Информационная система
«Ёшкин Кот»

Скачать базу одним архивом
Скачать обновления
История создания базы
Карта сайта

Скачать ГОСТ Р 57229-2016 Системы фотоэлектрические. Устройства слежения за Солнцем. Технические условия

Дата актуализации: 10.08.2017

ГОСТ Р 57229-2016

Системы фотоэлектрические. Устройства слежения за Солнцем. Технические условия

Обозначение: ГОСТ Р 57229-2016
Обозначение англ: GOST R 57229-2016
Статус:принят
Название рус.:Системы фотоэлектрические. Устройства слежения за Солнцем. Технические условия
Название англ.:Photovoltaic systems. Solar trackers. General specifications
Дата добавления в базу:01.02.2017
Дата актуализации:05.05.2017
Дата введения:08.11.2016
Дата окончания срока действия:01.09.2017
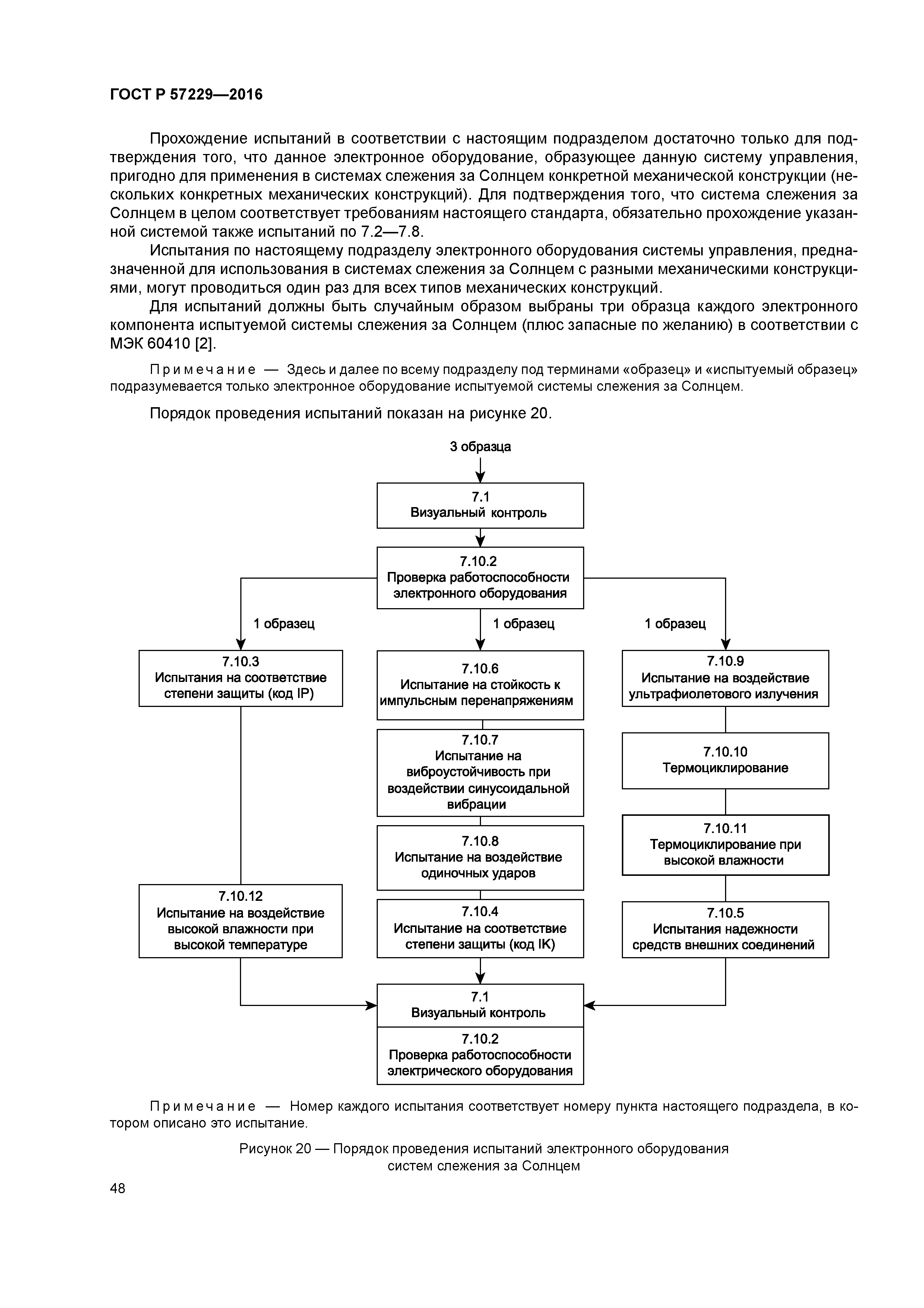
Область применения:Стандарт распространяется на устройства (системы) слежения за Солнцем, предназначенные для работы в фотоэлектрических системах. Стандарт устанавливает минимальные требования к системам слежения за Солнцем, обеспечивающие полноту информации о конкретной системе слежения за Солнцем. Стандарт устанавливает методы испытаний систем слежения за Солнцем и их основных компонентов. Часть методов испытаний устанавливает способы измерения и расчета параметров, указываемых в паспортных данных конкретной системы слежения за Солнцем, другая часть методов испытаний предназначена для определения соответствия характеристик систем слежения за Солнцем требуемым значениям Вторая часть испытаний предназначена также для выявления конструкций систем слежения за Солнцем, которые будут иметь высокую вероятность отказов в отличие от конструкций, способных выполнять свои функции в соответствии с технической документацией с высокой надежностью. Результаты механических испытаний, приведенных в настоящем стандарте, не распространяются на фундамент и части строительных конструкций, к которым крепиться испытуемая система слежения за Солнцем, поскольку такой тип соответствия определяется также строительными нормами и правилами, и особенностями места установки, например, типами почвы и т. П. Стандарт также может быть использован при разработке гелиотехнических устройств и гелиосистем других типов.
Разработан: ГНУ ВИЭСХ
Утверждён:08.11.2016 Федеральное агентство по техническому регулированию и метрологии (1614-ст)
Издан: Стандартинформ (2016 г. )
Расположен в:Техническая документация Электроэнергия ЭНЕРГЕТИКА И ТЕПЛОТЕХНИКА Гелиоэнергетика Экология ЭНЕРГЕТИКА И ТЕПЛОТЕХНИКА Гелиоэнергетика Строительство Стандарты Другие государственные стандарты, применяемые в строительстве Энергетика и теплотехника
Нормативные ссылки:
ГОСТ Р 57229-2016ГОСТ Р 57229-2016ГОСТ Р 57229-2016ГОСТ Р 57229-2016ГОСТ Р 57229-2016ГОСТ Р 57229-2016ГОСТ Р 57229-2016ГОСТ Р 57229-2016ГОСТ Р 57229-2016ГОСТ Р 57229-2016ГОСТ Р 57229-2016ГОСТ Р 57229-2016ГОСТ Р 57229-2016ГОСТ Р 57229-2016ГОСТ Р 57229-2016ГОСТ Р 57229-2016ГОСТ Р 57229-2016ГОСТ Р 57229-2016ГОСТ Р 57229-2016ГОСТ Р 57229-2016ГОСТ Р 57229-2016ГОСТ Р 57229-2016ГОСТ Р 57229-2016ГОСТ Р 57229-2016ГОСТ Р 57229-2016ГОСТ Р 57229-2016ГОСТ Р 57229-2016ГОСТ Р 57229-2016ГОСТ Р 57229-2016ГОСТ Р 57229-2016ГОСТ Р 57229-2016ГОСТ Р 57229-2016ГОСТ Р 57229-2016ГОСТ Р 57229-2016ГОСТ Р 57229-2016ГОСТ Р 57229-2016ГОСТ Р 57229-2016ГОСТ Р 57229-2016ГОСТ Р 57229-2016ГОСТ Р 57229-2016ГОСТ Р 57229-2016ГОСТ Р 57229-2016ГОСТ Р 57229-2016ГОСТ Р 57229-2016ГОСТ Р 57229-2016ГОСТ Р 57229-2016ГОСТ Р 57229-2016ГОСТ Р 57229-2016ГОСТ Р 57229-2016ГОСТ Р 57229-2016ГОСТ Р 57229-2016ГОСТ Р 57229-2016ГОСТ Р 57229-2016ГОСТ Р 57229-2016ГОСТ Р 57229-2016ГОСТ Р 57229-2016ГОСТ Р 57229-2016ГОСТ Р 57229-2016ГОСТ Р 57229-2016ГОСТ Р 57229-2016ГОСТ Р 57229-2016ГОСТ Р 57229-2016ГОСТ Р 57229-2016ГОСТ Р 57229-2016ГОСТ Р 57229-2016ГОСТ Р 57229-2016ГОСТ Р 57229-2016

© 2013 Ёшкин Кот :-) Карта сайта