| ||||||||||||||||||||||||||||||||||||
Скачать ГОСТ Р ИСО 22274-2016 Системы управления терминологией, базами знаний и контентом. Концептуальные аспекты разработки и интернационализации систем классификацииДата актуализации: 10.08.2017
|
| Обозначение: | ГОСТ Р ИСО 22274-2016 |
| Обозначение англ: | GOST R ISO 22274-2016 |
| Статус: | принят |
| Название рус.: | Системы управления терминологией, базами знаний и контентом. Концептуальные аспекты разработки и интернационализации систем классификации |
| Название англ.: | Systems to manage terminology, knowledge and content. Concept-related aspects for developing and internationalizing classification systems |
| Дата добавления в базу: | 05.05.2017 |
| Дата актуализации: | 05.05.2017 |
| Дата введения: | 30.11.2016 |
| Дата окончания срока действия: | 01.09.2017 |
| Область применения: | Стандарт устанавливает основные принципы и требования к разработке систем классификации, позволяющие обеспечить их применимость в международном масштабе благодаря учету таких аспектов как культурологическое и лингвистическое разнообразие и конкретные требования рынка информационных продуктов. Применительно к принципам терминологической работы в данном стандарте излагаются конкретные рекомендации (руководящие указания) по созданию, отработке и использованию классификационных систем для интернациональных сообществ. |
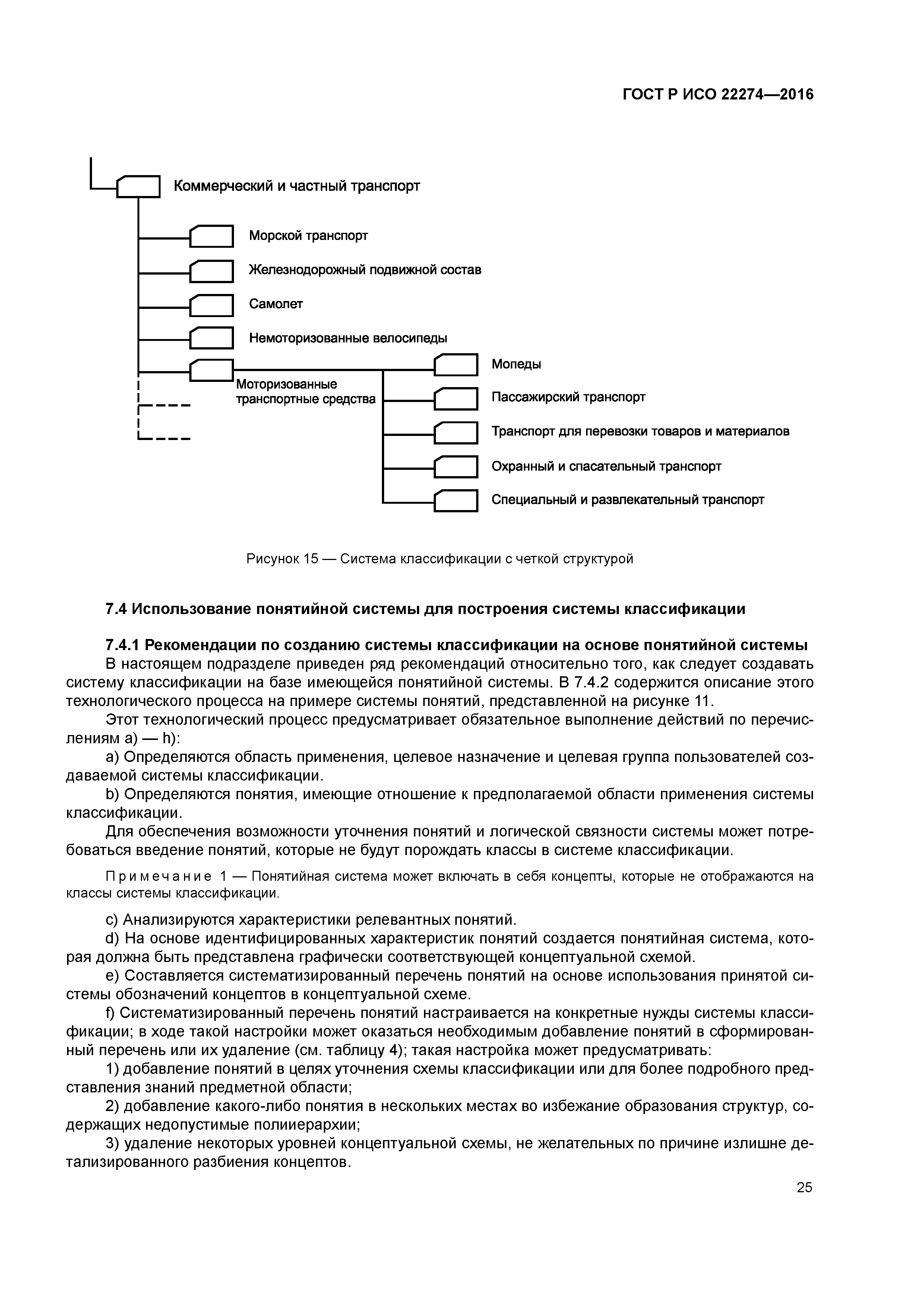
| Оглавление: | 1 Область применения 2 Нормативные ссылки 3 Термины и определения 4 Связи с другими нормативными документами 5 Фундаментальные принципы разработки систем классификации 5.1 Общие положения 5.2 Сферы применения 5.3 Общие критерии 5.4 Принципы структурирования 5.5 Требования к описаниям классификационных систем 6 Терминологические принципы в системе классификации 6.1 Общие положения 6.2 Терминологические принципы в применении к определениям 6.3 Терминологические принципы в применении к наименованиям классов 7 Понятийные системы и системы классификации 7.1 Базовые принципы построения понятийных систем 7.2 Различия между системами понятий и системами классификации 7.3 Возможные трудности в системах классификации, не основанных на использовании системы понятий 7.4 Использование понятийной системы для построения системы классификации 8 Требования к интернационализации системы классификации 8.1 Мотивация 8.2 Многоязыковые среды 8.3 Идентификаторы классов 9 Аспекты интернационализации 9.1 Общие положения 9.2 Сопровождение параллельных понятийных систем 9.3 Руководящие указания по созданию интернационализированной системы классификации 10 Аспекты локализации 10.1 Общие положения 10.2 Ведущий регион 10.3 Региональные имена классов, свойств или значений 10.4 Региональная специфика объектов, классов, свойств и областей значений 10.5 Различные классификационные критерии 10.6 Различия в содержании понятий 10.7 Фирменные товарные знаки 10.8 Прочие культурологические аспекты 11 Технологический процесс и вопросы администрирования Приложение А (справочное) Описательная информация существующих систем классификации Приложение В (справочное) Правила построения иерархических схем понятий и классов Приложение ДА (справочное) Сведения о соответствии ссылочных международных стандартов национальным стандартам Российской Федерации Библиография |
| Разработан: | АНО ИБТ |
| Утверждён: | 30.11.2016 Федеральное агентство по техническому регулированию и метрологии (1903-ст) |
| Издан: | Стандартинформ (2017 г. ) |
| Расположен в: | |
| Нормативные ссылки: |
|




















































