| ||||||||||||||||||||||||||||||||||
Скачать ГОСТ Р 57211.4-2016 Внешние воздействия. Данные о воздействии на электротехническое оборудование вибрации и ударов. Часть 4. Оборудование, перевозимое автодорожным транспортомДата актуализации: 10.08.2017
|
| Обозначение: | ГОСТ Р 57211.4-2016 |
| Обозначение англ: | GOST R 57211.4-2016 |
| Статус: | принят |
| Название рус.: | Внешние воздействия. Данные о воздействии на электротехническое оборудование вибрации и ударов. Часть 4. Оборудование, перевозимое автодорожным транспортом |
| Название англ.: | Environmental conditions. Data of vibration and shock effects on electrotechnical equipment. Part 4. Equipment transported in road vehicles |
| Дата добавления в базу: | 01.02.2017 |
| Дата актуализации: | 05.05.2017 |
| Дата введения: | 02.11.2016 |
| Дата окончания срока действия: | 01.10.2017 |
| Область применения: | Стандарт устанавливает метод использования данных динамических процессов, наблюдаемых на автодорожном транспорте, для формирования типичных условий воздействий вибрации и ударов при перевозке электротехнического оборудования дорожным транспортом. |
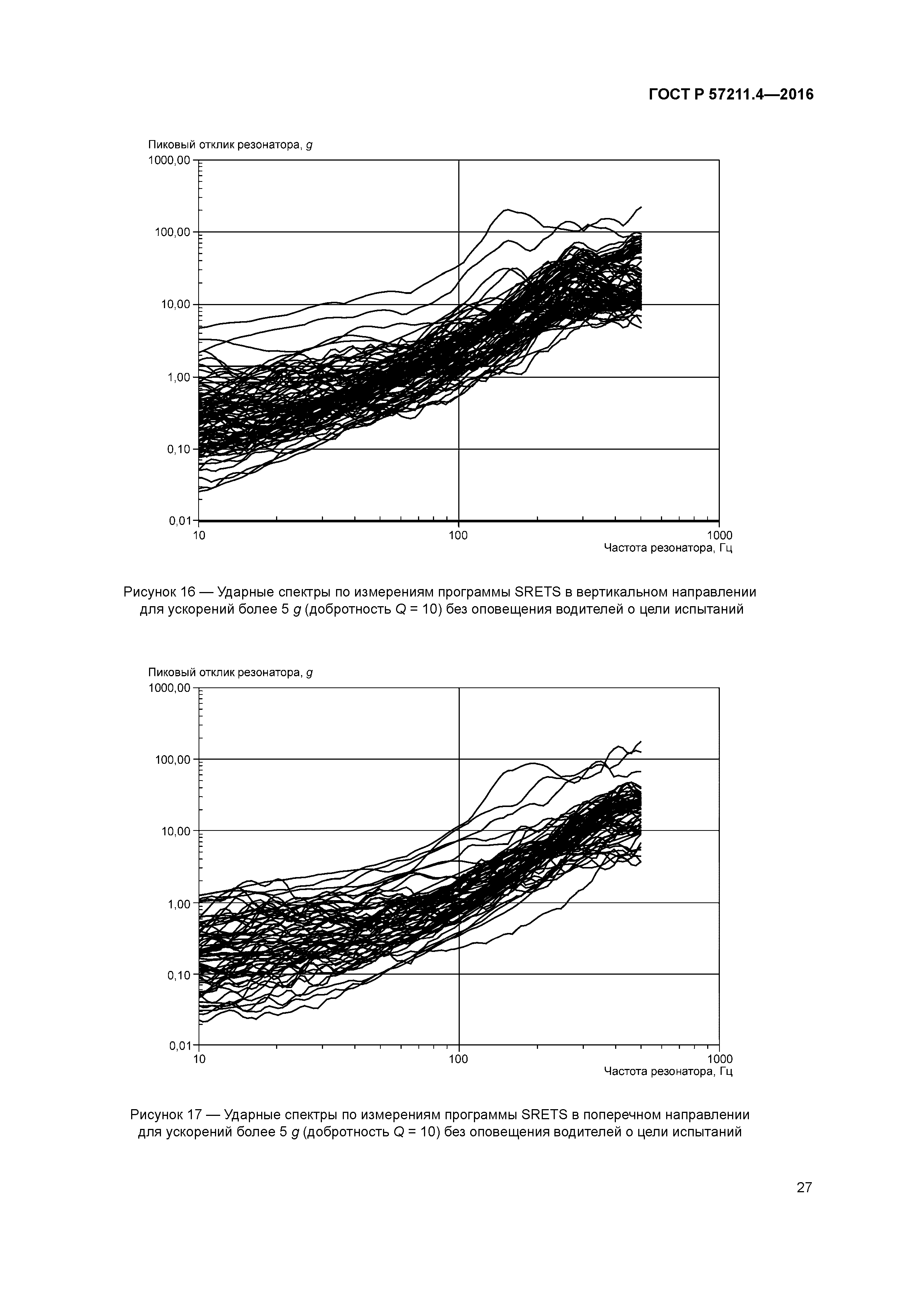
| Оглавление: | 1 Область применения 2 Нормативные ссылки 3 Источник данных и их качество 4 Сопоставление записей из одного источника 5 Сопоставление данных из разных источников 6 Идентификация жесткости динамических воздействий 7 Описание условий динамических воздействий 8 Сопоставление с МЭК 60721-3-2:1997 9 Заключение Приложение ДА (справочное) Сведения о соответствии ссылочных международных стандартов национальным стандартам Библиография |
| Разработан: | АО НИЦ КД |
| Утверждён: | 02.11.2016 Федеральное агентство по техническому регулированию и метрологии (1577-ст) |
| Издан: | Стандартинформ (2016 г. ) |
| Расположен в: |






























































