| ||||||||||||||||||||||||||||||||||||
Скачать ИТС 12-2016 Производство никеля и кобальтаДата актуализации: 10.08.2017
|
| Обозначение: | ИТС 12-2016 |
| Обозначение англ: | 12-2016 |
| Статус: | принят |
| Название рус.: | Производство никеля и кобальта |
| Название англ.: | Production of nickel and cobalt |
| Дата добавления в базу: | 01.02.2017 |
| Дата актуализации: | 05.05.2017 |
| Дата введения: | 15.12.2016 |
| Дата окончания срока действия: | 01.07.2017 |
| Область применения: | Справочник НДТ «Производство никеля и кобальта» распространяется на процессы производства первичных никеля и кобальта, т. е. получаемых из рудного сырья. Справочник НДТ также распространяется на процессы, связанные с основными видами деятельности по производству первичных никеля и кобальта, которые могут оказать влияние на объемы эмиссий и (или) масштабы загрязнения окружающей среды: - хранение, подготовка и транспортировка сырья; - хранение и подготовка топлива, материалов, реагентов и продукции; - производственные процессы (пирометаллургические, гидрометаллургические). |
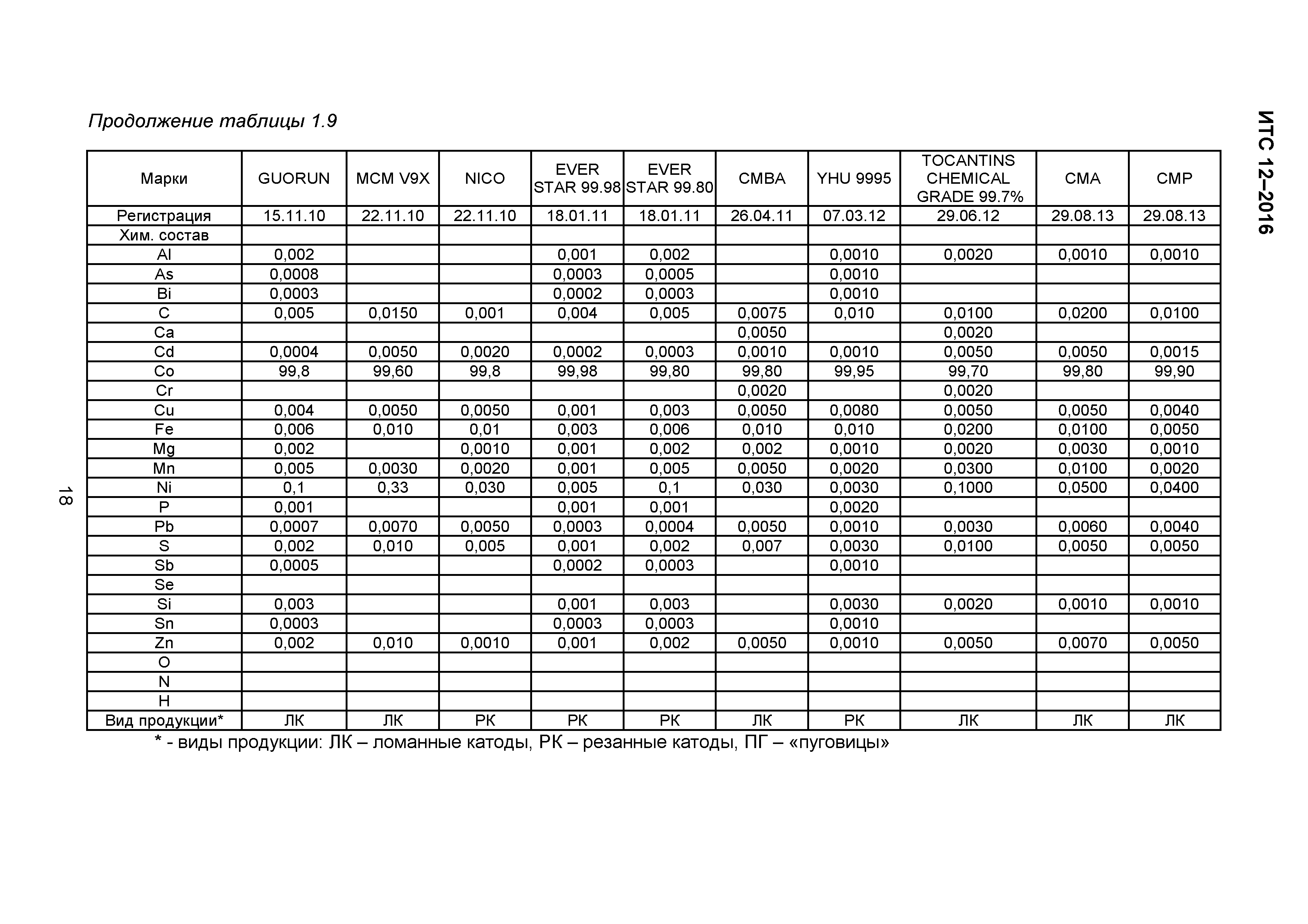
| Оглавление: | Введение Предисловие Область применения Раздел 1. Мировое состояние никель-кобальтовой промышленности 1.1 Производство и потребление никеля и кобальта 1.2 Никель- и кобальтсодержащие руды. Запасы и ресурсы 1.3 Добыча никеля и кобальта 1.4 Производство никеля и кобальта 1.5 Ресурсная база никеля и кобальта Раздел 2. Основные технологические процессы и оборудование, применяемые в настоящее время при производстве никеля и кобальта в Российской Федерации. Текущие уровни эмиссий 2.1 Производство никеля из сульфидных медно-никелевых концентратов 2.2 Характеристика процесса конвертирования 2.3 Производство никеля из окисленных руд 2.4 Производство кобальта Раздел 3. Определение наилучших доступных технологий Раздел 4. Наилучшие доступные технологии Раздел 5. Экономические аспекты применения наилучших доступных технологий при производстве никеля и кобальта Раздел 6. Перспективные технологии при производстве никеля и кобальта 6.1 Технология двухзонной печи Ванюкова 6.2 Усовершенствование технологии гидрометаллургического обогащения бедного никель-пирротинового концентрата 6.3 Производство никеля электроэкстракцией и рафинированием ПНТП 6.4 Производство никеля электроэкстракцией растворов выщелачивания никелевого концентрата от разделения файнштейна 6.5 Технология производства карбонильного никеля с использованием синтеза среднего давления Заключительные положения и рекомендации Приложение А (обязательное) Сфера распространения настоящего справочника НДТ Приложение Б (обязательное) Перечни маркерных веществ и технологических показателей Приложение В (обязательное) Перечень НДТ Приложение Г (обязательное) Энергоэффективность Библиография |
| Разработан: | ООО Институт Гипроникель ФГУП ВНИИ СМТ ЗАО Русская Медная Компания АО НИИ Атмосфера Минпромторг России ЗАО ПАО ГМК Норильский никель ФГБУ ВНИИ Экология АО Кольская ГМК ЗАО Карабашмедь ЗАО Новгородский металлургический завод ЗФ ПАО ГМК Норильский никель ЗАО ЭКАТ ЗАО Кыштымский медеэлектролитный завод ТРГ 12 Производство никеля и кобальта |
| Утверждён: | 15.12.2016 Федеральное агентство по техническому регулированию и метрологии (1890) |
| Издан: | Официальный сайт Федерального агентства по техническому регулированию и метрологии в сети Интернет (www.gost.ru) (2016 г. ) |
| Расположен в: | |
| Нормативные ссылки: |









































































































































































































