| ||||||||||||||||||||||||||||||||
Скачать ГОСТ Р ИСО/HL7 27932-2015 Информатизация здоровья. Стандарты обмена данными. Архитектура клинических документов HL7. Выпуск 2Дата актуализации: 10.08.2017
|
| Обозначение: | ГОСТ Р ИСО/HL7 27932-2015 |
| Обозначение англ: | 27932-2015 |
| Статус: | введен впервые |
| Название рус.: | Информатизация здоровья. Стандарты обмена данными. Архитектура клинических документов HL7. Выпуск 2 |
| Название англ.: | Health informatics. Data exchange standards HL7. Clinical document architecture. Release 2 |
| Дата добавления в базу: | 01.02.2017 |
| Дата актуализации: | 05.05.2017 |
| Дата введения: | 01.11.2016 |
| Область применения: | Областью применения архитектуры клинических документов (АКД) является стандартизация клинических документов для целей обмена. Формат данных клинических документов за пределами контекста обмена (например, используемый для хранения клинических документов) в стандарте не затрагивается. |
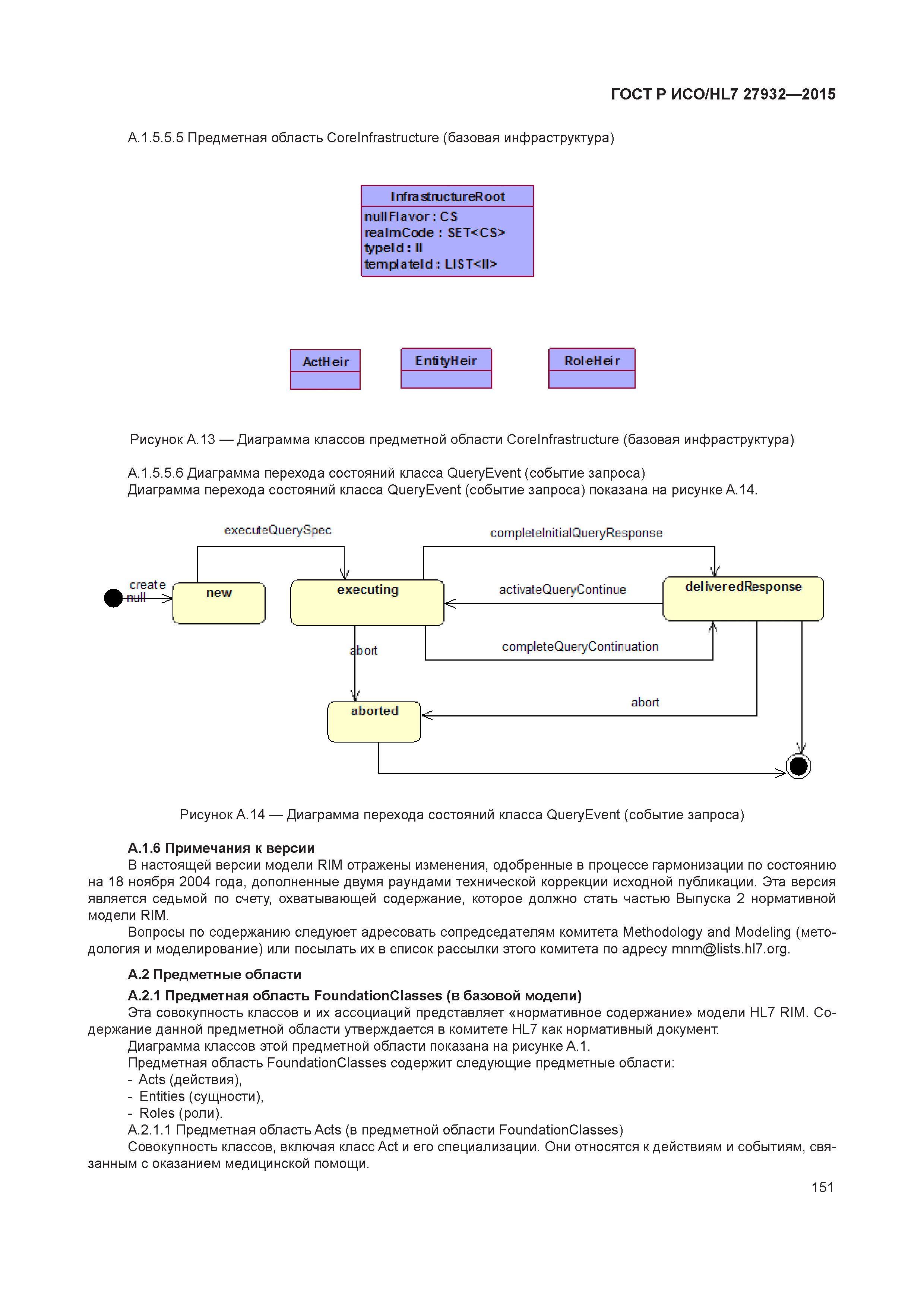
| Оглавление: | 1 Область применения 2 Нормативные ссылки 3 Термины и определения 4 Сокращения 5 Архитектура клинических документов HL7, выпуск 2 5.1 Обзор АКД 5.2 Введение в технические артефакты АКД 5.3 Передача АКД-документов в сообщениях HL7 5.4 Модель АКД R-MIM 5.5 Иерархическое описание структуры АКД-документов 5.6 Реализация АКД на языке XML 5.7 Примеры 5.8 Указания по реализации 6 Иерархическое описание АКД-документов и графическое представление модели R-MIM 6.1 Иерархическое описание АКД-документов (POCD_HD000040) 6.2 Графическое представление модели АКД R-MIM Приложение А (справочное) Эталонная информационная модель HL7 Приложение В (справочное) Типы данных. Абстрактная спецификация Приложение С (справочное) Словарные домены HL7 Приложение D (справочное) Опечатки в АКД, выпуск 2 (по состоянию на 20 января 2009 г.) Приложение Е (справочное) Примеры АКД-документов Приложение F (справочное) XML-схемы Приложение G (справочное) Руководство по стандартам HL7, версия 3 Приложение ДА (справочное) Сведения о соответствии ссылочных международных стандартов национальным стандартам Российской Федерации |
| Разработан: | ФГБУ ЦНИИОИЗ Минздрава ФБУ Консультационно-внедренческая фирма в области международной стандартизации и сертификации - Фирма ИНТЕРСТАНДАРТ |
| Утверждён: | 28.12.2015 Федеральное агентство по техническому регулированию и метрологии (2224-ст) |
| Издан: | Стандартинформ (2016 г. ) |
| Расположен в: |




































































































































































































































































































































































































































































































































































































