| ||||||||||||||||||||||||||||||||||
Скачать ГОСТ Р 56893-2016 Стерилизация медицинской продукции. Влажное тепло. Часть 2. Руководство по применению ИСО 17665-1Дата актуализации: 10.08.2017
|
| Обозначение: | ГОСТ Р 56893-2016 |
| Обозначение англ: | GOST R 56893-2016 |
| Статус: | введен впервые |
| Название рус.: | Стерилизация медицинской продукции. Влажное тепло. Часть 2. Руководство по применению ИСО 17665-1 |
| Название англ.: | Sterilization of health care products. Moist heat. Part 2. Guidance on the application of ISO 17665-1 |
| Дата добавления в базу: | 01.02.2017 |
| Дата актуализации: | 05.05.2017 |
| Дата введения: | 01.03.2017 |
| Область применения: | Данная техническая спецификация обеспечивает общее руководство при разработке, валидации и текущем контроле процессов стерилизации влажным теплом и предназначена для разъяснения требований, изложенных в стандарте ИСО 17665-1. Указания, приведенные в настоящей технической спецификации, предназначены для продвижения правильных практик, имеющих отношение к процессам стерилизации влажным теплом и для оказания помощи тем, кто разрабатывает и валидирует процессы стерилизации влажным теплом в соответствии с требованиями стандарта ИСО 17665-1. |
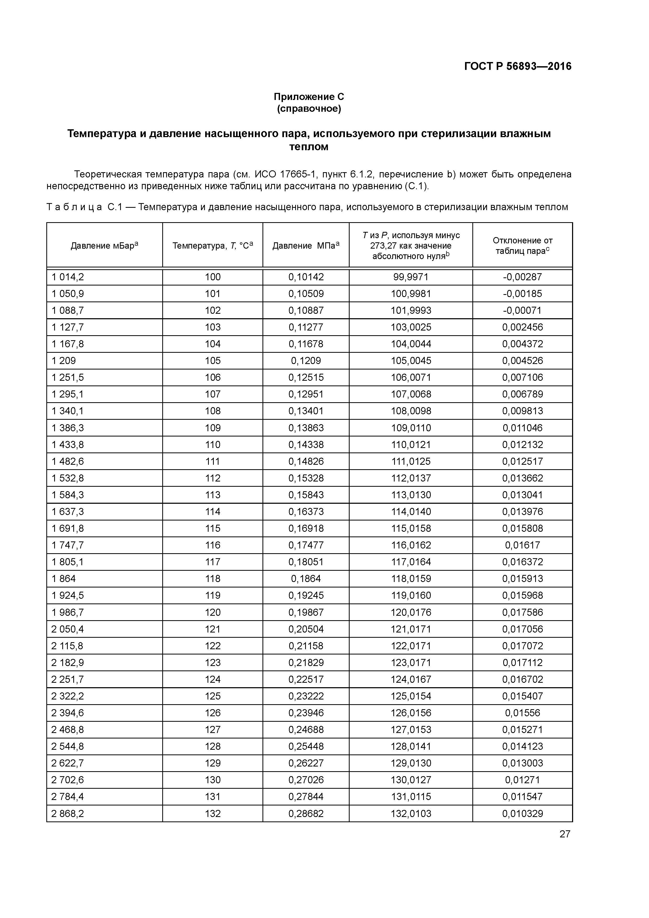
| Оглавление: | 1 Область применения 2 Нормативные ссылки 3 Термины и определения 4 Элементы системы менеджмента качества 5 Описание стерилизующего агента 5.1 Стерилизующий агент 5.2 Микробоцидная эффективность 5.3 Воздействие на материалы 5.4 Экологические факторы 6 Описание процесса и оборудования 6.1 Процесс 6.2 Оборудование 7 Определение продукта 8 Определение процесса 9 Валидация 9.1 Общая информация 9.2 Аттестация монтажа (IQ) 9.3 Аттестация функционирования (OQ) 9.4 Аттестация эксплуатируемого оборудования (PQ) 9.5 Анализ и утверждение валидации 10 Текущий мониторинг и контроль 11 Выпуск продукции после стерилизации 12 Поддержание эффективности процесса 12.1 Демонстрация непрерывной эффективности 12.2 Повторная калибровка 12.3 Техническое обслуживание оборудования 12.4 Переаттестация 12.5 Оценка изменений Приложение А (справочное) Оценка процесса стерилизации, базирующаяся в первую очередь на измерении физических параметров Приложение В (справочное) Оценка процесса стерилизации, основанная в первую очередь на биологической инактивации и сопровождающей процедуре механического удаления воздуха Приложение С (справочное) Температура и давление насыщенного пара, используемого при стерилизации влажным теплом Приложение D (справочное) Особые соображения по процессам, используемым в области здравоохранения Приложение Е (справочное) Указатель нормативных статей и параграфов ИСО 17665-1 и цитируемых ссылок или соответствующих указаний, имеющихся в ИСО 17665-1 и в документе ИСО/ТС 17665-2 Приложение ДА (справочное) Сведения о соответствии ссылочных международных стандартов национальным стандартам Российской Федерации Библиография |
| Разработан: | ООО ФАРМСТЕР |
| Утверждён: | 17.03.2016 Федеральное агентство по техническому регулированию и метрологии (157-ст) |
| Издан: | Стандартинформ (2016 г. ) |
| Расположен в: | |
| Нормативные ссылки: |













































