Информационная система
«Ёшкин Кот»

Скачать базу одним архивом
Скачать обновления
История создания базы
Карта сайта

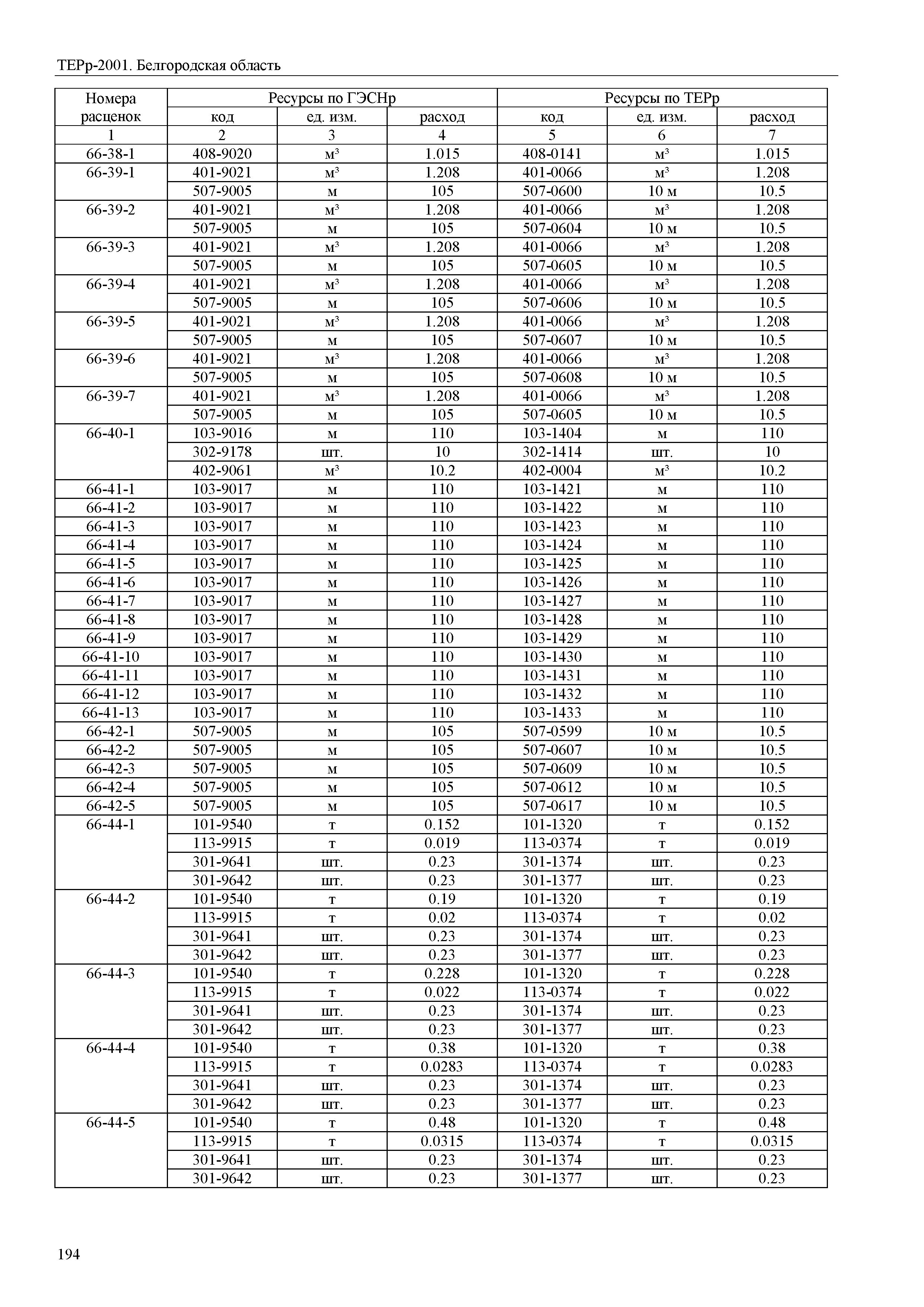
Скачать ТЕРр Белгородская область 81-04-65-2001 Раздел 65. Внутренние санитарно-технические работы (редакция 2014 года)

Дата актуализации: 10.08.2017

ТЕРр Белгородская область 81-04-65-2001

Раздел 65. Внутренние санитарно-технические работы (редакция 2014 года)

Обозначение: ТЕРр Белгородская область 81-04-65-2001
Обозначение англ: 81-04-65-2001
Статус:действует
Название рус.:Раздел 65. Внутренние санитарно-технические работы (редакция 2014 года)
Дата добавления в базу:12.02.2016
Дата актуализации:05.05.2017
Область применения:Территориальные единичные расценки на ремонтно-строительные работы предназначены для определения затрат при выполнении ремонтно-строительные работы и составления на их основе сметных расчетов (смет) на производство указанных работ
Оглавление:Раздел 65. Внутренние санитарно-технические работы
Утверждён:31.12.2014 Министерство строительства и жилищно-коммунального хозяйства Российской Федерации (937/пр)
Расположен в:Техническая документация Экология СТРОИТЕЛЬНЫЕ МАТЕРИАЛЫ И СТРОИТЕЛЬСТВО Строительная промышленность Стоимость строительства и обслуживания зданий и сооружений -50 Стоимость строительных и строительно-монтажных работ Строительство Нормативные документы Нормативные документы субъектов Российской Федерации Нормативные документы Белгородской области Документы Системы нормативных документов в строительстве Нормативные документы по экономике к.81 Ценообразование и сметы Классификатор ISO Нормативные документы по экономике Ценообразование и сметы
ТЕРр Белгородская область 81-04-65-2001ТЕРр Белгородская область 81-04-65-2001ТЕРр Белгородская область 81-04-65-2001ТЕРр Белгородская область 81-04-65-2001ТЕРр Белгородская область 81-04-65-2001ТЕРр Белгородская область 81-04-65-2001ТЕРр Белгородская область 81-04-65-2001ТЕРр Белгородская область 81-04-65-2001ТЕРр Белгородская область 81-04-65-2001ТЕРр Белгородская область 81-04-65-2001ТЕРр Белгородская область 81-04-65-2001ТЕРр Белгородская область 81-04-65-2001ТЕРр Белгородская область 81-04-65-2001ТЕРр Белгородская область 81-04-65-2001ТЕРр Белгородская область 81-04-65-2001ТЕРр Белгородская область 81-04-65-2001ТЕРр Белгородская область 81-04-65-2001ТЕРр Белгородская область 81-04-65-2001ТЕРр Белгородская область 81-04-65-2001ТЕРр Белгородская область 81-04-65-2001ТЕРр Белгородская область 81-04-65-2001ТЕРр Белгородская область 81-04-65-2001ТЕРр Белгородская область 81-04-65-2001ТЕРр Белгородская область 81-04-65-2001ТЕРр Белгородская область 81-04-65-2001ТЕРр Белгородская область 81-04-65-2001ТЕРр Белгородская область 81-04-65-2001ТЕРр Белгородская область 81-04-65-2001ТЕРр Белгородская область 81-04-65-2001ТЕРр Белгородская область 81-04-65-2001ТЕРр Белгородская область 81-04-65-2001ТЕРр Белгородская область 81-04-65-2001ТЕРр Белгородская область 81-04-65-2001ТЕРр Белгородская область 81-04-65-2001ТЕРр Белгородская область 81-04-65-2001ТЕРр Белгородская область 81-04-65-2001ТЕРр Белгородская область 81-04-65-2001ТЕРр Белгородская область 81-04-65-2001ТЕРр Белгородская область 81-04-65-2001ТЕРр Белгородская область 81-04-65-2001ТЕРр Белгородская область 81-04-65-2001ТЕРр Белгородская область 81-04-65-2001ТЕРр Белгородская область 81-04-65-2001ТЕРр Белгородская область 81-04-65-2001ТЕРр Белгородская область 81-04-65-2001ТЕРр Белгородская область 81-04-65-2001ТЕРр Белгородская область 81-04-65-2001ТЕРр Белгородская область 81-04-65-2001ТЕРр Белгородская область 81-04-65-2001ТЕРр Белгородская область 81-04-65-2001ТЕРр Белгородская область 81-04-65-2001ТЕРр Белгородская область 81-04-65-2001ТЕРр Белгородская область 81-04-65-2001ТЕРр Белгородская область 81-04-65-2001ТЕРр Белгородская область 81-04-65-2001ТЕРр Белгородская область 81-04-65-2001ТЕРр Белгородская область 81-04-65-2001ТЕРр Белгородская область 81-04-65-2001ТЕРр Белгородская область 81-04-65-2001ТЕРр Белгородская область 81-04-65-2001ТЕРр Белгородская область 81-04-65-2001ТЕРр Белгородская область 81-04-65-2001ТЕРр Белгородская область 81-04-65-2001ТЕРр Белгородская область 81-04-65-2001ТЕРр Белгородская область 81-04-65-2001ТЕРр Белгородская область 81-04-65-2001ТЕРр Белгородская область 81-04-65-2001ТЕРр Белгородская область 81-04-65-2001ТЕРр Белгородская область 81-04-65-2001ТЕРр Белгородская область 81-04-65-2001ТЕРр Белгородская область 81-04-65-2001ТЕРр Белгородская область 81-04-65-2001ТЕРр Белгородская область 81-04-65-2001ТЕРр Белгородская область 81-04-65-2001ТЕРр Белгородская область 81-04-65-2001ТЕРр Белгородская область 81-04-65-2001ТЕРр Белгородская область 81-04-65-2001ТЕРр Белгородская область 81-04-65-2001ТЕРр Белгородская область 81-04-65-2001ТЕРр Белгородская область 81-04-65-2001ТЕРр Белгородская область 81-04-65-2001ТЕРр Белгородская область 81-04-65-2001ТЕРр Белгородская область 81-04-65-2001ТЕРр Белгородская область 81-04-65-2001ТЕРр Белгородская область 81-04-65-2001ТЕРр Белгородская область 81-04-65-2001ТЕРр Белгородская область 81-04-65-2001ТЕРр Белгородская область 81-04-65-2001

© 2013 Ёшкин Кот :-) Карта сайта