Информационная система
«Ёшкин Кот»

Скачать базу одним архивом
Скачать обновления
История создания базы
Карта сайта

Скачать ГОСТ ISO/TS 22964-2013 Молоко и молочные продукты. Определение содержания Enterobacter sakazakii

Дата актуализации: 10.08.2017

ГОСТ ISO/TS 22964-2013

Молоко и молочные продукты. Определение содержания Enterobacter sakazakii

Обозначение: ГОСТ ISO/TS 22964-2013
Обозначение англ: 22964-2013
Статус:принят
Название рус.:Молоко и молочные продукты. Определение содержания Enterobacter sakazakii
Название англ.:Milk and milk products. Detection of Enterobacter sakazakii
Дата добавления в базу:01.02.2017
Дата актуализации:05.05.2017
Дата введения:23.09.2016
Дата окончания срока действия:01.07.2017
Область применения:Стандарт устанавливает метод определения бактерий Enterobacter sakazakii в сухом молоке и сухой смеси для детского питания. Метод может применяться также к пробам окружающей среды, отобранным изготовителем сухого молока или смесей для детского питания.
Оглавление:1 Область применения
2 Нормативные ссылки
3 Термины и определения
4 Сущность метода
   4.1 Предварительное обогащение в неселективной жидкой питательной среде
   4.2 Обогащение в селективной жидкой питательной среде
   4.3 Выделение и идентификация
   4.4 Подтверждение
5 Питательные среды и реактивы
   5.1 Общие положения
   5.2 Питательные среды
6 Оборудование и лабораторная посуда
7 Отбор проб
8 Приготовление пробы для испытаний
9 Проведение испытания
   9.1 Навеска
   9.2 Предварительное обогащение
   9.3 Селективное обогащение
   9.4 Выделение презумптивных колоний Enterobacter sakazakii
   9.5 Подтверждение
   9.6 Интерпретация результатов испытаний на подтверждение
10 Контрольные штаммы микрорганизмов
11 Выражение результатов
12 Протокол испытания
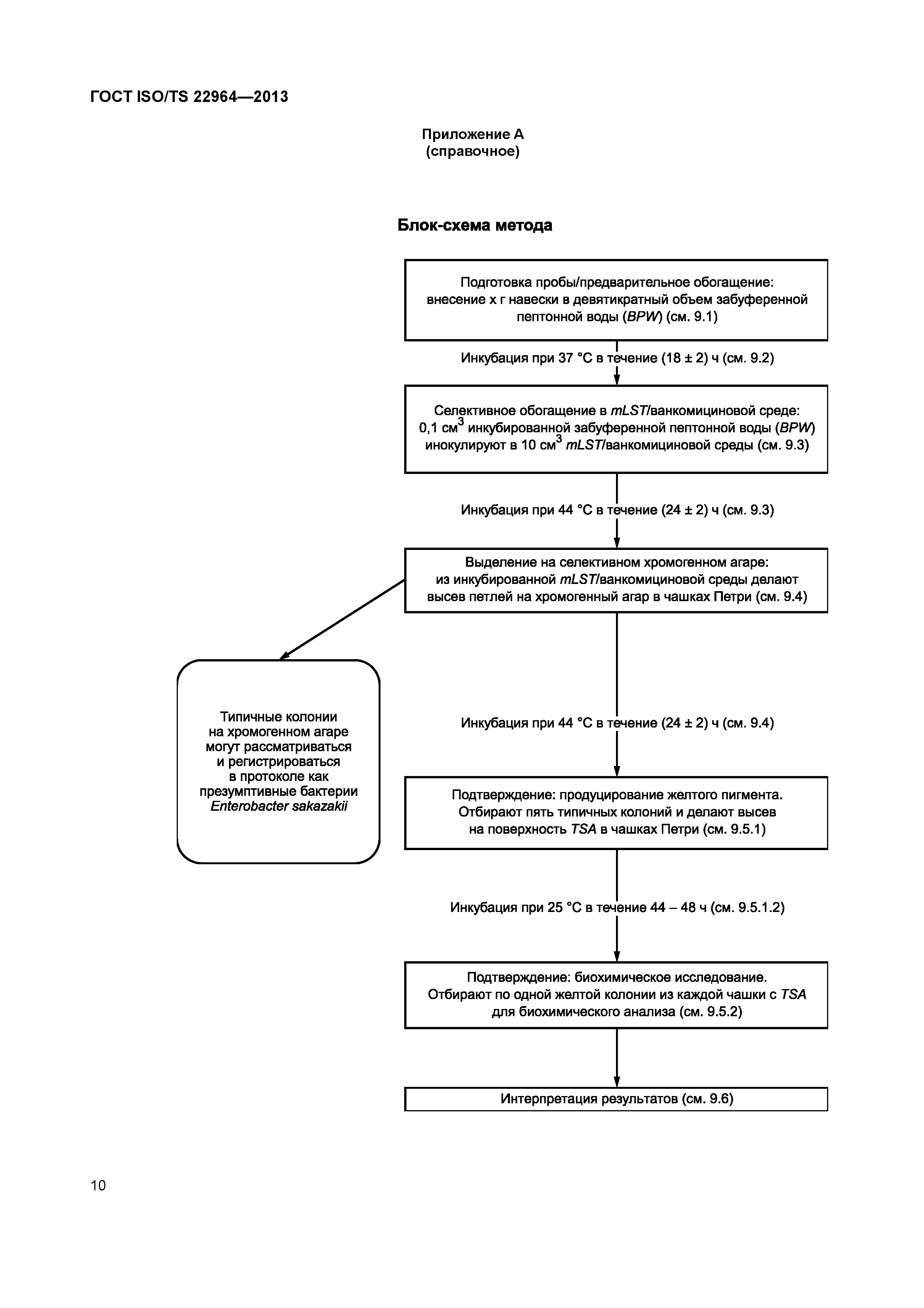
Приложение А (справочное) Блок-схема метода
Приложение ДА (справочное) Сведения о соответствии ссылочных международных стандартов межгосударственным стандартам
Библиография
Разработан: БелГИМ
Утверждён:14.11.2013 Межгосударственный Совет по стандартизации, метрологии и сертификации (Inter-Governmental Council on Standardization, Metrology, and Certification 44)
23.09.2016 Федеральное агентство по техническому регулированию и метрологии (1211-ст)
Издан: Стандартинформ (2016 г. )
Расположен в:Техническая документация Электроэнергия ПРОИЗВОДСТВО ПИЩЕВЫХ ПРОДУКТОВ Молоко и молочные продукты Молоко и молочные продукты в целом МАТЕМАТИКА. ЕСТЕСТВЕННЫЕ НАУКИ Микробиология Пищевая микробиология Экология ПРОИЗВОДСТВО ПИЩЕВЫХ ПРОДУКТОВ Молоко и молочные продукты Молоко и молочные продукты в целом МАТЕМАТИКА. ЕСТЕСТВЕННЫЕ НАУКИ Микробиология Пищевая микробиология
Нормативные ссылки:
ГОСТ ISO/TS 22964-2013ГОСТ ISO/TS 22964-2013ГОСТ ISO/TS 22964-2013ГОСТ ISO/TS 22964-2013ГОСТ ISO/TS 22964-2013ГОСТ ISO/TS 22964-2013ГОСТ ISO/TS 22964-2013ГОСТ ISO/TS 22964-2013ГОСТ ISO/TS 22964-2013ГОСТ ISO/TS 22964-2013ГОСТ ISO/TS 22964-2013ГОСТ ISO/TS 22964-2013ГОСТ ISO/TS 22964-2013ГОСТ ISO/TS 22964-2013ГОСТ ISO/TS 22964-2013ГОСТ ISO/TS 22964-2013

© 2013 Ёшкин Кот :-) Карта сайта