квадратическое напряжение этого сигнала Uг.

Затем на вход передатчика через тот же формирующий фильтр подают шумовой сигнал. Уровень шумового сигнала устанавливают: в классах излучения R3E, R8E, Н3Е, J3E, J8E равным 0,47Uг, в классе излучения В8Е - равным 0,33Uг.

Необходимый уровень шумового сигнала при измерениях передатчика в классах излучения R3E, R8E, J3E, J8E, В8Е может устанавливаться с помощью измерителя выходной мощности передатчика таким образом, чтобы при подаче шумового сигнала средняя выходная мощность передатчика составляла 0,25 его номинальной пиковой мощности.

Параметры анализатора спектра ВЧ при измерении излучений данных классов устанавливают, исходя из следующих критериев:

- полоса пропускания на уровне минус 3 дБ, Df Гц, должна удовлетворять условию

Df £ 0,05Bк,

где Вк - контрольная ширина полосы частот, Гц;

- полоса обзора должна быть в два-три раза шире заданной ширины полосы частот;

- постоянная времени последетекторного фильтра τ′, с, должна удовлетворять условию

τ′ ³ 16/Df.

Нулевой уровень, относительно которого проводят измерения («0 дБ»), на анализаторе спектра устанавливают по максимальному уровню огибающей спектра в пределах боковой полосы частот; уровень несущей или ее остаток не учитывают.

Проводят измерение контрольной ширины полосы частот на уровне минус 30 дБ и внеполосного спектра излучения на уровнях минус 35, минус 40, минус 50 и минус 60 дБ по анализатору спектра.

6.3.22 Среднюю мощность побочных радиоколебаний определяют в соответствии со структурной схемой, приведенной на рисунке 26.

1 - передатчик; 2 - эквивалент антенны; 3 - ВЧ-переключатель; 4 - аттенюатор; 5 - селективный микровольтметр (измерительный приемник)

Рисунок 26 - Схема измерения средней мощности побочных радиоколебаний

Измерения проводят при настройке передатчика в режим несущей (класс излучения N0N) при максимальном значении выходной мощности, установленной ТУ на передатчик конкретного типа.

По ГОСТ Р 50842 диапазон частот контроля уровней побочных радиоколебаний для передатчиков, работающих в диапазоне декаметровых волн, должен составлять от 0,5fн до 8fн, где fн - несущая частота контролируемого передатчика.

Полосу частот пропускания измерительного приемника устанавливают при отстройках от частоты несущей:

от 6 до 25 кГц............................................................................................ не более 200 Гц

от 25 кГц до 0,1fн.................................................................................................... 1000 Гц

св. 0,1fн..................................................................................................................... 3000 Гц

Значение затухания аттенюатора подбирают так, чтобы его выходное напряжение, подаваемое на измерительный приемник, было не менее 0,6 В на верхней частоте рабочего диапазона передатчика.

Для проверки влияния излучения посторонних источников помех на результаты измерений проверяют достаточность экранировки измерительного тракта при работающем передатчике. Для измерения уровня наведенной помехи устанавливают на измерительном приемнике предел измерения напряжения (мощности) на 20 (10) дБ ниже заданного.

Отключают один из входов ВЧ-переключателя от направленного ответвителя (НО), нагружают его на согласованный экранированный резистор и, перестраивая измерительный приемник в диапазоне частот контроля, отмечают показания его индикатора на частотах, на которых наблюдают прием наведенной помехи.

Уровень наведенных помех должен быть не менее чем на 10 дБ ниже допустимого уровня побочных радиоколебаний. Если это условие не выполняется, необходимо провести дополнительные мероприятия по уменьшению наведенной помехи (например, использовать экранированную камеру).

Перестраивая измерительный приемник, измеряют напряжения падающей и отраженной волн на основной и побочных частотах радиоколебаний. Проходящую мощность основного и побочного радиоколебаний в фидере Рпр, Вт, вычисляют по формуле

                                                       (21)

где U пад, Uотр - измеренные значения напряжения падающей и отраженной волн, В;

К - коэффициент передачи мощности НО, умноженный на коэффициент передачи измерительного тракта на измеряемой частоте (в разах);

Rвх - входное сопротивление измерительного приемника, Ом.

Среднюю мощность побочных радиоколебаний в фидере передатчика Ротн, дБ, рассчитывают по формуле

                                                             (22)

где Рпр1 - проходящая мощность побочного радиоколебания, Вт;

Рпр2 - проходящая мощность основного радиоколебания, Вт.

Примечания

1 При необходимости дополнительного подавления сигнала основной частоты в измерительный тракт допускается включать соответствующий фильтр верхних частот.

2 Допускается Ротн измерять другими методами, обеспечивающими необходимую точность измерений.

6.3.23 Измерение времени настройки передатчиков на любую частоту рабочего диапазона (из указанных в ТУ на передатчик конкретного типа) для заданных значений 5 с и более проводят с помощью секундомера.

Передатчик настраивают в режим несущей при оптимальной загрузке на нижней частоте рабочего диапазона. Затем подают команду на переключение (перестройку) передатчика на верхнюю частоту рабочего диапазона и одновременно включают секундомер (начало перестройки). При окончании перестройки передатчика и появлении соответствующего сигнала от системы автонастройки секундомер отключают.

Аналогичным образом измеряют время перестройки передатчика с верхней частоты рабочего диапазона передатчика на нижнюю частоту рабочего диапазона.

При необходимости измерения проводят при перестройке передатчика с одной фиксированной частоты на другую, указанные в ТУ на передатчик конкретного типа.

Измерение времени настройки резонансных и широкополосных передатчиков на любую частоту рабочего диапазона для заданных значений менее 5 с проводят по методикам, приведенным в ТУ на передатчик конкретного типа.

6.3.24 Измерение времени переключения передатчиков с одного ЗПК на другой ЗПК проводят по методикам, приведенным в ТУ на передатчик конкретного типа.

6.3.25 Испытания передатчика на соответствие требованиям по индустриальным радиопомехам, обработку и оценку результатов испытаний проводят по ГОСТ 30429.

Примечания

1 При испытаниях передатчика на соответствие требованиям на квазипиковые значения напряженности поля радиопомех:

- в полосе частот 0,009 - 3,0 МГц измеряют горизонтальную и вертикальную составляющие магнитного поля;

- в полосе частот 0,06 - 1000 МГц измеряют горизонтальную и вертикальную составляющие электрического поля.

2 Расстояние от передатчика до измерительной антенны при измерении напряженности поля радиопомех должно быть 1 м.

6.3.26 Соответствие передатчика общим требованиям техники безопасности проверяют по ГОСТ 12.2.007.0 и ГОСТ Р 50829.

6.3.27 Уровень электромагнитных полей (ЭМП) радиочастот, создаваемых передатчиком на рабочих местах обслуживающего персонала, определяют с помощью измерителя напряженности ЭМП следующим образом.

6.3.27.1 Испытания передатчика проводят в безэховом помещении или экранированной камере первого класса по ГОСТ 30373 / ГОСТ Р 50414 с необходимыми габаритными размерами по ГОСТ Р 51320, или на открытой измерительной площадке, отвечающей требованиям ГОСТ Р 51320.

Передатчик размещают на испытательной площадке (в безэховом помещении, экранированной камере) способом, указанным в ГОСТ 30429.

Экранированный эквивалент антенны должен размещаться в непосредственной близости от ВЧ выхода передатчика и соединяться с ним коаксиальным кабелем с двойным экранированием или экранированным фидером. Внешний экран кабеля (фидера) должен быть соединен с корпусом передатчика и экраном эквивалента антенны. Передатчик и эквивалент антенны соединяют с общим заземлением испытательной площадки (безэхового помещения, экранированной камеры) медной или латунной шиной шириной не менее 0,1 м для уменьшения возможных внешних радиопомех.

Кабель или провод, соединяющий передатчик с питающей сетью или блоком питания, должен быть экранирован, минимальной длины и размещен как можно ближе к корпусу передатчика и к полу.

Примечание - Если выполнение условий расположения эквивалента антенны для крупногабаритных передатчиков связано с техническими трудностями, то допускается иное его расположение, которое должно быть указано в ТУ на передатчик конкретного типа.

6.3.27.2 Испытания передатчика проводят в режиме несущей при оптимальной загрузке на средней и крайних частотах рабочего диапазона.

На нижней частоте рабочего диапазона (fн) измеряют напряженность магнитного Н и электрического Е поля.

Примечание - Если значение fн более 3,0 МГц, то измеряют только напряженность электрического поля.

На средней и верхней частотах рабочего диапазона измеряют напряженность электрического поля.

Во избежание влияния отражений на результаты измерений необходимо использовать аттестованные направленные измерительные антенны.

Антенну измерителя ЭМП устанавливают перед испытуемым передатчиком таким образом, чтобы она принимала горизонтальную составляющую электрического поля, параллельную одной из сторон корпуса передатчика, на расстоянии 0,5 м от его поверхности и на высоте 0,5 м от пола (опорной поверхности) испытательной площадки (безэхового помещения, экранированной камеры). Измеритель ЭМП размещают не менее чем в 2 м от антенны (за пределами экранированной камеры). Испытатель, проводящий измерения, также не должен находиться вблизи измерительной антенны при фиксации результатов измерения.

Перемещают антенну измерителя ЭМП вокруг корпуса передатчика (исключая его заднюю сторону) и, не меняя ее ориентации, расстояния от корпуса и высоты над полом, находят максимальное значение составляющей электрического поля Exj. В этой же точке, ориентируя измерительную антенну для приема горизонтальной составляющей электрического поля, перпендикулярной Exj, находят Еyi, затем, ориентируя измерительную антенну для приема вертикальной составляющей электрического поля, находят Еzi.

Суммарную напряженность электрического поля в i-й точке рассчитывают по формуле

                                                      (23)

Устанавливают измерительную антенну для приема горизонтальной составляющей электрического поля Еу. Перемещая антенну вокруг корпуса передатчика так же, как и ранее, находят максимальное значение Еyj. В этой же самой j-й точке, ориентируя антенну соответствующим образом, измеряют Еzi и Еxj. По формуле (23) находят суммарную напряженность электрического поля Еj в j-й точке.

Устанавливают измерительную антенну для приема вертикальной составляющей электрического поля Еz. Перемещая антенну вокруг корпуса передатчика так же, как и ранее, находят максимальное значение Ezk. В этой же k-й точке, ориентируя антенну соответствующим образом, измеряют Exk и Еyk. По формуле (23) находят суммарную напряженность электрического поля Ek в k-й точке.

Аналогичные измерения выполняют на высоте установки измерительной антенны относительно уровня пола 1,0 и 1,7 м и из полученных девяти значений выбирают наибольшее значение напряженности электрического поля Е.

Аналогичные измерения проводят для определения наибольшего значения напряженности магнитного поля Н, создаваемого передатчиком на рабочих местах обслуживающего персонала.

Полученные в результате измерений значения напряженностей электрического Е, В/м, и магнитного Н, А/м, полей, создаваемых передатчиком на рабочих местах обслуживающего персонала, должны соответствовать требованиям ГОСТ 12.1.006 и Санитарным правилам и нормам [4].

6.3.28 Испытания передатчиков на устойчивость к воздействию контактных электростатических разрядов, наносекундных, микросекундных импульсных помех и динамических изменений напряжения сети электропитания проводят по ГОСТ Р 50799. Степень жесткости испытаний - 2.

6.3.29 Электрическое сопротивление между болтом (контактом) защитного заземления и каждой доступной прикосновению металлической нетоковедущей частью передатчика, которая может оказаться под напряжением, измеряют миллиомметром.

6.3.30 Испытание электрической прочности и сопротивления изоляции цепей электропитания передатчика следует проводить в следующей последовательности:

- испытание электрической прочности изоляции;

- измерение электрического сопротивления изоляции.

Электрические цепи, подлежащие испытаниям, точки приложения испытательного напряжения и подключения СИ должны быть указаны в ТУ на передатчик конкретного типа. Испытания следует проводить:

- между гальванически не связанными цепями передатчика;

- между каждой из указанных цепей и доступными для касания металлическими нетоковедущими частями (корпусом, защитным экраном).

Цепи передатчика, испытательное напряжение для которых превышает 2 кВ, подвергают испытаниям электрической прочности полным напряжением не более двух раз. Последующие испытания проводят напряжением, составляющим 80 % полного напряжения. Испытания проводят с помощью пробойной установки.

Испытательное напряжение повышают плавно, начиная с нуля, до заданного значения в течение времени, установленного в ТУ на передатчик конкретного типа, но не более 30 с.

Изоляцию выдерживают под испытательным напряжением в течение 1 мин.

Оборудование передатчика считают выдержавшим испытание электрической прочности изоляции, если не произошло пробоя или перекрытия изоляции. Появление коронного разряда или шума при испытании не является признаком неудовлетворительных результатов испытаний.

Электрическое сопротивление изоляции цепей электропитания измеряют мегаомметром при напряжении постоянного тока, значение которого выбирают в зависимости от номинального напряжения цепи по таблице 10. Напряжение постоянного тока при измерении сопротивления изоляции не должно превышать испытательное напряжение при испытании электрической прочности изоляции.

Таблица 10 - Значения испытательного напряжения при измерении сопротивления изоляции

В вольтах

Номинальное напряжение цепи

Испытательное напряжение постоянного тока

Номинальное напряжение цепи

Испытательное напряжение постоянного тока

До 100 включ.

Св. 100 до 250 включ.

Св. 250 до 660 включ.

Св. 500 до 1000 включ.

Св. 100 до 250 включ.

«     250 «   500     «

«     660 «   2000  «

«    1000     «            2500      «

6.3.31 Уровень шума, создаваемый передатчиком на рабочих местах обслуживающего персонала, измеряют по ГОСТ 12.1.050.

6.3.32 Испытания передатчика на устойчивость при воздействии климатических факторов внешней среды, транспортировании и хранении проводят по ТУ на передатчик конкретного типа.

6.3.33 Планы контроля испытаний на надежность, программы и методики испытаний определяют по ГОСТ 27.410.

ПРИЛОЖЕНИЕ А

(справочное)

Обозначения классов излучений

N0N - излучение немодулированной несущей;

А1А - двухполосная телеграфия для приема на слух с амплитудной модуляцией; один канал квантованной или цифровой информации без использования модулирующей поднесущей;

А1В - двухполосная телеграфия для автоматического приема с амплитудной модуляцией; один канал квантованной или цифровой информации без использования модулирующей поднесущей;

R3E - однополосная телефония с амплитудной модуляцией (несущая ослаблена); один канал аналоговой информации;

R8E - однополосная телефония с амплитудной модуляцией (несущая ослаблена); два или более каналов аналоговой информации;

В8Е - телефония на двух независимых боковых полосах; два или более каналов аналоговой информации;

Н1В - однополосная телеграфия (полная несущая) для автоматического приема без использования модулирующей поднесущей; один канал квантованной или цифровой информации;

Н2А - однополосная телеграфия (полная несущая) для приема на слух с использованием модулирующей поднесущей; один канал квантованной или цифровой информации;

Н2В - однополосная телеграфия (полная несущая) для автоматического приема с использованием модулирующей поднесущей; один канал квантованной или цифровой информации;

Н3Е - однополосная телефония (полная несущая); один канал аналоговой информации;

Н8А - однополосная телеграфия для приема на слух (полная несущая); два или более каналов аналоговой информации;

J3E - однополосная телефония (несущая подавлена); один канал аналоговой информации;

J8E - однополосная телефония (несущая подавлена); два или более каналов аналоговой информации;

F1A - частотная телеграфия для приема на слух без использования модулирующей поднесущей; один канал квантованной или цифровой информации;

F1B - частотная телеграфия для автоматического приема без использования модулирующей поднесущей; один канал квантованной или цифровой информации;

F1D - частотное телеуправление без использования модулирующей поднесущей; один канал квантованной или цифровой информации;

F3E - частотная телефония; один канал с аналоговой информацией;

F7B - частотная телеграфия для автоматического приема; два или более каналов квантованной или цифровой информации;

G1A - фазовая модуляция. Один канал квантованной или цифровой информации без использования модулирующей поднесущей с использованием двухпозиционного кода с посылками, различными по числу и (или) длительности.

ПРИЛОЖЕНИЕ Б

(обязательное)

Формулы для расчета норм на ширину полосы радиочастот и внеполосных радиоколебаний

Таблица Б.1

Класс излучения

Формула для расчета

необходимой ширины полосы частот Bн, Гц

контрольной ширины полосы частот Bк, Гц

внеполосных излучений

на уровне минус Х, дБ

ширина полосы частот

А1А

А1В

KB,

где К = 3 ... 5

Bн

40

1,3Bн

50

1,6Bн

60

2,0Bн

R3E

R8E

Fmax

1,2Bн

40

2,1Bн

50

4,0Bн

60

6,9Bн

В8Е

2Fmax

1,05Bн

35

1,15Bн

40

1,5Bн

50

2,7Bн

60

4,9Bн

Н1В

Н2В

Н8А

Fmax + 5В

Bн

40

1,25Bн

50

1,55Bн

60

2,0Bн

Н3Е

Fmax

1,15Bн

35

1,25Bн

40

1,6Bн

50

2,9Bн

60

5,4Bн

J3E

Fmax - Fmin

1,15Bн

35

1,25Bн

J8E

 

 

40

1,6Bн

 

 

 

50

2,9Bн

 

 

 

60

5,4Bн

F1A

2,6В

1,23Bн

40

4,8В

F1B

0,5 £ т < 1,5

 

50

7,3В

F1D

т = 2D/В

 

60

10,7В

 

В + 2,4D

4,3В

40

5,8В

 

1,5 £ т < 5

 

50

8,1В

 

 

 

60

11,0В

 

В + 2,4D

4,3В

40

В(1,2m + 7)

 

5 £ т < 7

 

50

8,1В

 

 

 

60

11,0В

F1D

В + 2,4D

В(т + 7)

40

В(1,2т + 7)

 

7 £ т < 12

 

50

8,1В

 

 

 

60

11,0В

 

В + 2,4D

В(т + 7)

40

В(1,2т + 7)

 

12 £ т < 16

 

50

В(1,2т + 15)

 

 

 

60

11,0В

 

В + 2,4D

В(т + 7)

40

В(1,2т + 7)

 

т > 16

 

50

В(1,2т + 15)

 

 

 

60

В(1,3т + 23)

F3E

2Fmax + 2D

Bн

40

(7,8т + 3)М2

 

0,25 £ т < 1,3

 

50

(8,4т + 4,4)М2

 

т = D/3Fmax

 

60

(9т + 6)М2

 

2Fmax + 2D

Bн

40

(7,8т + 4)М2

 

т > 1,3

 

50

(8,4т + 6)М2

 

т = D/3Fmax

 

60

(8,8т + 8)М2

F7B

Для синхронизированных каналов

В + 2,2D

Bн

40

В(4т + 13)

 

т = 2D/3В

 

50

В(4,6т + 26)

 

 

 

60

В(5,1т + 47)

G1A

5В

1,4Bн

40

2,6Bн

 

 

 

50

4,6Bн

 

 

 

60

8,2Bн

Примечание - Условные обозначения величин, применяемых в приложении Б:

В - скорость телеграфирования, Бод;

Вн - необходимая ширина полосы частот, Гц;

Вк - контрольная ширина полосы частот, Гц;

D - пиковая девиация частоты (половина разности между максимальным и минимальным значениями мгновенной частоты), Гц;

К - числовой коэффициент, зависящий от допустимого искажения сигнала;

Fmin - минимальная частота модуляции, Гц;

Fmax - максимальная частота модуляции, Гц;

т - индекс частотной модуляции;

X - значение относительного уровня, дБ.

ПРИЛОЖЕНИЕ В

(рекомендуемое)

Меры по защите средств измерений от внешних радиопомех

В.1 Общие положения

При проведении измерений вблизи мощных источников радиоизлучений, например на передающем радиоцентре, может оказаться, что СИ должны быть расположены на рабочем месте, где уровни внешних радиопомех, создаваемых работающими передатчиками радиоцентра, превышают уровни невосприимчивости СИ и нарушают их правильное функционирование. Внешние радиопомехи могут оказывать воздействие на СИ как по электрическому полю, так и по проводам питания, сигнальным кабелям и цепям заземления. Для устранения вредного воздействия внешних радиопомех следует применять соответствующие меры защиты от радиопомех:

- распространяющихся по сети электропитания;

- распространяющихся по оболочкам сигнальных кабелей;

- распространяющихся по цепям заземления;

- воздействующих по электрическому полю;

- образующихся вследствие неэквипотенциальности точек заземления СИ и точки подключения соединительных кабелей.

Предлагаемые средства защиты рассчитаны на диапазон частот радиопомех от 0,1 до 30 МГц.

В.2 Защита СИ от радиопомех по сети электропитания

Схема защиты СИ от радиопомех по сети электропитания приведена на рисунке В.1. Разделительный трансформатор Т с коэффициентом трансформации по напряжению 1:1 содержит три электростатических экрана, один из которых размещен между первичной и вторичной обмотками, а два других - закрывают катушку трансформатора сверху и снизу.

F1, F2 - предохранители; S - выключатель; Z - сетевой помехоподавляющий фильтр; Т - разделительный трансформатор; Е - стабилизатор переменного напряжения; 1, 2 - RC-цепи; 3 - R5, R6 - разрядные резисторы сопротивлением 220 кОм; R1 - R4 - резисторы сопротивлением 47 Ом; C1 - конденсатор 0,25 мкФ; С2 - конденсатор 1,0 мкФ

Рисунок В.1 - Схема защиты СИ от радиопомех по сети электропитания

Электростатические экраны и сердечник трансформатора электрически соединены с заземленным экраном трансформатора. Сетевой помехоподавляющий фильтр Z включен между разделительным трансформатором Т и стабилизатором переменного напряжения Е.

Цепь С1, R1, R2 предназначена для подавления переходных процессов, возникающих в схеме при выключении переключателя сети S. Цепь С2, R3, R4 предназначена для уменьшения добротности контура, образованного индуктивностью рассеяния разделительного трансформатора Т и входной емкостью фильтра Z. Разрядные резисторы R5, R6 обеспечивают снятие остаточного заряда конденсаторов фильтра Z при выключении напряжения сети.

Данная схема защиты обеспечивает вносимое затухание для радиопомех, распространяющихся по сети питания, не менее чем 90 дБ в диапазоне частот 0,1 - 30 МГц при применении сетевого фильтра с вносимым затуханием 60 дБ в указанном диапазоне частот.

Примечания

1 Монтаж схемы должен быть выполнен экранированным витым проводом.

2 Экранирование всей схемы должно быть выполнено таким образом, чтобы обеспечивалась непрерывность экрана от входа до выхода схемы.

В.3 Средства индивидуальной защиты СИ от радиопомех

Средства индивидуальной защиты СИ от радиопомех, воздействующих по электрическому полю; радиопомех, распространяющихся по цепям заземления; оболочкам сигнальных кабелей и кабелей заземления; радиопомех, образующихся из-за неэквипотенциальности точек заземления и точек подключения соединительных кабелей, приведены на рисунке В.2.

1 - экранирующий кожух; 2 - заземляющие перемычки для высокочастотных разъемов; 3 - шина заземления экранирующего кожуха; 4 - экранированный кабель питания прибора; 5 - экранированный сигнальный кабель

Рисунок В.2 - Средства индивидуальной защиты СИ от радиопомех

СИ помещают в экранирующий кожух 1, изготовленный из латунной сетки или перфорированного листа латуни, или плакированного медью дюралюминия толщиной 0,3 - 0,5 мм, таким образом, что открытой остается только лицевая панель СИ.

Корпуса всех ВЧ соединителей, расположенных на лицевой панели СИ, соединяют с экранирующим кожухом прибора посредством заземляющих перемычек 2 из медной фольги толщиной 0,005 - 0,15 мм и шириной 20 - 25 мм. Экранирующая оболочка кабеля питания 4 непосредственно соединена с экранирующим кожухом прибора.

Указанные средства индивидуальной защиты обеспечивают повышение эффективности экранирования прибора на 20 - 30 дБ в диапазоне частот 1 - 30 МГц, обеспечивают защиту от токов радиопомех, протекающих по оболочкам соединительных кабелей и линии заземления.

В.4 Средства групповой защиты СИ от радиопомех

Средства групповой защиты СИ от радиопомех, воздействующих по электрическому полю; радиопомех, распространяющихся по цепям заземления, оболочкам сигнальных кабелей и кабелей заземления; радиопомех, образующихся из-за неэквивалентности точки заземления и точек подключения соединительных кабелей, приведены на рисунке В.3.

Обозначение: - - - пути прохождения токов

1 - экранирующий шкаф для размещения измерительных приборов; 2 - панель подключения; 3 - шина заземления шкафа; 4 - шина заземления экранирующих кожухов приборов внутри шкафа; 5 - экранированные (в двойном экране) сигнальные высокочастотные и низкочастотные кабели и экранированный кабель питания; 6 - перемычка из коаксиального кабеля; 7 - коаксиальные соединители и переходы

Рисунок В.3 - Средства групповой защиты СИ от радиопомех

Приборы 1 - 3, снабженные средствами индивидуальной защиты от радиопомех, помещают в сварной экранирующий шкаф 1, выполненный из дюралюминия, плакированного медью. Все внешние подключения приборов осуществляют через панель подключения 2, соединенную с контуром ВЧ заземления аппаратного зала посредством шины заземления 3, выполненной из медной ленты шириной 100 - 150 мм. Экранирующие оболочки всех соединительных кабелей 4 соединены электрически с панелью подключения 2, что обеспечивает замыкание токов радиопомех, протекающих по оболочкам соединительных кабелей, на шину заземления 3 шкафа по кратчайшему пути (пути прохождения токов показаны пунктиром).

Внутри шкафа 1 размещена шина заземления 4 экранирующих кожухов приборов (медная лента шириной 150 - 200 мм), подсоединенная к панели подключения 2.

Все межприборные соединения и соединения приборов с кабелями, подходящими к панели подключения, осуществляют внутри экранирующего шкафа. Для этого входные и выходные разъемы приборов посредством коротких экранированных перемычек из коаксиального кабеля 6 через коаксиальные переходы 7, установленные на проводящей поверхности экранирующего шкафа, вводят внутрь экранирующего шкафа.

ПРИЛОЖЕНИЕ Г

(рекомендуемое)

Перечень средств измерений и испытательного оборудования

Таблица Г.1

Наименование прибора

Тип прибора

Анализатор спектра ВЧ

С4-74; С4-82 СК4-83

Анализатор спектра НЧ

С4-77; СК4-58 UPA-3

Милливольтметр низкочастотный

В7-37; В3-57; В7-41

Милливольтметр высокочастотный

В7-37; В3-59

Генератор сигналов НЧ

Г3-118; Г3-123

Генератор шума

Г2-57; Г2-59

Измеритель модуляции

СК3-45; 2965 А

Измеритель искажений телеграфных сигналов

ЭТИ-69

Измеритель разности фаз

Ф2-34

Измеритель ГВЗ

Ф4-16

Комплект измерительный

К505; К506

Компаратор частотный

Ч7-39

Измерительный приемник

ESH-2; ESV

Датчик испытательных телеграфных сигналов

ДИТС-32

Частотомер

Ч3-63; Ч3-64

Стандарт частоты

Ч1-78

Измеритель напряженности электромагнитного поля

НФМ-1; HFH-2

Ваттметр поглощаемой мощности (калориметрический)

М3-48; МК3-68

Миллиомметр

Е6-18/1

Мегаомметр

Ф4101

Установка пробойная

АПУ; УПУ-1М

Примечание - Допускается применять другие аналогичные по назначению СИ и испытательное оборудование, обеспечивающие проведение измерений и испытаний в необходимом диапазоне и с требуемой точностью.

ПРИЛОЖЕНИЕ Д

(рекомендуемое)

Рекомендации по измерению параметров передатчиков с симметричным НЧ входом и (или) симметричным ВЧ выходом

Д.1 Измерение мощности

Измерение мощности передатчиков с симметричным ВЧ выходом проводят аналогично 6.3.1 настоящего стандарта с учетом особенностей подключения симметричного эквивалента антенны, приведенного на рисунке Д.1.

ЭА - эквивалент антенны; R1ЭА = R2ЭА = W/2, где W - волновое сопротивление нагрузки, Ом; R1ЭА, R2ЭА - резисторы с естественным или воздушным охлаждением

Рисунок Д. 1 - Схема измерения мощности передатчика с симметричным ВЧ выходом

При отсутствии специализированной аппаратуры для определения мощности передатчиков с симметричным выходом измерения проводят раздельно в точках А и В симметричного выхода и результаты измерений складывают.

Д.2 Измерение качественных показателей на выходе передатчика

Измерение и контроль качественных показателей передатчиков с симметричным выходом, работающих на симметричную антенну, рекомендуется проводить с помощью сумматора противофазных сигналов, снимаемых с обоих проводов двухпроводного коаксиального фидера. Электрическая схема сумматора приведена на рисунке Д.2. Устройство сумматора приведено на рисунке Д.3. Схема его подключения приведена на рисунке Д.4.

1 - коаксиальный кабель типа РК-75-1,5-22; 2 - коаксиальный кабель типа КВФ-37; R1 - резистор сопротивлением 75 Ом; R2 - резистор сопротивлением 37,5 Ом; C1 - конденсатор 16 пФ

Рисунок Д.2 - Электрическая схема сумматора противофазных сигналов

1 - коаксиальный кабель типа РК-75-1,5-22; 2 - коаксиальный кабель типа КВФ-37; 3 - ферритовое кольцо типа 400НН К38Ч24Ч7 - 2 шт.; R1 - резистор сопротивлением 75 Ом; R2 - резистор сопротивлением 37,5 Ом; C1 - конденсатор 16 пФ

Рисунок Д.3 - Устройство сумматора противофазных сигналов

1 - передатчик; 2 - симметричная антенна или ее эквивалент; 3 - двухпроводным коаксиальный симметричный фидер; 4 - сумматор противофазных сигналов; 5 - СИ; НО 1, НО 2 - направленные ответвители падающих волн

Рисунок Д.4 - Схема подключения сумматора противофазных сигналов на выходе передатчика

Сумматор построен по мостовой схеме на основе широкополосного трансформатора. Сумматор выделяет противофазные сигналы и подавляет синфазные сигналы.

Коэффициент ослабления синфазных сигналов не менее 40 дБ в диапазоне частот 0,1 до 30 МГц.

ПРИЛОЖЕНИЕ Е

(справочное)

Амплитудно-частотная характеристика фильтра, формирующего спектр вещательного сигнала

Е.1 АЧХ фильтра, формирующего спектр вещательного сигнала, соответствует требованиям ГОСТ 30318 / ГОСТ Р 50016 и приведена на рисунке Е.1. Допускаются отклонения АЧХ от приведенной кривой на участке 0,15 - 1,5 кГц в пределах ±1 дБ, на остальных участках - в пределах ±2 дБ.

Рисунок Е.1 - АЧХ фильтра, формирующего спектр вещательного сигнала

Е.2 При включении данного формирующего фильтра в схему испытаний необходимо обеспечить согласование его характеристического сопротивления по входу и выходу.

ПРИЛОЖЕНИЕ Ж

(справочное)

Амплитудно-частотная характеристика фильтра, формирующего спектр речевого сигнала

Ж.1 АЧХ фильтра, формирующего спектр речевого сигнала, соответствует требованиям ГОСТ 30318 / ГОСТ Р 50016 и приведена на рисунке Ж.1. Допускаются отклонения АЧХ от приведенной кривой на участке 0,15 - 1,5 кГц - в пределах ±1 дБ, на остальных участках - в пределах ±2 дБ.

Рисунок Ж.1 - АЧХ фильтра, формирующего спектр речевого сигнала

Ж.2 При включении данного формирующего фильтра в схему испытаний необходимо обеспечить согласование его характеристического сопротивления по входу и выходу.

ПРИЛОЖЕНИЕ И

(справочное)

Библиография

[1] ПОТ Р О-45-002-94 Правила по охране труда на радиопредприятиях. Минсвязи России, 1994

[2] Правила эксплуатации электроустановок потребителей, 5-е издание, Главгосэнергонадзор, 1997

[3] Правила техники безопасности при эксплуатации электроустановок потребителей, 4-е издание, Госэнергонадзор, 1994

[4] ОСТ 45.05-95 Передатчики стационарные радиосвязи, радиовещания и телевидения. Блокировка внутреннего пространства. Общие технические требования. Методы испытаний

[5] СанПиН 2.2.4/2.1.8.055-96 Электромагнитные излучения радиочастотного диапазона (ЭМИ РЧ). Санитарные правила и нормы, Госкомсанэпиднадзор России, 1996

[6] ВСН 601-92 Ведомственные строительные нормы. Допустимые уровни шума на предприятиях связи, Минсвязи России, 1992

[7] ОСТ 45.02-93 Отраслевая система сертификации. Знак соответствия. Порядок маркировки технических средств электросвязи

[8] ПР 50.2.009-94 Государственная система обеспечения единства измерений. Порядок проведения испытаний и утверждения типа средств измерений

 

Ключевые слова: передатчики радиосвязи декаметрового диапазона волн, стационарные, основные параметры, технические требования, методы измерений

СОДЕРЖАНИЕ

1 Область применения. 1

2 Нормативные ссылки. 1

3 Определения и сокращения. 3

4 Основные параметры.. 4

5 Технические требования. 7

6 Методы измерений. 15

Приложение а. Обозначения классов излучений. 41

Приложение б. Формулы для расчета норм на ширину полосы радиочастот и внеполосных радиоколебаний. 42

Приложение в. Меры по защите средств измерений от внешних радиопомех. 44

Приложение г. Перечень средств измерений и испытательного оборудования. 47

Приложение д. Рекомендации по измерению параметров передатчиков с симметричным НЧ входом и (или) симметричным ВЧ выходом.. 47

Приложение е. Амплитудно-частотная характеристика фильтра, формирующего спектр вещательного сигнала. 49

Приложение ж. Амплитудно-частотная характеристика фильтра, формирующего спектр речевого сигнала. 50

Приложение и. Библиография. 50

 

 



© 2013 Ёшкин Кот :-)