Скачать Книга 62: Оборудование, устройства и аппаратура электрические. Федеральные сметные цены на материалы изделия, конструкции и оборудование, применяемые в строительстве. Федеральный сборник сметных цен на материалы, изделия и конструкции, применяемые в строительствеДата актуализации: 10.08.2017
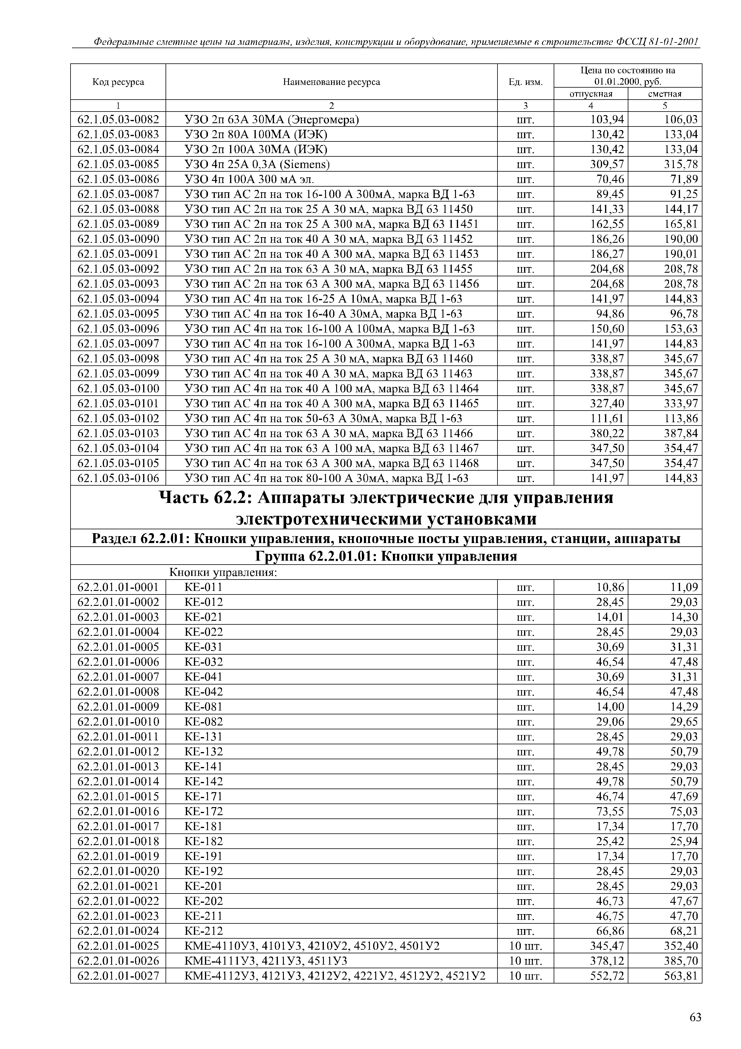
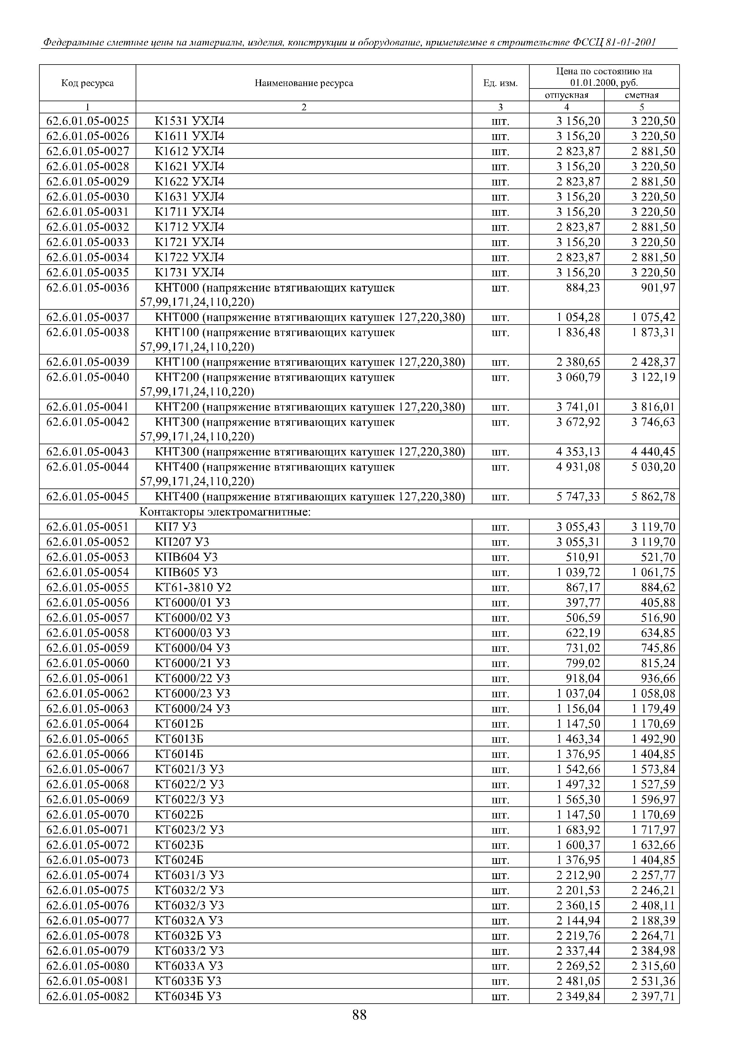
Книга 62: Оборудование, устройства и аппаратура электрические. Федеральные сметные цены на материалы изделия, конструкции и оборудование, применяемые в строительстве. Федеральный сборник сметных цен на материалы, изделия и конструкции, применяемые в строительствеСтатус: | действует | Название рус.: | Книга 62: Оборудование, устройства и аппаратура электрические. Федеральные сметные цены на материалы изделия, конструкции и оборудование, применяемые в строительстве. Федеральный сборник сметных цен на материалы, изделия и конструкции, применяемые в строительстве | Дата добавления в базу: | 05.05.2017 | Дата актуализации: | 05.05.2017 | Дата введения: | 28.04.2017 | Область применения: | Государственные сметные нормативы "Федеральные сметные цены на материалы, изделия, конструкции и оборудование, применяемые в строительстве" предназначены для определения сметной стоимости строительства, реконструкции и капитального ремонта объектов капитального строительства. | Оглавление: | Часть 62.1: Аппаратура распределительная и регулирующая Раздел 62.1.01: Выключатели автоматические Раздел 62.1.02: Комплекты электрической аппаратуры коммутации или защиты Раздел 62.1.03: Разрядники высоковольтные Раздел 62.1.04: Реле Раздел 62.1.05: Устройства защиты электрических цепей прочие Часть 62.2: Аппараты электрические для управления электротехническими установками Раздел 62.2.01: Кнопки управления, кнопочные посты управления, станции, аппараты Раздел 62.2.02: Командоаппараты, пускатели ручные Часть 62.3: Выключатели и переключатели неавтоматические, пакетные, разъединители, рубильники и переключатели врубные Раздел 62.3.01: Выключатели и переключатели неавтоматические Раздел 62.3.02: Выключатели и переключатели пакетные Раздел 62.3.03: Выключатели и переключатели путевые, блоки путевых выключателей, микровыключатели (микропереключатели) Раздел 62.3.04: Выключатели и переключатели универсальные, малогабаритные, крестовые, ползунковые, ключи Раздел 62.3.05: Разъединители Раздел 62.3.06: Рубильники и врубные переключатели Часть 62.4: Источники питания Раздел 62.4.01: Аккумуляторы Раздел 62.4.02: Блоки питания Часть 62.5: Оборудование и приборы электрические Раздел 62.5.01: Приборы бытовые электрические Раздел 62.5.02: Трансформаторы Часть 62.6: Контакторы, пускатели электромагнитные Раздел 62.6.01: Контакторы электромагнитные низковольтные Раздел 62.6.02: Пускатели электромагнитные Часть 62.7: Средства технического регулирования движения Раздел 62.7.01: Оборудование и устройства технического регулирования движения | Утверждён: | 30.12.2016 Минстрой России (Russian Federation Minstroy 1039/пр)
| Расположен в: |
| Нормативные ссылки: | |
                                                                         
|