| ||||||||||||||||||||||||||
Скачать ТУ 122-1/9 Технические условия на метод определения содержания никеля в воздухеДата актуализации: 10.08.2017
|
| Обозначение: | ТУ 122-1/9 |
| Обозначение англ: | TU 122-1/9 |
| Статус: | cправочные материалы, мп, тпр |
| Название рус.: | Технические условия на метод определения содержания никеля в воздухе |
| Дата добавления в базу: | 01.02.2017 |
| Дата актуализации: | 05.05.2017 |
| Область применения: | Технические условия распространяются на метод определения содержания никеля, его солей и оксилов в воздухе промышленных помещений при санитарном контроле. |
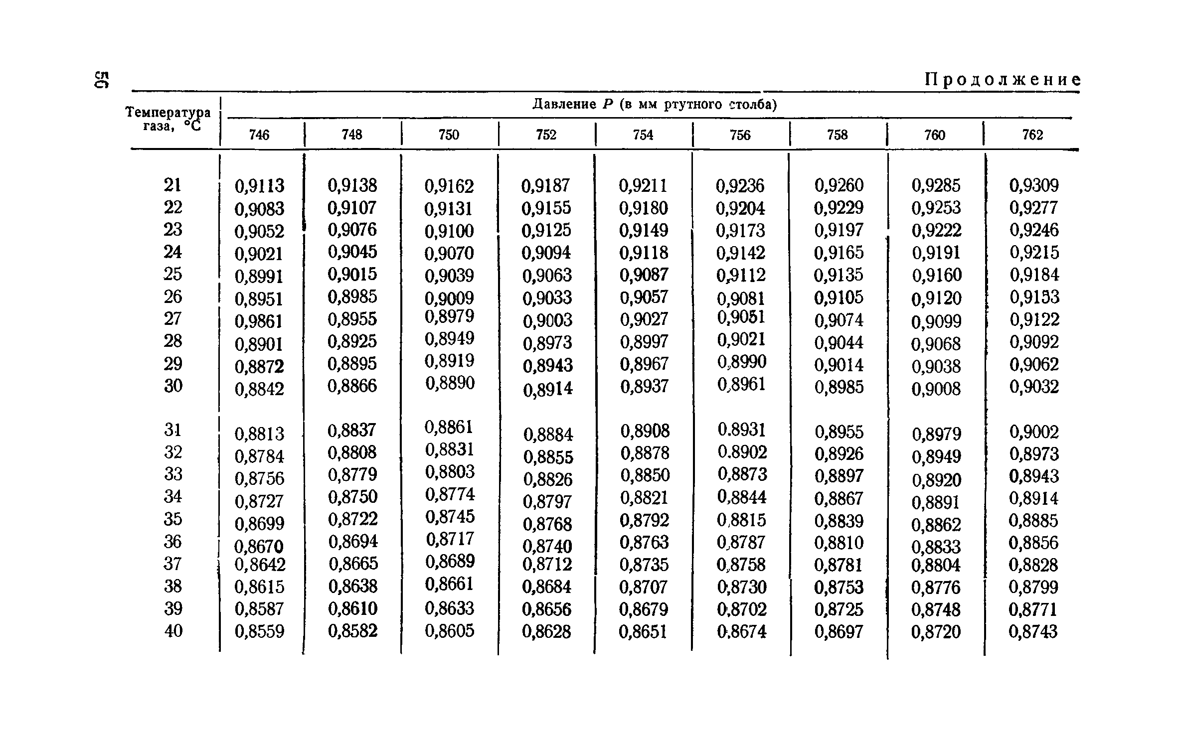
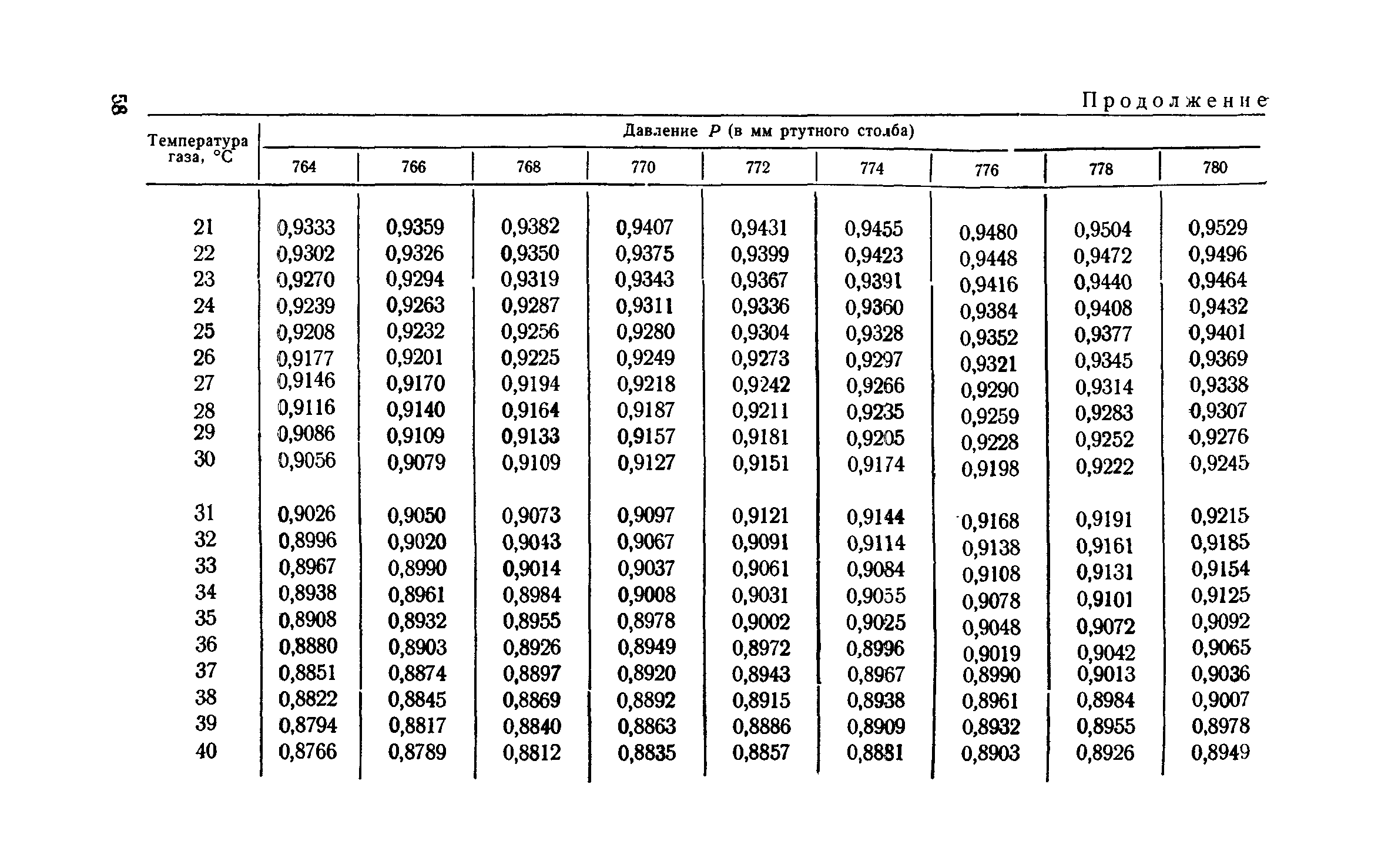
| Оглавление: | I. Общая часть II. Реактивы и аппаратура III. Отбор пробы воздуха IV. Описание определения Приложение. Таблица коэффициентов для различных температур и давлений |
| Утверждён: | 19.03.1962 Заместитель Главного государственного санитарного врача CCCР |
| Издан: | Государственное издательство медицинской литературы (1962 г. ) |
| Расположен в: |














