Информационная система
«Ёшкин Кот»

Скачать базу одним архивом
Скачать обновления
История создания базы
Карта сайта

Скачать ГОСТ Р МЭК 62264-2-2016 Интеграция систем управления предприятием. Часть 2. Объекты и атрибуты

Дата актуализации: 10.08.2017

ГОСТ Р МЭК 62264-2-2016

Интеграция систем управления предприятием. Часть 2. Объекты и атрибуты

Обозначение: ГОСТ Р МЭК 62264-2-2016
Обозначение англ: GOST R IEC 62264-2-2016
Статус:принят
Название рус.:Интеграция систем управления предприятием. Часть 2. Объекты и атрибуты
Название англ.:Enterprise-control system integration. Part 2. Object and attributes
Дата добавления в базу:01.02.2017
Дата актуализации:05.05.2017
Дата введения:10.10.2016
Дата окончания срока действия:01.06.2017
Область применения:Стандарт содержит описание многофункционального интерфейса в части обмена информацией между функциями управления производством и прочими функциями предприятия. Рассматриваемый интерфейс располагается между производственными системами уровня 3 и коммерческими системами уровня 4 в иерархической модели МЭК 62264-1. Основная цель настоящего стандарта заключается в уменьшении рисков, затрат и ошибок, ассоциированных с практической экземпляром данного интерфейса. Стандарт распространяется на большое количество производственных доменов, требования к которым устанавливаются и в других национальных стандартах. В связи с этим семантика стандарта подготовлена таким образом, что не противоречит требованиям других национальных стандартов и содержит определения множества элементов, содержащихся в многофункциональном интерфейсе, а также определение механизма расширения указанных элементов для их практической реализации. Область применения настоящего стандарта ограничена определением объектных моделей и атрибутов обмениваемой информации, определенных в МЭК 62264-1.
Оглавление:1 Область применения
2 Нормативные ссылки
3 Термины, определения и сокращения
   3.1 Термины и определения
   3.2 Сокращения
4 Модели производственных операций и базовые модели операций
   4.1 Информационные модели
   4.2 Общая информация о моделировании
   4.3 Возможности расширения атрибутов с помощью свойств
   4.4 Структура объектной модели
   4.5 Пояснения к таблицам
   4.6 Соотношения моделей
   4.7 Область применения иерархии
   4.8 Типы значений
5 Общие объектные модели
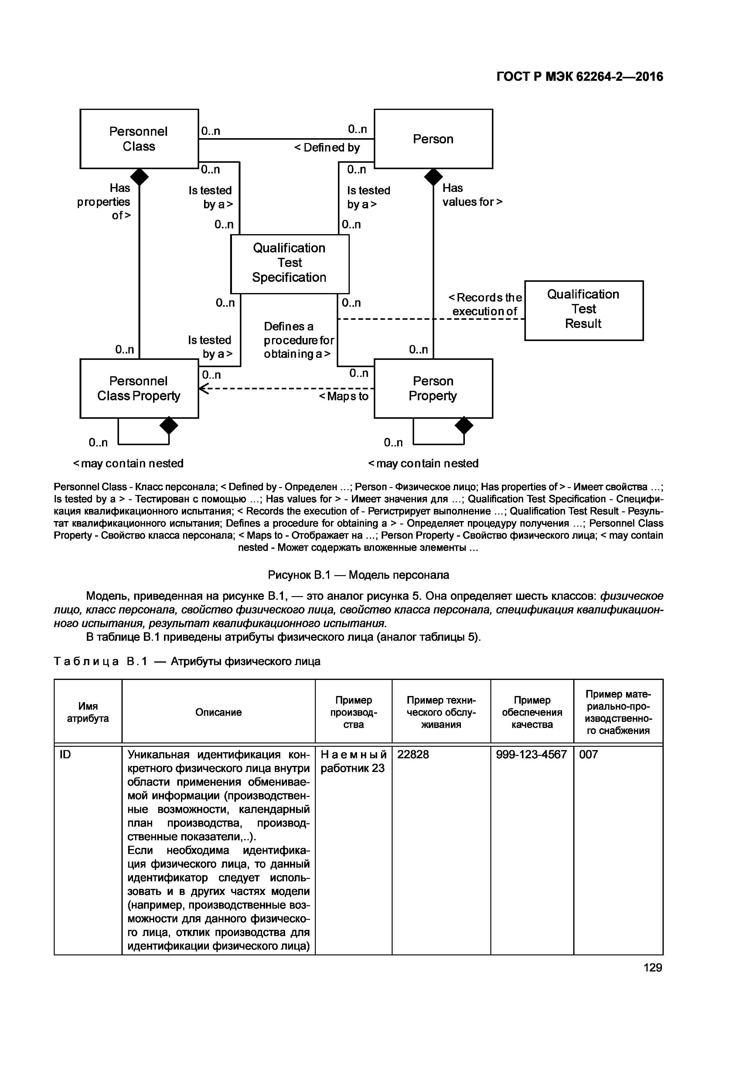
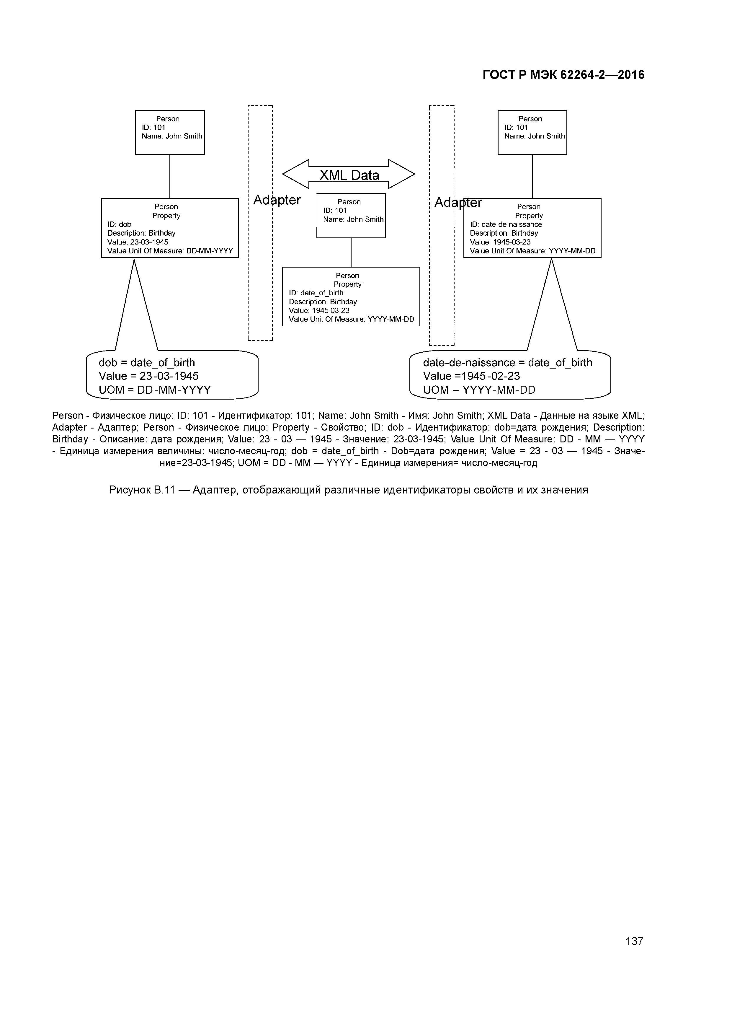
   5.1 Информация о персонале
   5.2 Информация о ролевом оборудовании
   5.3 Информация о физическом активе
   5.4 Информация о материале
   5.5 Информация о сегменте процесса
   5.6 Контейнеры, инструменты и программное обеспечение
6 Информация об управлении производством
   6.1 Информация об определении операции
   6.2 Информация о календарном плане операции
   6.3 Информация о производственных показателях операции
   6.4 Информация о функциональных возможностях операции
   6.5 Информация о функциональных возможностях сегмента процесса
7 Взаимосвязанность объектных моделей
8 Перечень объектов
9 Соответствие
Приложение А (обязательное) Конкретная информация о производстве
Приложение В (справочное) Примеры использования настоящего стандарта
Приложение С (справочное) Примеры наборов данных
Приложение D (справочное) Вопросы (по использованию объекта) и ответы
Приложение Е (справочное) Логический поток информации
Приложение ДА (справочное) Сведения о соответствии ссылочных международных стандартов национальным стандартам
Библиография
Разработан: ООО НИИ Интерэкомс
Утверждён:10.10.2016 Федеральное агентство по техническому регулированию и метрологии (1340-ст)
Издан: Стандартинформ (2016 г. )
Расположен в:Техническая документация Электроэнергия МАШИНОСТРОЕНИЕ Промышленные автоматизированные системы Измерение и контроль производственного процесса Экология МАШИНОСТРОЕНИЕ Промышленные автоматизированные системы Измерение и контроль производственного процесса
Заменяет собой:
Нормативные ссылки:
ГОСТ Р МЭК 62264-2-2016ГОСТ Р МЭК 62264-2-2016ГОСТ Р МЭК 62264-2-2016ГОСТ Р МЭК 62264-2-2016ГОСТ Р МЭК 62264-2-2016ГОСТ Р МЭК 62264-2-2016ГОСТ Р МЭК 62264-2-2016ГОСТ Р МЭК 62264-2-2016ГОСТ Р МЭК 62264-2-2016ГОСТ Р МЭК 62264-2-2016ГОСТ Р МЭК 62264-2-2016ГОСТ Р МЭК 62264-2-2016ГОСТ Р МЭК 62264-2-2016ГОСТ Р МЭК 62264-2-2016ГОСТ Р МЭК 62264-2-2016ГОСТ Р МЭК 62264-2-2016ГОСТ Р МЭК 62264-2-2016ГОСТ Р МЭК 62264-2-2016ГОСТ Р МЭК 62264-2-2016ГОСТ Р МЭК 62264-2-2016ГОСТ Р МЭК 62264-2-2016ГОСТ Р МЭК 62264-2-2016ГОСТ Р МЭК 62264-2-2016ГОСТ Р МЭК 62264-2-2016ГОСТ Р МЭК 62264-2-2016ГОСТ Р МЭК 62264-2-2016ГОСТ Р МЭК 62264-2-2016ГОСТ Р МЭК 62264-2-2016ГОСТ Р МЭК 62264-2-2016ГОСТ Р МЭК 62264-2-2016ГОСТ Р МЭК 62264-2-2016ГОСТ Р МЭК 62264-2-2016ГОСТ Р МЭК 62264-2-2016ГОСТ Р МЭК 62264-2-2016ГОСТ Р МЭК 62264-2-2016ГОСТ Р МЭК 62264-2-2016ГОСТ Р МЭК 62264-2-2016ГОСТ Р МЭК 62264-2-2016ГОСТ Р МЭК 62264-2-2016ГОСТ Р МЭК 62264-2-2016ГОСТ Р МЭК 62264-2-2016ГОСТ Р МЭК 62264-2-2016ГОСТ Р МЭК 62264-2-2016ГОСТ Р МЭК 62264-2-2016ГОСТ Р МЭК 62264-2-2016ГОСТ Р МЭК 62264-2-2016ГОСТ Р МЭК 62264-2-2016ГОСТ Р МЭК 62264-2-2016ГОСТ Р МЭК 62264-2-2016ГОСТ Р МЭК 62264-2-2016ГОСТ Р МЭК 62264-2-2016ГОСТ Р МЭК 62264-2-2016ГОСТ Р МЭК 62264-2-2016ГОСТ Р МЭК 62264-2-2016ГОСТ Р МЭК 62264-2-2016ГОСТ Р МЭК 62264-2-2016ГОСТ Р МЭК 62264-2-2016ГОСТ Р МЭК 62264-2-2016ГОСТ Р МЭК 62264-2-2016ГОСТ Р МЭК 62264-2-2016ГОСТ Р МЭК 62264-2-2016ГОСТ Р МЭК 62264-2-2016ГОСТ Р МЭК 62264-2-2016ГОСТ Р МЭК 62264-2-2016ГОСТ Р МЭК 62264-2-2016ГОСТ Р МЭК 62264-2-2016ГОСТ Р МЭК 62264-2-2016ГОСТ Р МЭК 62264-2-2016ГОСТ Р МЭК 62264-2-2016ГОСТ Р МЭК 62264-2-2016ГОСТ Р МЭК 62264-2-2016ГОСТ Р МЭК 62264-2-2016ГОСТ Р МЭК 62264-2-2016ГОСТ Р МЭК 62264-2-2016ГОСТ Р МЭК 62264-2-2016ГОСТ Р МЭК 62264-2-2016ГОСТ Р МЭК 62264-2-2016ГОСТ Р МЭК 62264-2-2016ГОСТ Р МЭК 62264-2-2016ГОСТ Р МЭК 62264-2-2016ГОСТ Р МЭК 62264-2-2016ГОСТ Р МЭК 62264-2-2016ГОСТ Р МЭК 62264-2-2016ГОСТ Р МЭК 62264-2-2016ГОСТ Р МЭК 62264-2-2016ГОСТ Р МЭК 62264-2-2016ГОСТ Р МЭК 62264-2-2016ГОСТ Р МЭК 62264-2-2016ГОСТ Р МЭК 62264-2-2016ГОСТ Р МЭК 62264-2-2016ГОСТ Р МЭК 62264-2-2016ГОСТ Р МЭК 62264-2-2016ГОСТ Р МЭК 62264-2-2016ГОСТ Р МЭК 62264-2-2016ГОСТ Р МЭК 62264-2-2016ГОСТ Р МЭК 62264-2-2016ГОСТ Р МЭК 62264-2-2016ГОСТ Р МЭК 62264-2-2016ГОСТ Р МЭК 62264-2-2016ГОСТ Р МЭК 62264-2-2016ГОСТ Р МЭК 62264-2-2016ГОСТ Р МЭК 62264-2-2016ГОСТ Р МЭК 62264-2-2016ГОСТ Р МЭК 62264-2-2016ГОСТ Р МЭК 62264-2-2016ГОСТ Р МЭК 62264-2-2016ГОСТ Р МЭК 62264-2-2016ГОСТ Р МЭК 62264-2-2016ГОСТ Р МЭК 62264-2-2016ГОСТ Р МЭК 62264-2-2016ГОСТ Р МЭК 62264-2-2016ГОСТ Р МЭК 62264-2-2016ГОСТ Р МЭК 62264-2-2016ГОСТ Р МЭК 62264-2-2016ГОСТ Р МЭК 62264-2-2016ГОСТ Р МЭК 62264-2-2016ГОСТ Р МЭК 62264-2-2016ГОСТ Р МЭК 62264-2-2016ГОСТ Р МЭК 62264-2-2016ГОСТ Р МЭК 62264-2-2016ГОСТ Р МЭК 62264-2-2016ГОСТ Р МЭК 62264-2-2016ГОСТ Р МЭК 62264-2-2016ГОСТ Р МЭК 62264-2-2016ГОСТ Р МЭК 62264-2-2016ГОСТ Р МЭК 62264-2-2016ГОСТ Р МЭК 62264-2-2016ГОСТ Р МЭК 62264-2-2016ГОСТ Р МЭК 62264-2-2016ГОСТ Р МЭК 62264-2-2016ГОСТ Р МЭК 62264-2-2016ГОСТ Р МЭК 62264-2-2016ГОСТ Р МЭК 62264-2-2016ГОСТ Р МЭК 62264-2-2016ГОСТ Р МЭК 62264-2-2016ГОСТ Р МЭК 62264-2-2016ГОСТ Р МЭК 62264-2-2016ГОСТ Р МЭК 62264-2-2016ГОСТ Р МЭК 62264-2-2016ГОСТ Р МЭК 62264-2-2016ГОСТ Р МЭК 62264-2-2016ГОСТ Р МЭК 62264-2-2016ГОСТ Р МЭК 62264-2-2016ГОСТ Р МЭК 62264-2-2016ГОСТ Р МЭК 62264-2-2016ГОСТ Р МЭК 62264-2-2016ГОСТ Р МЭК 62264-2-2016ГОСТ Р МЭК 62264-2-2016ГОСТ Р МЭК 62264-2-2016ГОСТ Р МЭК 62264-2-2016ГОСТ Р МЭК 62264-2-2016ГОСТ Р МЭК 62264-2-2016ГОСТ Р МЭК 62264-2-2016ГОСТ Р МЭК 62264-2-2016ГОСТ Р МЭК 62264-2-2016ГОСТ Р МЭК 62264-2-2016ГОСТ Р МЭК 62264-2-2016ГОСТ Р МЭК 62264-2-2016ГОСТ Р МЭК 62264-2-2016ГОСТ Р МЭК 62264-2-2016ГОСТ Р МЭК 62264-2-2016ГОСТ Р МЭК 62264-2-2016ГОСТ Р МЭК 62264-2-2016ГОСТ Р МЭК 62264-2-2016ГОСТ Р МЭК 62264-2-2016ГОСТ Р МЭК 62264-2-2016ГОСТ Р МЭК 62264-2-2016ГОСТ Р МЭК 62264-2-2016ГОСТ Р МЭК 62264-2-2016

© 2013 Ёшкин Кот :-) Карта сайта