| ||||||||||||||||||||||||||||||||||||
Скачать ГОСТ ISO 13299-2015 Органолептический анализ. Методология. Общее руководство по составлению органолептического профиляДата актуализации: 10.08.2017
|
| Обозначение: | ГОСТ ISO 13299-2015 |
| Обозначение англ: | 13299-2015 |
| Статус: | принят |
| Название рус.: | Органолептический анализ. Методология. Общее руководство по составлению органолептического профиля |
| Название англ.: | Organoleptic analysis. Methodology. General guidance for establishing an organoleptic profile |
| Дата добавления в базу: | 01.02.2017 |
| Дата актуализации: | 05.05.2017 |
| Дата введения: | 28.07.2016 |
| Дата окончания срока действия: | 01.07.2017 |
| Область применения: | Стандарт описывает общий процесс составления органолептического профиля. Органолептические профили составляют для пищевой продукции, и они также могут быть эффективны при проведении исследований когнитивной деятельности и поведения человека. |
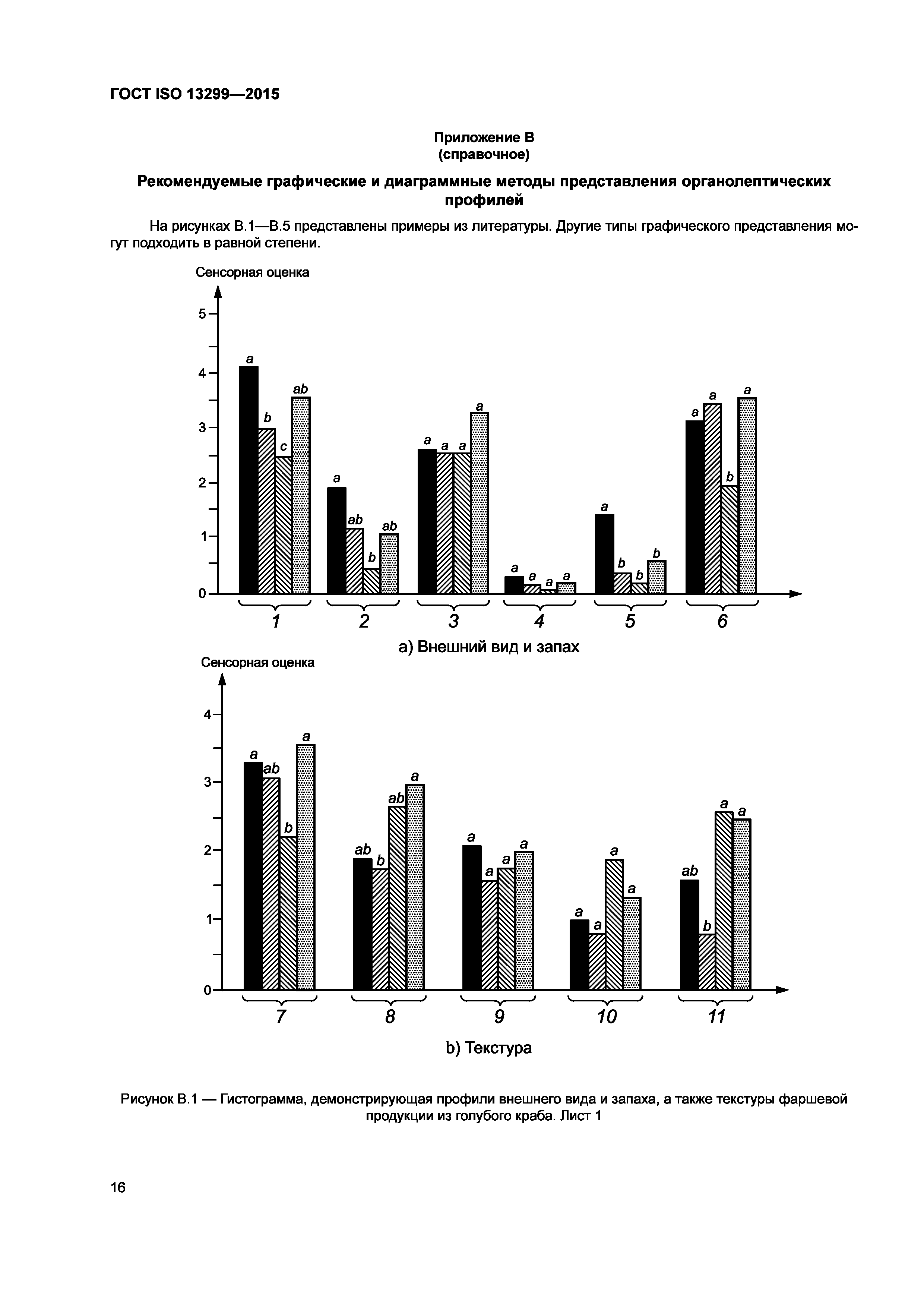
| Оглавление: | 1 Область применения 2 Нормативные ссылки 3 Термины и определения 4 Сущность метода 5 Общие условия испытаний 5.1 Помещение для испытаний 5.2 Оборудование и отбор образцов 5.3 Предварительное обсуждение и испытания 5.4 Количество экспертов 6 Отбор, подготовка и контроль экспертов 7 Методика 7.1 Выбор оптимальных характеристик (дескрипторов) 7.2 Выбор соответствующей шкалы 7.3 Проведение испытаний 7.4 Профиль интенсивности во времени 7.5 Оценка результатов с помощью соответствующих статистических методов 7.6 Составление протокола испытания Приложение А (справочное) Сопоставление восьми образцов колы Приложение В (справочное) Рекомендуемые графические и диаграммные методы представления органолептических профилей Приложение ДА (справочное) Сведения о соответствии ссылочных межгосударственных стандартов международным стандартам Библиография |
| Разработан: | БелГИСС |
| Утверждён: | 27.02.2015 Межгосударственный Совет по стандартизации, метрологии и сертификации (Inter-Governmental Council on Standardization, Metrology, and Certification 75-П) 28.07.2016 Федеральное агентство по техническому регулированию и метрологии (894-ст) |
| Издан: | Стандартинформ (2016 г. ) |
| Расположен в: | |
| Нормативные ссылки: |
|



























