| ||||||||||||||||||||||||||||||||||||
Скачать ГОСТ ISO 10399-2015 Органолептический анализ. Методология. Испытание «дуо-трио»Дата актуализации: 10.08.2017
|
| Обозначение: | ГОСТ ISO 10399-2015 |
| Обозначение англ: | 10399-2015 |
| Статус: | принят |
| Название рус.: | Органолептический анализ. Методология. Испытание «дуо-трио» |
| Название англ.: | Organoleptic analysis. Methodology. Duo-trio test |
| Дата добавления в базу: | 01.02.2017 |
| Дата актуализации: | 05.05.2017 |
| Дата введения: | 28.07.2016 |
| Дата окончания срока действия: | 01.07.2017 |
| Область применения: | Стандарт устанавливает метод определения заметного органолептического различия между образцами двух продуктов или их подобия. В основе метода лежит процедура принудительного выбора. Метод применим независимо от того, существует ли различие между разными продуктами по одной или нескольким характеристикам. Допускается применение настоящего стандарта в тех случаях, когда виды различия между разными продуктами неизвестны (т. е. не устанавливают ни степень проявления различий между продуктами, ни то, какие именно характеристики ответственны за эти различия, ни то, имеются ли какие-либо признаки проявления характеристик, которые обусловливают различие). |
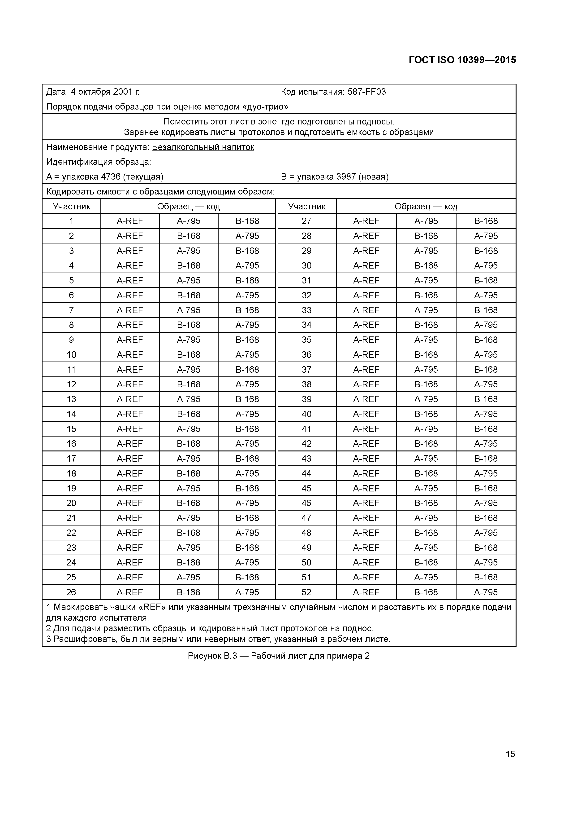
| Оглавление: | 1 Область применения 2 Нормативные ссылки 3 Термины и определения 4 Сущность метода 5 Общие условия проведения испытаний 6 Испытатели 7 Проведение испытаний 8 Анализ и обработка результатов 9 Протокол испытания 10 Прецизионность и смещение Приложение А (обязательное) Таблицы Приложение В (справочное) Примеры Приложение ДА (справочное) Сведения о соответствии ссылочных международных стандартов межгосударственным стандартам Библиография |
| Разработан: | БелГИСС |
| Утверждён: | 27.02.2016 Межгосударственный Совет по стандартизации, метрологии и сертификации (Inter-Governmental Council on Standardization, Metrology, and Certification 75-П) 28.07.2016 Федеральное агентство по техническому регулированию и метрологии (893-ст) |
| Издан: | Стандартинформ (2016 г. ) |
| Расположен в: | |
| Нормативные ссылки: |























