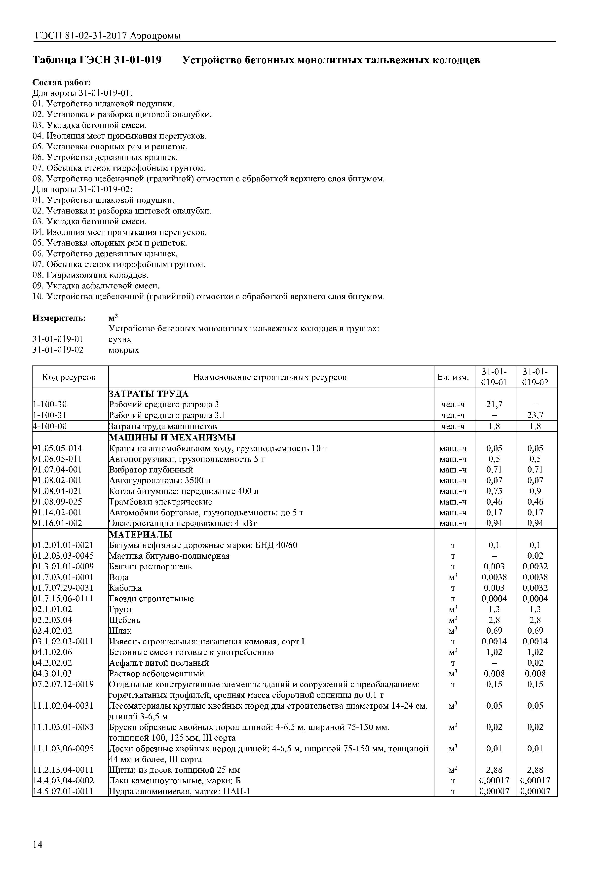
| ||||||||||||||||||||||||||||||
Скачать ГЭСН 81-02-31-2017 Сборник 31. Аэродромы. Государственные элементные сметные нормы на строительные и специальные строительные работыДата актуализации: 10.08.2017
|
| Обозначение: | ГЭСН 81-02-31-2017 |
| Обозначение англ: | GESN 81-02-31-2017 |
| Статус: | действует |
| Название рус.: | Сборник 31. Аэродромы. Государственные элементные сметные нормы на строительные и специальные строительные работы |
| Дата добавления в базу: | 05.05.2017 |
| Дата актуализации: | 05.05.2017 |
| Дата введения: | 28.04.2017 |
| Область применения: | В сборнике содержатся сметные нормы на выполнение работ по строительству, реконструкции, расширению и техническому перевооружению аэродромов. |
| Оглавление: | I. Общие положения II. Исчисление объемов работ III. Государственные элементные сметные нормы на строительные и специальные строительные работы Раздел 1. Аэродромы Подраздел 1.1. Подготовительные, земляные и агротехнические работы Подраздел 1.2. Колодцы смотровые, дождеприемные и тальвежные Подраздел 1.3. Отмостки Подраздел 1.4. Оголовки коллекторов, дождеприемные закрытые дренажи и лотки Подраздел 1.5. Основания Подраздел 1.6. Покрытия Подраздел 1.7. Строительные работы для инженерных коммуникации обеспечения аэродрома Подраздел 1.8. Прочие работы IV. Приложения |
| Утверждён: | 30.12.2016 Министерство строительства и жилищно-коммунального хозяйства Российской Федерации (1038/пр) |
| Издан: | С сайта: |
| Расположен в: | |
| Заменяет собой: |












































