Информационная система
«Ёшкин Кот»

Скачать базу одним архивом
Скачать обновления
История создания базы
Карта сайта

Скачать ГОСТ 3193-2015 Сетки катализаторные из сплавов на основе платины. Технические условия

Дата актуализации: 10.08.2017

ГОСТ 3193-2015

Сетки катализаторные из сплавов на основе платины. Технические условия

Обозначение: ГОСТ 3193-2015
Обозначение англ: GOST 3193-2015
Статус:взамен
Название рус.:Сетки катализаторные из сплавов на основе платины. Технические условия
Название англ.:Platinum base alloys catalytic gauzes. Specifications
Дата добавления в базу:01.02.2017
Дата актуализации:05.05.2017
Дата введения:01.01.2017
Область применения:Стандарт распространяется на тканые и вязаные катализаторные сетки из сплавов на основе платины, применяемые в химической промышленности в качестве катализаторов.
Оглавление:1 Область применения
2 Нормативные ссылки
3 Термины и определения
4 Классификация
5 Технические требования
   5.1 Основные показатели и характеристики
   5.2 Маркировка, упаковка
6 Правила приемки
7 Методы контроля
8 Транспортирование и хранение
9 Указания по эксплуатации
10 Гарантии изготовителя
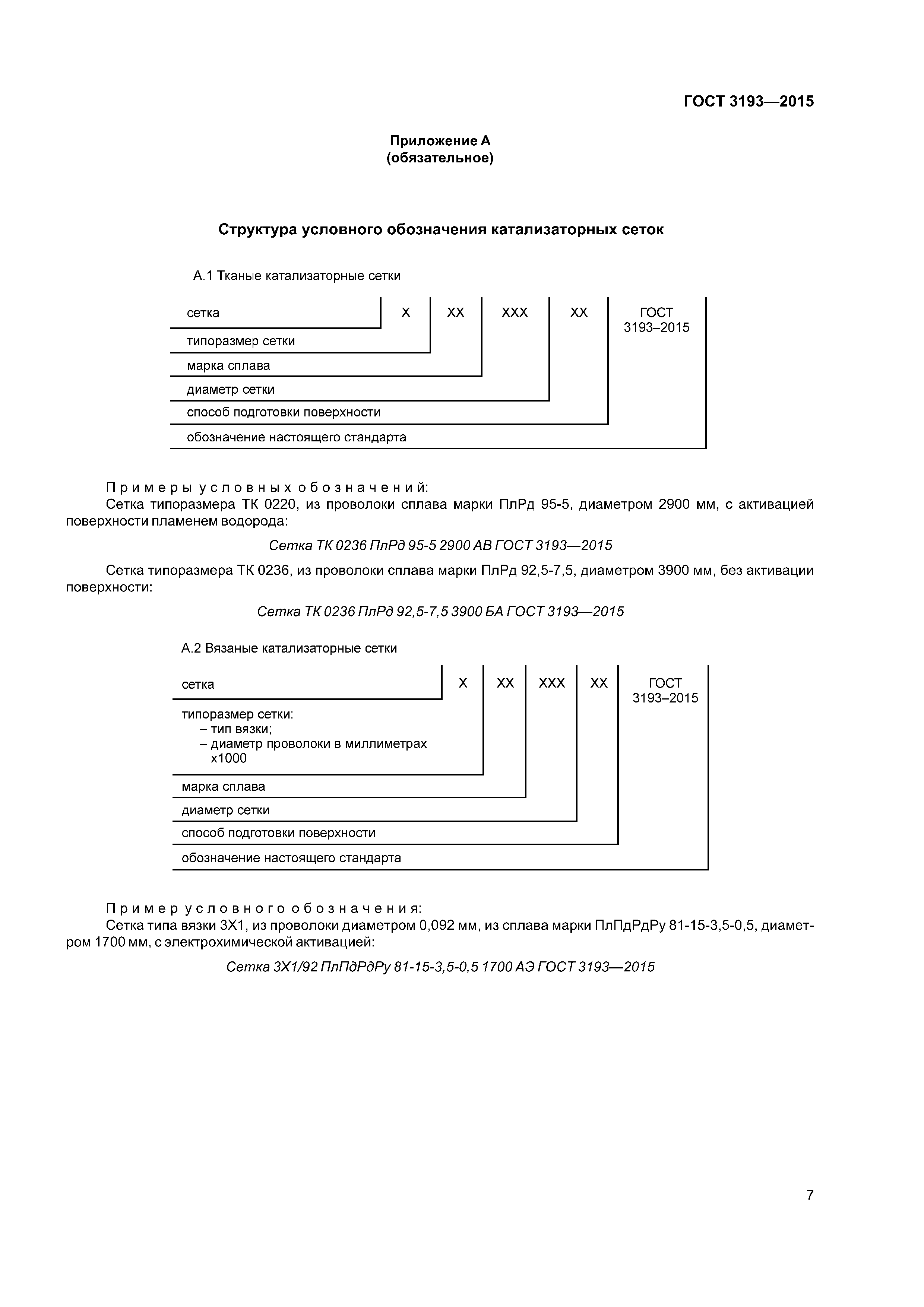
Приложение А (обязательное) Структура условного обозначения катализаторных сеток
Приложение Б (справочное) Удельная поверхность катализаторных сеток
Приложение В (справочное) Расчетная масса 1 дм2 катализаторных сеток (свойства)
Разработан: МТК 304 Благородные металлы, сплавы и промышленные изделия из них
АО Екатеринбургский завод по обработке цветных металлов
Утверждён:27.10.2015 Межгосударственный Совет по стандартизации, метрологии и сертификации (Inter-Governmental Council on Standardization, Metrology, and Certification 81-П)
03.06.2016 Федеральное агентство по техническому регулированию и метрологии (514-ст)
Издан: Стандартинформ (2016 г. )
Расположен в:Техническая документация Электроэнергия МЕТАЛЛУРГИЯ Продукция из цветных металлов Продукция из цветных металлов прочая Экология МЕТАЛЛУРГИЯ Продукция из цветных металлов Продукция из цветных металлов прочая
Заменяет собой:
Нормативные ссылки:
ГОСТ 3193-2015ГОСТ 3193-2015ГОСТ 3193-2015ГОСТ 3193-2015ГОСТ 3193-2015ГОСТ 3193-2015ГОСТ 3193-2015ГОСТ 3193-2015ГОСТ 3193-2015ГОСТ 3193-2015ГОСТ 3193-2015ГОСТ 3193-2015ГОСТ 3193-2015ГОСТ 3193-2015

© 2013 Ёшкин Кот :-) Карта сайта