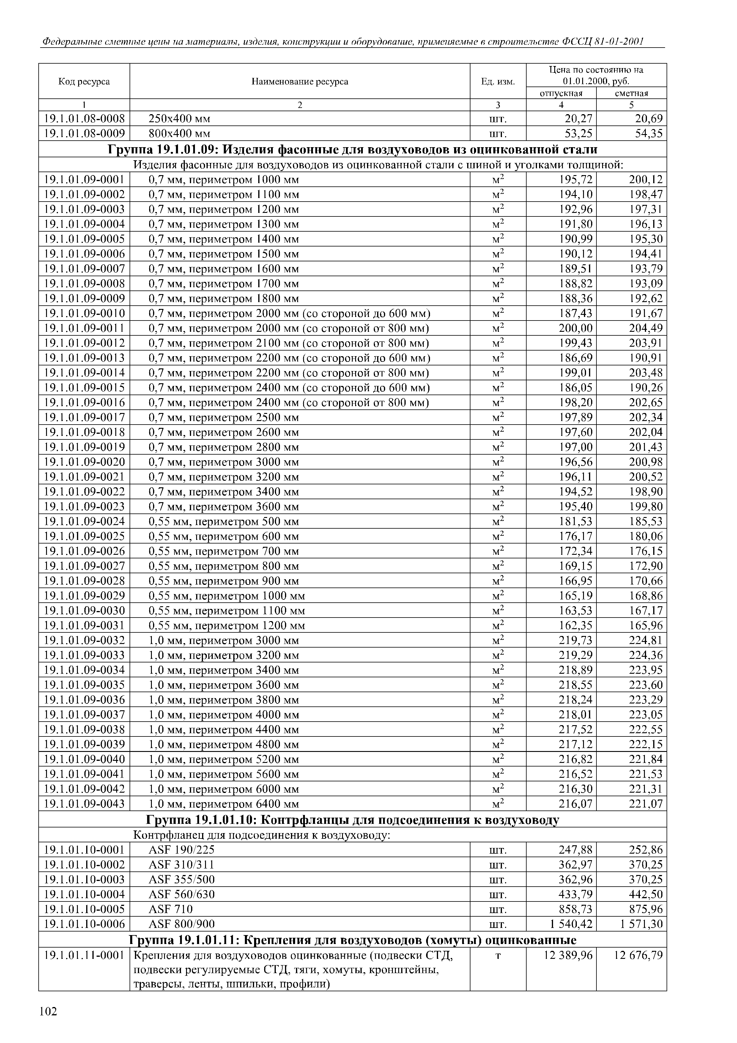
Скачать Книга 19: Материалы и изделия для систем вентиляции и кондиционирования воздуха. Федеральные сметные цены на материалы изделия, конструкции и оборудование, применяемые в строительстве. Федеральный сборник сметных цен на материалы, изделия и конструкции, применяемые в строительствеДата актуализации: 10.08.2017
Книга 19: Материалы и изделия для систем вентиляции и кондиционирования воздуха. Федеральные сметные цены на материалы изделия, конструкции и оборудование, применяемые в строительстве. Федеральный сборник сметных цен на материалы, изделия и конструкции, применяемые в строительствеСтатус: | действует | Название рус.: | Книга 19: Материалы и изделия для систем вентиляции и кондиционирования воздуха. Федеральные сметные цены на материалы изделия, конструкции и оборудование, применяемые в строительстве. Федеральный сборник сметных цен на материалы, изделия и конструкции, применяемые в строительстве | Дата добавления в базу: | 05.05.2017 | Дата актуализации: | 05.05.2017 | Дата введения: | 28.04.2017 | Область применения: | Государственные сметные нормативы "Федеральные сметные цены на материалы, изделия, конструкции и оборудование, применяемые в строительстве" предназначены для определения сметной стоимости строительства, реконструкции и капитального ремонта объектов капитального строительства. | Оглавление: | Часть 19.1: Воздуховоды, воздухоотводы, воздухораспределители, воздухосборники Раздел 19.1.01: Воздуховоды и комплектующие Раздел 19.1.02: Воздухоотводчики и воздухораспределители Раздел 19.1.03: Воздухосборники Раздел 19.1.04: Дефлекторы Раздел 19.1.05: Диффузоры Раздел 19.1.06: Узлы прохода вытяжных вентиляционных шахт Часть 19.2: Виброизоляторы, зонты, отсосы, решетки Раздел 19.2.01: Виброизоляторы, вставки гибкие Раздел 19.2.02: Зонты и отсосы вентиляционные Раздел 19.2.03: Решетки и сетки в рамках Часть 19.3: Заслонки, клапаны, фильтры, комплектующие для системы вентиляции и кондиционирования воздуха Раздел 19.3.01: Заслонки и клапаны для системы вентиляции Раздел 19.3.02: Материалы и изделия для кондиционирования воздуха и системы вентиляции Раздел 19.3.03: Фильтры и комплектующие для систем вентиляции н кондиционирования воздуха Часть 19.4: Изделия и конструкции шумопоглощающие Раздел 19.4.01: Комплектующие шумоглушителей Раздел 19.4.02: Шумоглушители | Утверждён: | 30.12.2016 Минстрой России (Russian Federation Minstroy 1039/пр)
| Расположен в: |
| Нормативные ссылки: | |
                                                          
|