| ||||||||||||||||||||||||||||
Скачать ФСЭМ 81-01-2001 Федеральный сборник сметных норм и расценок на эксплуатацию строительных машин и автотранспортных средств (редакция 2017 года)Дата актуализации: 10.08.2017
|
| Обозначение: | ФСЭМ 81-01-2001 |
| Обозначение англ: | 81-01-2001 |
| Статус: | действует |
| Название рус.: | Федеральный сборник сметных норм и расценок на эксплуатацию строительных машин и автотранспортных средств (редакция 2017 года) |
| Дата добавления в базу: | 05.05.2017 |
| Дата актуализации: | 05.05.2017 |
| Дата введения: | 31.03.2017 |
| Область применения: | Федеральные сметные расценки предназначены для определение сметной стоимости строительства, реконструкции и капитального ремонта объектов капитального строительства. |
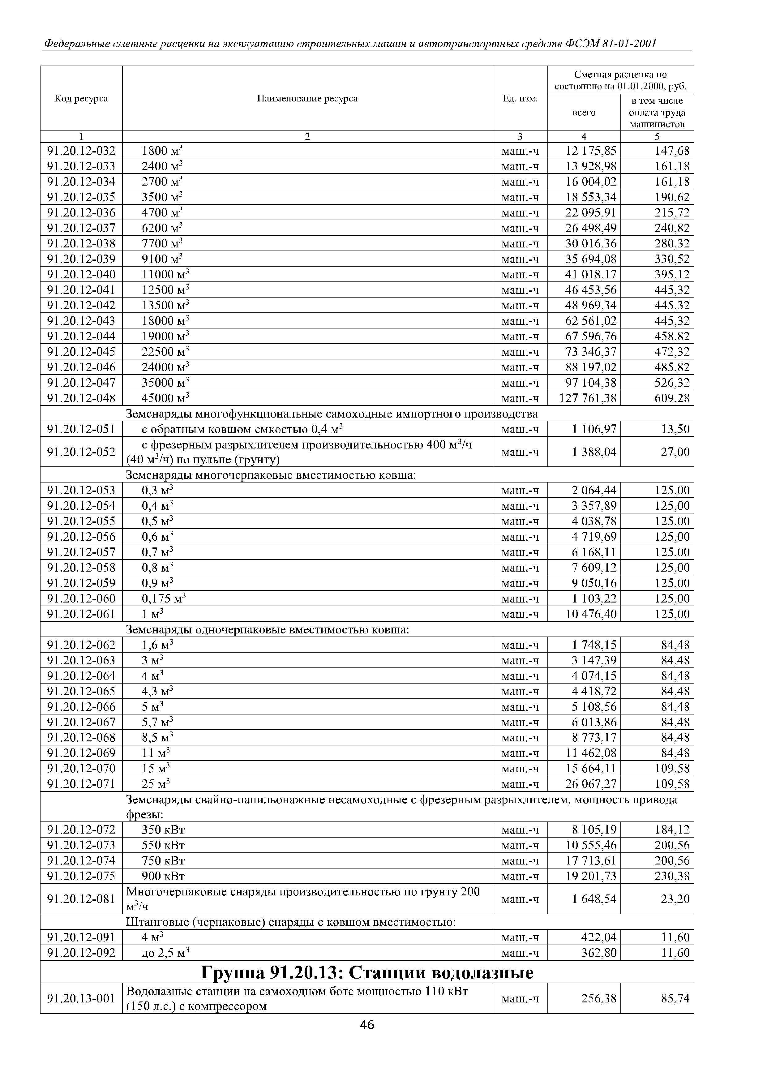
| Оглавление: | Раздел 91.01: Машины для земляных работ Раздел 91.02: Машины и агрегаты для свайных и шпунтовых работ Раздел 91.03: Машины и агрегаты для тоннелестроения, горнопроходческих работ и строительства метрополитенов Раздел 91.04: Машины и агрегаты для бурения Раздел 91.05: Краны, кроме плавучих Раздел 91.06: Машины и механизмы подъемно-транспортные, кроме кранов Раздел 91.07: Машины для приготовления, подачи и укладки бетона и раствора Раздел 91.08: Машины для дорожного и аэродромного cстроительства Раздел 91.09: Машины для железнодорожного cстроительства Раздел 91.10: Машины для cстроительства магистральных трубопроводов Раздел 91.11: Машины для сооружений линий связи и электропередач Раздел 91.12: Машины для водохозяйственного строительства и мелиоративных работ Раздел 91.13: Средства автотранспортные специального назначения Раздел 91.14: Средства транспортные для транспортировки строительных материалов Раздел 91.15: Тракторы, прицепы тракторные Раздел 91.16: Электростанции Раздел 91.17: Устройства для термической обработки, сварки, испытаний и контроля сварных соединений Раздел 91.1 8: Станции компрессорные, компрессоры Раздел 91.19: Насосы, станции насосные, холодильные и замораживающие Раздел 91.20: Суда, плавучие машины и агрегаты для подводно-технических работ Раздел 91.21: Инструменты механизированные, приспособления, станки, агрегаты прочие |
| Утверждён: | 30.12.2016 Минстрой России (Russian Federation Minstroy 1039/пр) |
| Расположен в: | |
| Заменяет собой: |
























































