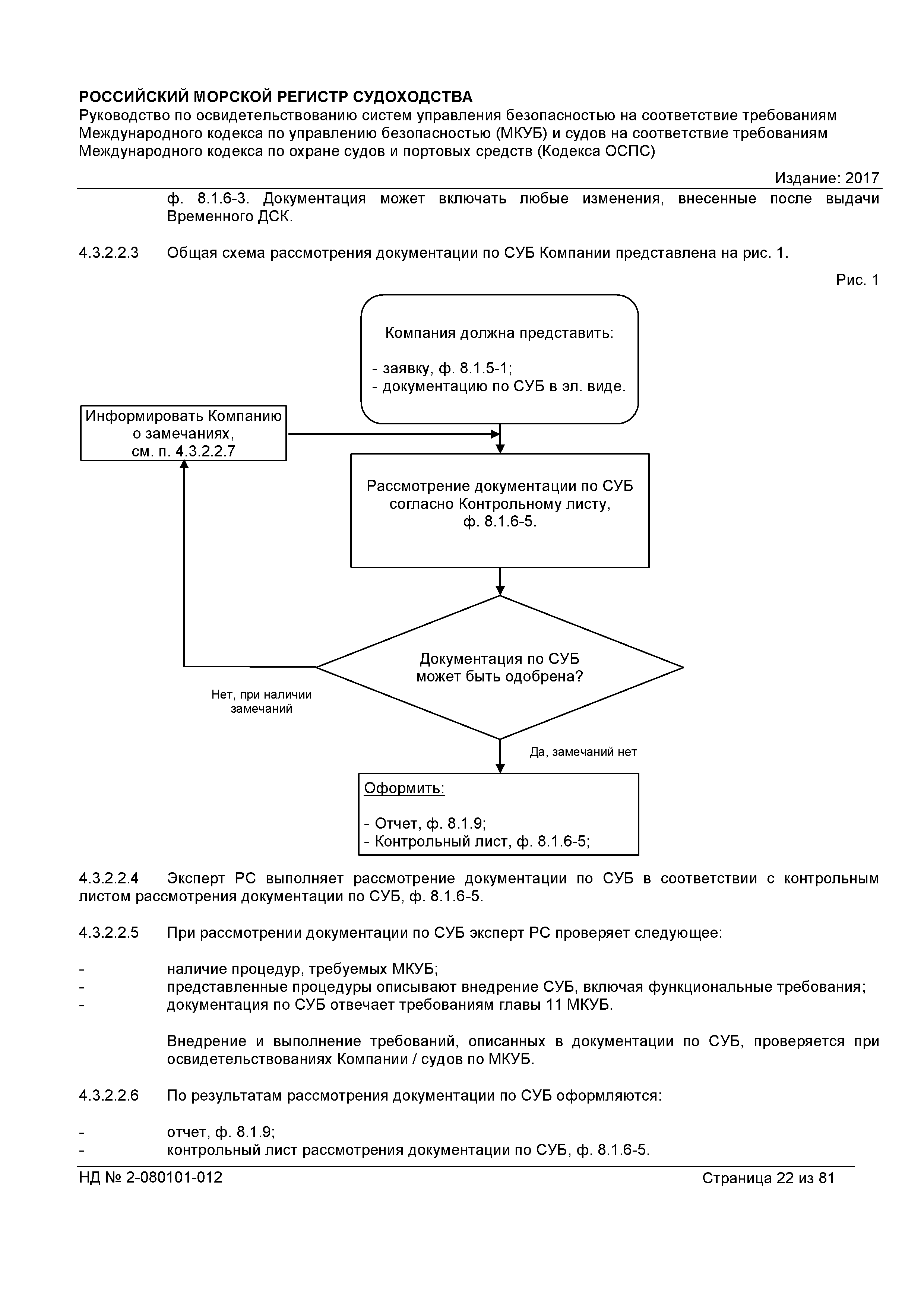
| ||||||||||||||||||||||||||||||||||
Скачать НД 2-080101-012 Руководство по освидетельствованию систем управления безопасностью на соответствие требованиям Международного кодекса по управлению безопасностью (МКУБ) и судов на соответствие требованиям Международного кодекса по охране судов и портовых средств (Кодекса ОСПС) (редакция 2017 года)Дата актуализации: 10.08.2017
|
| Обозначение: | НД 2-080101-012 |
| Обозначение англ: | ND 2-080101-012 |
| Статус: | взамен |
| Название рус.: | Руководство по освидетельствованию систем управления безопасностью на соответствие требованиям Международного кодекса по управлению безопасностью (МКУБ) и судов на соответствие требованиям Международного кодекса по охране судов и портовых средств (Кодекса ОСПС) (редакция 2017 года) |
| Дата добавления в базу: | 05.05.2017 |
| Дата актуализации: | 05.05.2017 |
| Дата введения: | 03.03.2017 |
| Область применения: | Руководство по освидетельствованиям систем управления безопасностью на соответствие требованиям Международного кодекса по управлению безопасностью (МКУБ) и судов на соответствие требованиям Международного кодекса по охране судов и портовых средств (Кодекса ОСПО), устанавливает минимальные требования, которые должны быть выполнены специалистами РС при освидетельствовании системы управления безопасностью (СУБ) Компании/судна (освидетельствование по МКУБ), а также системы охраны судна (освидетельствование по ОСПС). |
| Оглавление: | 1 Область распространения 2 Нормативные ссылки 3 Термины. Определения. Сокращения 3.1 Термины и определения 3.2 Сокращения 4 Процедурные требования по проведению освидетельствований на соответствие требованиям МКУБ 4.1 Общие положения 4.2 Подтверждение соответствия МКУБ 4.3 Процесс освидетельствований 4.4 Дополнение 1. Освидетельствование филиала компании 4.5 Дополнение 2. Взаимодействие с государствами флага и между классификационными обществами 4.6 Дополнение 3. Контроль государства порта 4.8 Дополнение 4. Типы судна в документах по МКУБ 4.9 Дополнение 5. Сценарии освидетельствования компании 4.10 Дополнение 6. Сценарии освидетельствования судов 4.11 Дополнение 7. Уведомление об аннулировании ДСК или СвУБ 4.12 Дополнение 8. Подтверждение соответствия требованиям администрации флага 5 Действия РС в отношении потенциальных несоответствий СУБ, оформляемых в соответствии с ПТ № 17 МАКО 6 Процедурные требования по освидетельствованиям на соответствие требованиям Кодекса ОСПС 6.1 Область распространения и применение 6.2 Определения 6.3 Критерии освидетельствования 6.4 Обязанности Компании 6.5 Одобрение Плана охраны судна 6.6 Освидетельствование судов 6.7 Недостатки и последующие корректирующие действия 6.8 Выдача и подтверждение Международного свидетельства об охране судна 6.9 Вступительное и заключительное совещания 6.10 Отчеты об одобрении планов и освидетельствованиях 6.11 Обязанности, связанные с освидетельствованиями 6.12 Аннулирование свидетельств 6.13 Действия после задержаний Контролем государства порта 6.14 Дополнение 1. Минимальные требования сценариев проведения освидетельствований по ОСПС 6.15 Дополнение 2. Применение Кодекса ОСПС к плавучим сооружениям 6.16 Дополнение 3. Уведомление об аннулировании Свидетельства ОСПС (СвОС) 7 Руководство по определению роли признанной в области охраны организации в отношении использования вооруженных охранников и сооружения цитаделей на борту судов, которым угрожает пиратство в Индийском океане 8 Рекомендации о совмещении освидетельствований по МКУБ и по ОСПС, а также сроков действия СвУБ и СвОС 8.1 Введение 8.2 Определения 8.3 Проведение совмещенных освидетельствований судна по МКУБ и по ОСПС 8.4 Согласование сроков СвУБ и СвОС путем проведения совмещенных освидетельствований 9 Процедура передачи права на освидетельствование систем управления безопасностью и охраной 9.1 Определения 9.2 Общие положения 9.3 Обязательства и переписка Принимающего общества 9.4 Обязательства и переписка Теряющего общества 9.5 Прочие требования 9.6 Дополнение 1: Схема процесса передачи права на освидетельствования 9.7 Дополнение 2. Способы связи |
| Разработан: | Российский морской регистр судоходства |
| Утверждён: | 28.02.2017 Российский морской регистр судоходства |
| Издан: | Российский морской регистр судоходства (2017 г. ) |
| Расположен в: | |
| Заменяет собой: | |
| Нормативные ссылки: |
















































































