| ||||||||||||||||||||||||||||||||||||
Скачать ГОСТ Р ИСО 9735-8-2016 Электронный обмен данными в управлении, торговле и на транспорте (EDIFACT). Синтаксические правила для прикладного уровня (версия 4, редакция 1). Часть 8. Ассоциированные данные в EDIДата актуализации: 10.08.2017
|
| Обозначение: | ГОСТ Р ИСО 9735-8-2016 |
| Обозначение англ: | GOST R ISO 9735-8-2016 |
| Статус: | принят |
| Название рус.: | Электронный обмен данными в управлении, торговле и на транспорте (EDIFACT). Синтаксические правила для прикладного уровня (версия 4, редакция 1). Часть 8. Ассоциированные данные в EDI |
| Название англ.: | Electronic data interchange for administration, commerce and transport (EDIFACT). Application level syntax rules (Syntax version number: 4, Syntax release number: 1). Part 8. Associated data in EDI |
| Дата добавления в базу: | 01.02.2017 |
| Дата актуализации: | 05.05.2017 |
| Дата введения: | 30.11.2016 |
| Дата окончания срока действия: | 01.09.2017 |
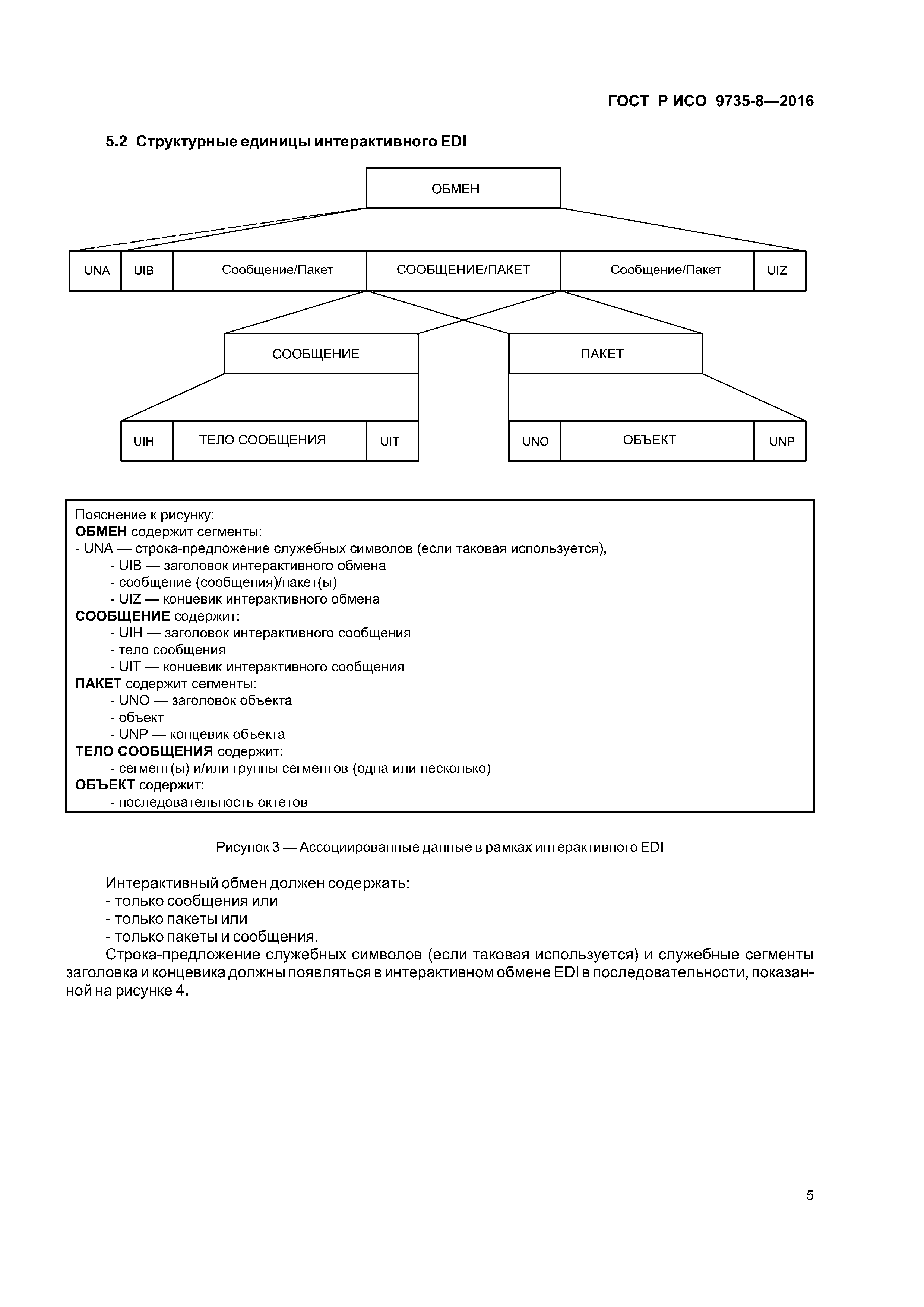
| Область применения: | Стандарт определяет синтаксические правила, касающиеся ассоциированных данных EDI, которые должны участвовать в информационном обмене между прикладными компьютерными системами. Тем самым обеспечивается метод передачи данных, который невозможно реализовать посредством пакетного или интерактивного сообщения EDIFACT. Передаваемые данные могут создаваться другими приложениями (например, STEP, CAD и др.) и называются в стандарте ассоциированными данными. |
| Оглавление: | 1 Область применения 2 Нормативные ссылки 3 Термины и определения 4 Соответствие настоящему стандарту 5 Ассоциированные данные в рамках EDI 5.1 Структуры пакетного EDI 5.2 Структурные единицы интерактивного EDI 5.3 Содержимое пакета 5.4 Обращение к объектам Приложение ДА (справочное) Сведения о соответствии ссылочных международных стандартов национальным стандартам Библиография |
| Разработан: | АНО ИБТ |
| Утверждён: | 30.11.2016 Федеральное агентство по техническому регулированию и метрологии (1900-ст) |
| Издан: | Стандартинформ (2016 г. ) |
| Расположен в: | |
| Нормативные ссылки: |
|














