| ||||||||||||||||||||||||||||||||||
Скачать ГОСТ Р 56769-2015 Здания и сооружения. Оценка звукоизоляции воздушного шумаДата актуализации: 10.08.2017
|
| Обозначение: | ГОСТ Р 56769-2015 |
| Обозначение англ: | GOST R 56769-2015 |
| Статус: | введен впервые |
| Название рус.: | Здания и сооружения. Оценка звукоизоляции воздушного шума |
| Название англ.: | Buildings and constructions. Rating of airborne sound insulation |
| Дата добавления в базу: | 01.02.2017 |
| Дата актуализации: | 05.05.2017 |
| Дата введения: | 01.06.2016 |
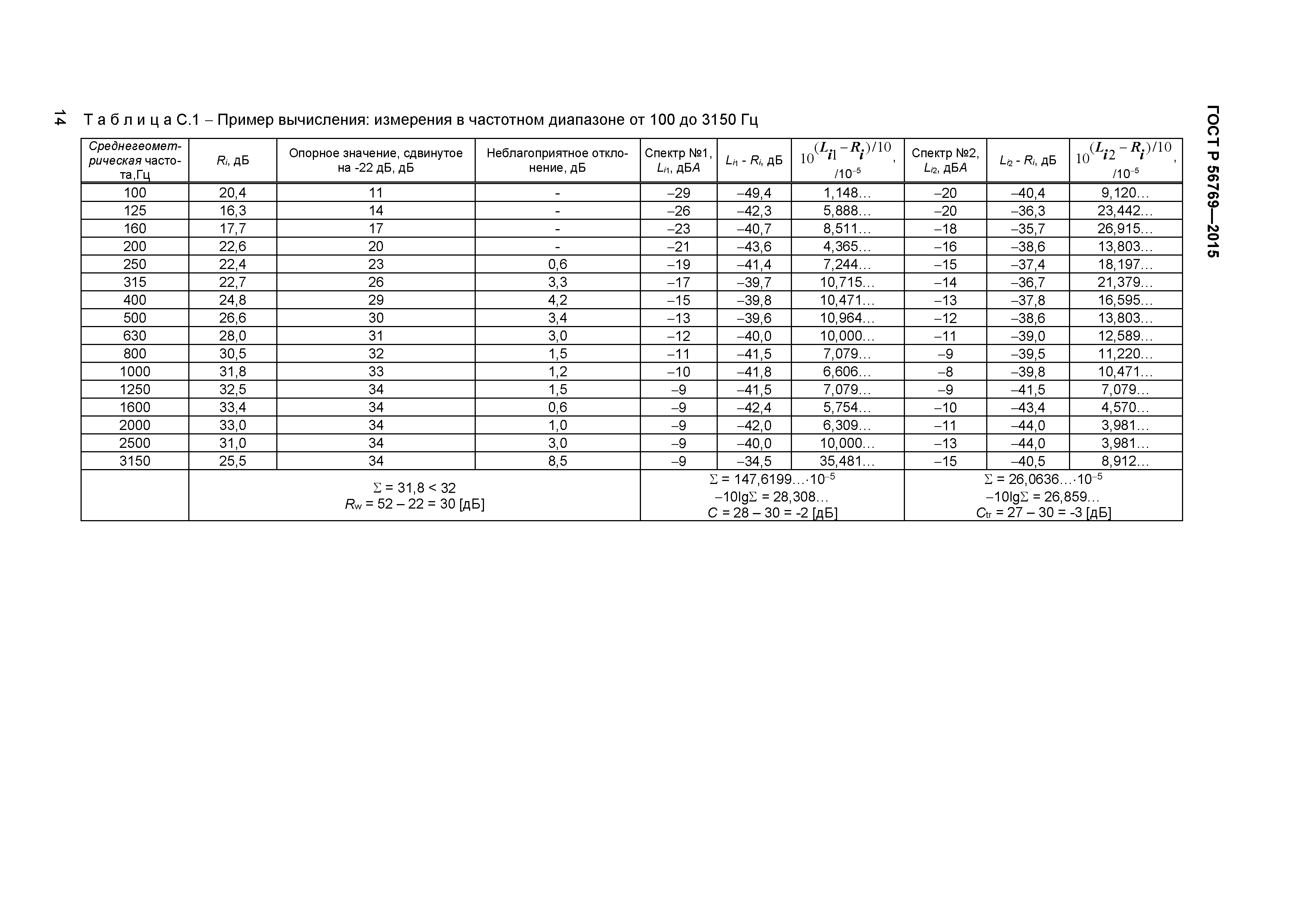
| Область применения: | Стандарт: а) определяет одночисловые параметры изоляции воздушного шума в зданиях и элементами зданий, такими как стены, полы, двери и окна; b) учитывает различные спектры разнообразных источников шума, расположенных внутри и снаружи здания; c) устанавливает правила определения одночисловых параметров по результатам измерений, выполненных в третьоктавных или октавных полосах частот в соответствии с ГОСТ Р ИСО 10140-2 и ГОСТ 27296. |
| Оглавление: | 1 Область применения 2 Нормативные ссылки 3 Термины и определения 4 Метод оценки одночисловых параметров 5 Представление результатов Приложение А (рекомендуемое) Применение членов спектральной адаптации Приложение В (рекомендуемое) Представления и спектры для расширенного диапазона частот Приложение С (справочное) Примеры вычисления одночисловых параметров и членов спектральной адаптации Библиография |
| Разработан: | ФГБУ НИИСФ РААСН |
| Утверждён: | 26.11.2015 Федеральное агентство по техническому регулированию и метрологии (1986-ст) |
| Издан: | Стандартинформ (2016 г. ) |
| Расположен в: | |
| Нормативные ссылки: |
|



















