Информационная система
«Ёшкин Кот»

Скачать базу одним архивом
Скачать обновления
История создания базы
Карта сайта

Скачать Технологическая карта 16 Устройство трехслойного, армированного стеклохолстом гидроизоляционного ковра из битумной мастики на основе эмульсии эмульбит по плитам покрытия жилых зданий

Дата актуализации: 10.08.2017

Технологическая карта 16

Устройство трехслойного, армированного стеклохолстом гидроизоляционного ковра из битумной мастики на основе эмульсии эмульбит по плитам покрытия жилых зданий

Обозначение: Технологическая карта 16
Обозначение англ: 16
Статус:не установлен срок действия
Название рус.:Устройство трехслойного, армированного стеклохолстом гидроизоляционного ковра из битумной мастики на основе эмульсии эмульбит по плитам покрытия жилых зданий
Дата добавления в базу:01.02.2017
Дата актуализации:05.05.2017
Область применения:Технологическая карта разработана на устройство трехслойного, армированного стеклохолстом гидроизоляционного ковра из битумной эмульсионной мастики эмульбит по плитам покрытия повышенной заводской готовности жилых зданий.
Оглавление:I Область применения
II Технико-экономические показатели
III Организация и технология строительного процесса
IV Организация и методы труда рабочих
V Калькуляция затрат труда и заработной платы рабочих (на 1000 м2 покрытия)
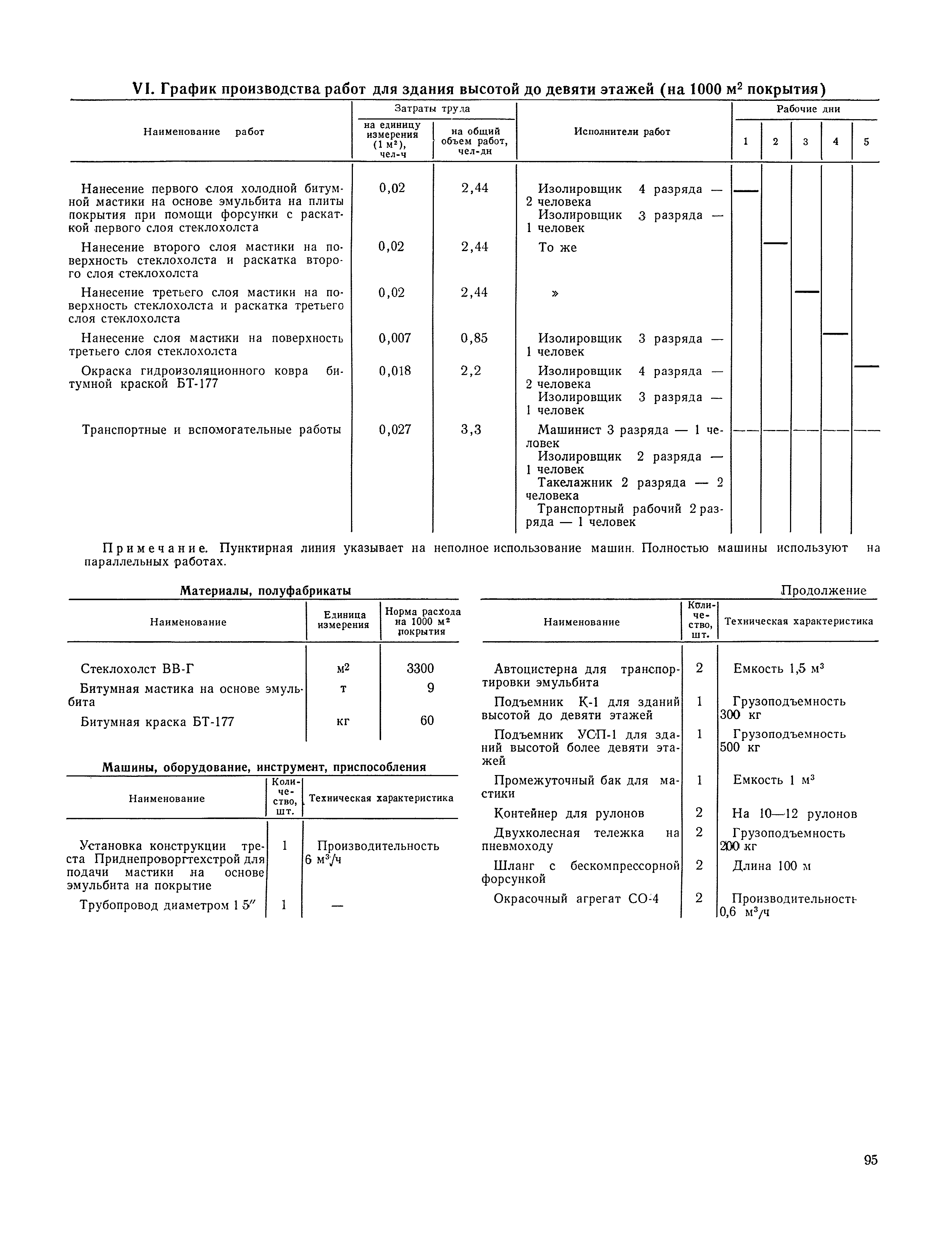
VI График производства работ для здания высотой до девяти этажей (на 1000 м2 покрытия)
Приложение. Расчеты на отдельные виды работ по устройству гидроизоляционных рулонных мастичных кровельных ковров
Разработан: ЦНИИОМТП
Утверждён: ЦНИИОМТП (TsNIIOMTP )
Издан: ЦНИИОМТП (1973 г. )
Расположен в:Техническая документация Строительство Справочные документы Технологические карты Кровля
Нормативные ссылки:
Технологическая карта 16Технологическая карта 16Технологическая карта 16Технологическая карта 16Технологическая карта 16Технологическая карта 16Технологическая карта 16Технологическая карта 16Технологическая карта 16Технологическая карта 16Технологическая карта 16Технологическая карта 16Технологическая карта 16Технологическая карта 16Технологическая карта 16Технологическая карта 16Технологическая карта 16Технологическая карта 16

© 2013 Ёшкин Кот :-) Карта сайта