| ||||||||||||||||||||||||||||||||||
Скачать ГОСТ Р 57377-2016 Информатизация здоровья. Функциональная совместимость систем и сетей телездравоохранения. Часть 2. Системы реального времениДата актуализации: 10.08.2017
|
| Обозначение: | ГОСТ Р 57377-2016 |
| Обозначение англ: | GOST R 57377-2016 |
| Статус: | принят |
| Название рус.: | Информатизация здоровья. Функциональная совместимость систем и сетей телездравоохранения. Часть 2. Системы реального времени |
| Название англ.: | Health informatics. Interoperability of telehealth systems and networks. Part 2. Real-time systems |
| Дата добавления в базу: | 05.05.2017 |
| Дата актуализации: | 05.05.2017 |
| Дата введения: | 29.12.2016 |
| Дата окончания срока действия: | 01.01.2018 |
| Область применения: | Стандарт уделяет особое внимание техническим стандартам, связанным с приложениями реального времени, (включая конференции с передачей видео, аудио и данных) и аспектам функциональной совместимости систем и сетей телездравоохранения. Стандарт рассматривает четыре основные области: 1). Стандарты для систем телездравоохранения реального времени. Стандарт описывает технические стандарты, связанные с приложениями телездравоохранения реального времени, включая возможности проведения конференций с передачей видео, аудио и данных. Он также определяет пробелы, перекрытия и противоречивости в стандартах и дает ряд руководств по тому, как они должны развиваться. 2). Вопросы функциональной совместимости приложений телездравоохранения. Стандарт изучает аспекты функциональной совместимости стандартов мультимедийной конференции в реальном времени и изделий телездравоохранения, а также определяет проблемные вопросы с точки зрения функциональной совместимости, которые необходимо решить. 3). Требования к функционально совместимым системам и сетям телездравоохранения. Стандарт определяет требования функциональной совместимости на разных уровнях взаимодействия между системами телездравоохранения и дает ряд руководящих указаний о том, как функциональная совместимость может архивироваться. 4). Общие принципы функционально совместимых архитектур. Стандарт определяет функционально совместимые структурные элементы для решений телездравоохранения и взаимодействия между этими структурными элементами, и изучает возможность стандартизации этих структурных элементов. Область применения настоящего стандарта не включает испытания на соответствие и функциональную совместимость или функциональные технические характеристики для систем и сетей телездравоохранения. |
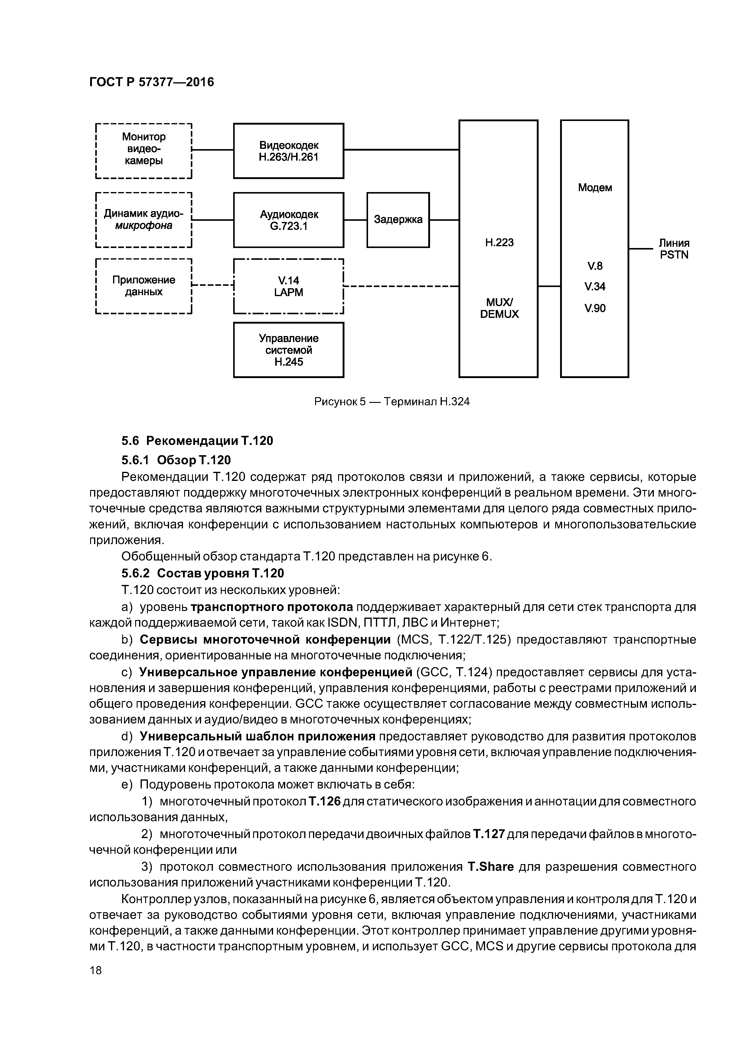
| Оглавление: | 1 Область применения 2 Нормативные ссылки 3 Термины и определения 4 Сокращения 5 Стандарты мультимедийной конференции 5.1 Общие положения 5.2 Рекомендации Н.320 5.3 Рекомендации Н.321 и Н.310 5.4 Рекомендации Н.323 5.5 Рекомендации Н.324 5.6 Рекомендации Т.120 6 Приложения телездравоохранения 6.1 Общие сведения 6.2 Телеобучение 6.3 Телеконсультация 7 Проблемы функциональной совместимости 7.1 Общие сведения 7.2 Источники проблем функциональной совместимости, связанные со стандартами 7.3 Источники проблем функциональной совместимости, связанные с изделием 7.4 Источники проблем функциональной совместимости, связанные с реализацией 8 Требования функциональной совместимости 8.1 Общие положения 8.2 Установление вызова 8.3 Получение, обработка и передача мультимедийных данных 8.4 Управление ближними и удаленными устройствами 8.5 Завершение вызова 9 Функциональная совместимость в неоднородных сетях телездравоохранения 9.1 Общие положения 9.2 Функциональная совместимость систем Н.320 в сети типа Frame Relay 9.3 Функциональная совместимость систем, совместимых с Н.3хх в неоднородных сетях 10 Подход к созданию функционально совместимых архитектур 10.1 Общие положения 10.2 Области функционирования компонентов телездравоохранения Приложение ДА (справочное) Сведения о соответствии ссылочных международных стандартов и международных документов национальным стандартам Библиография |
| Разработан: | ООО Корпоративные электронные системы ФГБУ ЦНИИОИЗ Минздрава |
| Утверждён: | 29.12.2016 Федеральное агентство по техническому регулированию и метрологии (2105-ст) |
| Издан: | Стандартинформ (2017 г. ) |
| Расположен в: |












































