| ||||||||||||||||||||||||||||||||||
Скачать ГОСТ Р ИСО 11898-1-2015 Транспорт дорожный. Местная контроллерная сеть (CAN). Часть 1. Канальный уровень и передача сигналовДата актуализации: 10.08.2017
|
| Обозначение: | ГОСТ Р ИСО 11898-1-2015 |
| Обозначение англ: | GOST R ISO 11898-1-2015 |
| Статус: | введен впервые |
| Название рус.: | Транспорт дорожный. Местная контроллерная сеть (CAN). Часть 1. Канальный уровень и передача сигналов |
| Название англ.: | Road vehicles. Controller area network (CAN). Part 1. Data link layer and physical signalling |
| Дата добавления в базу: | 01.02.2017 |
| Дата актуализации: | 05.05.2017 |
| Дата введения: | 01.08.2016 |
| Область применения: | Стандарт определяет канальный уровень (DLL) и уровень физической передачи сигналов сети контроллеров (CAN). |
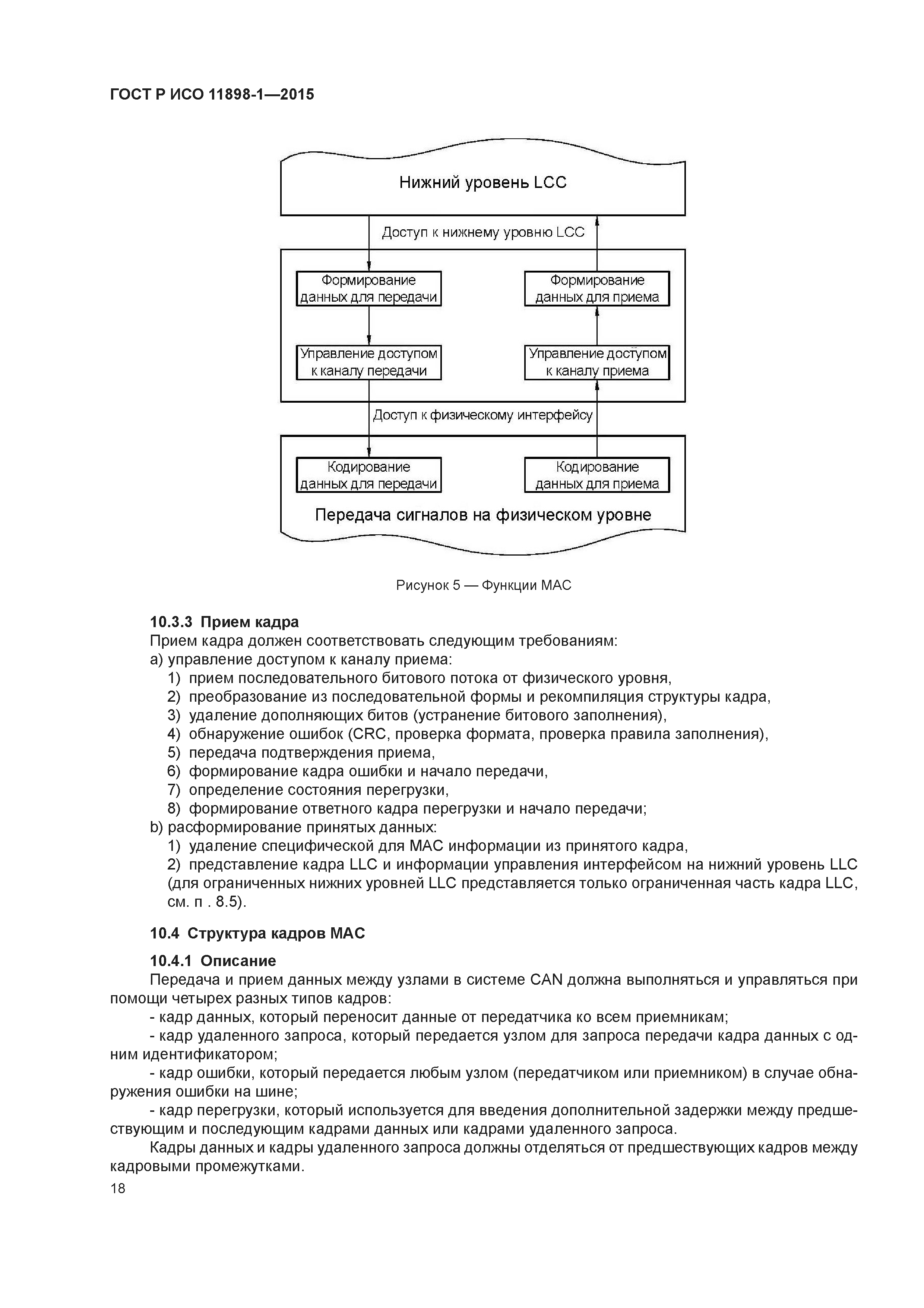
| Оглавление: | 1 Обзор 2 Соответствие требованиям 3 Нормативные ссылки 4 Термины и определения 5 Сокращения 6 Основные понятия CAN 6.1 Свойства CAN 6.2 Кадры 6.3 Метод доступа к шине 6.4 Передача информации 6.5 Универсальность системы. 6.6 Целостность данных 6.7 Удаленный запрос данных.. 6.8 Обнаружение ошибок 6.9 Сигнализация об ошибках и время восстановления 6.10 Подтверждение приема (АСК) 6.11 Автоматический повтор передачи 6.12 Локализация ошибок 6.13 Активность при ошибках 6.14 Пассивность при ошибках 6.15 Отключение от шины 7 Иерархическая архитектура CAN 7.1 Соответствие модели взаимосвязи открытых систем (ВОС) 7.2 Технические характеристики протокола 7.3 Описание формата служб 7.4 Интерфейс LLC 8 Описание нижнего уровня LLC 8.1 Общие сведения 8.2 Службы нижнего уровня LLC 8.3 Функции нижнего уровня LLC 8.4 Структура кадров LLC 8.5 Ограниченные кадры LLC 9 Интерфейс LLC - MAC 9.1 Службы 9.2 Опция ТТС 10 Описание нижнего уровня МАС 10.1 Общие сведения 10.2 Службы нижнего уровня МАС 10.3 Функциональная модель нижнего уровня МАС 10.4 Структура кадров МАС 10.5 Кодирование кадра 10.6 Порядок передачи битов 10.7 Подтверждение кадра 10.8 доступ к каналу связи 10.9 Обнаружение ошибок 10.10 Сигнализация об ошибках 10.11 Сигнализация о перегрузке 10.12 Мониторинг шины 11 Технические требования к нижним уровням LLC и МАС 12 Физический уровень 12.1 Общие сведения 12.2 Функциональная модель 12.3 Службы физического уровня 12.4 Параметры нижнего уровня РLS 12.5 Параметры интерфейса РLS—РМА 13 Описание супервайзера 13.1 Предотвращение ошибок 13.2 Управление отказами на шине Библиография Приложение ДА (справочное) Сведение о соответствии ссылочного международного стандарта национальному стандарту Российской Федерации |
| Разработан: | МАДИ |
| Утверждён: | 06.11.2015 Федеральное агентство по техническому регулированию и метрологии (1711-ст) |
| Издан: | Стандартинформ (2016 г. ) |
| Расположен в: | |
| Нормативные ссылки: |









































