| ||||||||||||||||||||||||||
Скачать Административный регламент по предоставлению Федеральной службой по аккредитации государственной услуги по аттестации экспертов по аккредитации, внесению изменений в сведения реестра экспертов по аккредитации, предоставлению сведений из реестра экспертов по аккредитацииДата актуализации: 10.08.2017 |
| Статус: | действует |
| Название рус.: | Административный регламент по предоставлению Федеральной службой по аккредитации государственной услуги по аттестации экспертов по аккредитации, внесению изменений в сведения реестра экспертов по аккредитации, предоставлению сведений из реестра экспертов по аккредитации |
| Дата добавления в базу: | 01.02.2017 |
| Дата актуализации: | 05.05.2017 |
| Дата введения: | 22.02.2016 |
| Область применения: | Административный регламент по предоставлению Федеральной службой по аккредитации государственной услуги по аттестации экспертов по аккредитации, внесению изменений в сведения реестра экспертов по аккредитации, предоставлению сведений из реестра экспертов по аккредитации определяет сроки и последовательность административных процедур (действий) Федеральной службы по аккредитации, ее территориальных органов, структурных подразделений и должностных лиц при взаимодействии с заявителями в процессе предоставления государственной услуги по аттестации экспертов по аккредитации, внесению изменений в сведения реестра экспертов по аккредитации, предоставлению сведений из реестра экспертов по аккредитации |
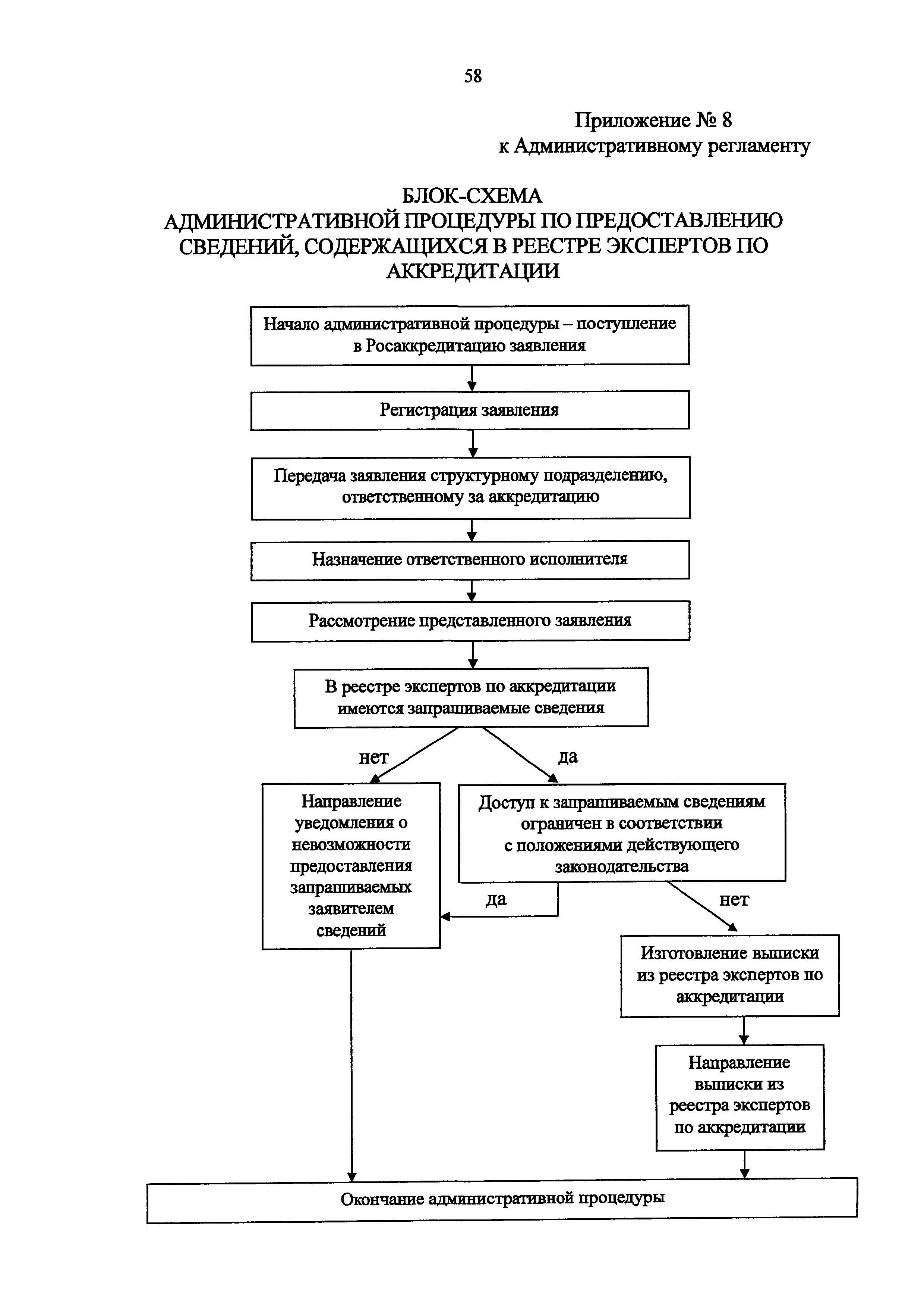
| Оглавление: | I. Общие положения II. Стандарт предоставления государственной услуги III. Состав, последовательность и сроки выполнения административных процедур (действий), требования к порядку их выполнения, в том числе особенности выполнения административных процедур (действий) в электронной форме IV. Формы контроля за исполнением Административного регламента V. Досудебный (внесудебный) порядок обжалования решений и действий (бездействия) Росаккредитации, а также должностных лиц Росаккредитации Приложение № 1 Приложение № 2 Приложение № 3 Приложение № 4 Приложение № 5 Приложение № 6 Приложение № 7 Приложение № 8 |
| Утверждён: | 27.07.2015 Министерство экономического развития РФ (501) |
| Издан: | Официальный интернет-портал правовой информации (www.pravo.gov.ru) (от 11.02.2016 г. Номер опубликования: 0001201602110016) |
| Расположен в: | |
| Нормативные ссылки: |
|



























































