| ||||||||||||||||||||||||||||||||||
Скачать ГОСТ ISO 8178-9-2014 Двигатели внутреннего сгорания поршневые. Измерение выброса продуктов сгорания. Часть 9. Испытательные циклы и методы стендовых измерений дымности отработавших газов на переходных режимахДата актуализации: 10.08.2017
|
| Обозначение: | ГОСТ ISO 8178-9-2014 |
| Обозначение англ: | 8178-9-2014 |
| Статус: | введен впервые |
| Название рус.: | Двигатели внутреннего сгорания поршневые. Измерение выброса продуктов сгорания. Часть 9. Испытательные циклы и методы стендовых измерений дымности отработавших газов на переходных режимах |
| Название англ.: | Reciprocating internal combustion engines. Exhaust emission measurement. Part 9. Test cycles and test procedures for test bed measurement of exhaust gas smoke emissions from compression ignition engines operating under transient conditions |
| Дата добавления в базу: | 12.02.2016 |
| Дата актуализации: | 05.05.2017 |
| Дата введения: | 01.01.2016 |
| Область применения: | Стандарт распространяется на поршневые двигатели внутреннего сгорания с воспламенением от сжатия и устанавливает методы измерений и испытательные циклы, применяемые для оценки дымности отработавших газов двигателей в стендовых условиях на переходных режимах. Измерения на переходных режимах производятся с помощью оптических дымомеров - приборов, основанных на оценке степени ослабления светового потока. Требования к приборам для измерения дымности, основанных на оценке степени ослабления светового потока, изложены в ISO 11614. Стандарт допускается использовать для оценки дымности двигателя с учетом его применения только при условии подходящего испытательного цикла. Есть ряд категорий двигателей внедорожной техники, для которых применение стендовых методов оказывается невозможным, для них должны использоваться методы контроля дымности в условиях эксплуатации. Для двигателей машин, к которым предъявляются специальные требования (например, отраслевые правила охраны труда и техники безопасности), могут задаваться дополнительные условия испытаний и специальные методы оценки. |
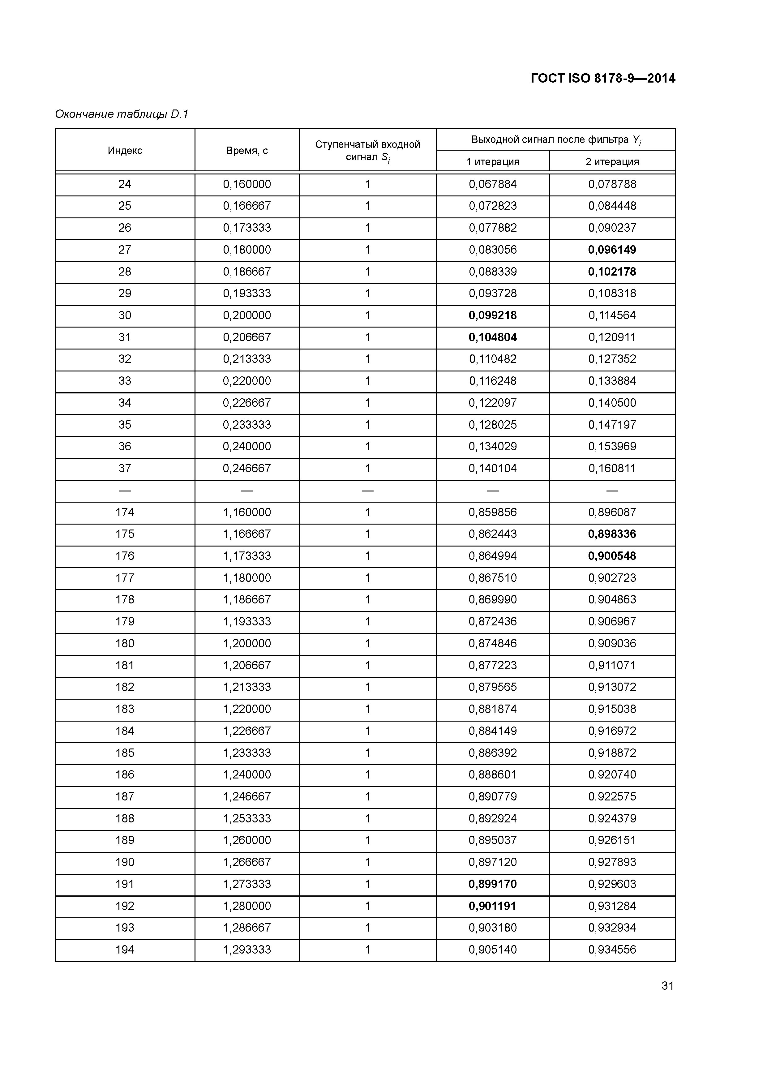
| Оглавление: | 1 Область применения 2 Нормативные ссылки 3 Термины и определения 4 Обозначения параметров и единицы измерения 5 Условия проведения испытаний 5.1 Атмосферные условия 5.2 Мощность 5.3 Впускная система двигателя 5.4 Выпускная система двигателя 5.5 Система охлаждения 5.6 Система смазки 5.7 Двигатели с охлаждением наддувочного воздуха 5.8 Температура топлива, используемого при испытаниях 6 Топливо для испытаний 7 Измерительное оборудование и точность измерений 7.1 Общие положения 7.2 Требования к нагружающему устройству 7.3 Определение дымности 7.4 Точность 8 Калибровка оптического дымомера 8.1 Общие положения 8.2 Порядок калибровки 9 Порядок проведения испытаний 9.1 Установка измерительного оборудования 9.2 Калибровка оптического дымомера 9.3 Испытательный цикл 9.4 Определение эффективной фотометрической базы (LA) 10 Оценка полученных данных и расчеты 10.1 Оценка полученных данных 10.2 Алгоритм Бесселя 10.3 Поправка на атмосферные условия 10.4 Отчет об испытаниях 11 Определение дымности 11.1 Общие положения 11.2 Полнопоточный оптический дымомер 11.3 Частично поточный оптический дымомер Приложение А (обязательное) Испытательный цикл для двигателей внедорожной техники с переменной частотой вращения Приложение В (обязательное) Испытательный цикл для двигателей внедорожной техники с постоянной частотой вращения Приложение С (справочное) Замечания по поводу испытательных циклов Приложение D (справочное) Пример расчета Приложение Е (обязательное) Испытательный цикл для главных судовых двигателей Приложение F (обязательное) Испытательный цикл для двигателей, работающих с переменной частотой вращения (тепловозных) Приложение ДА (справочное) Сведения о соответствии межгосударственных стандартов ссылочным международным стандартам Библиография |
| Разработан: | ООО ЦНИДИ |
| Утверждён: | 05.12.2014 Межгосударственный Совет по стандартизации, метрологии и сертификации (Inter-Governmental Council on Standardization, Metrology, and Certification 46) 09.07.2015 Федеральное агентство по техническому регулированию и метрологии (891-ст) |
| Издан: | Стандартинформ (2015 г. ) |
| Расположен в: | |
| Нормативные ссылки: |
|


















































