| ||||||||||||||||||||||||||||||||||
Скачать ГОСТ Р ИСО 17584-2015 Свойства хладагентовДата актуализации: 10.08.2017
|
| Обозначение: | ГОСТ Р ИСО 17584-2015 |
| Обозначение англ: | GOST R ISO 17584-2015 |
| Статус: | введен впервые |
| Название рус.: | Свойства хладагентов |
| Название англ.: | Refrigerant properties |
| Дата добавления в базу: | 12.02.2016 |
| Дата актуализации: | 05.05.2017 |
| Дата введения: | 01.01.2016 |
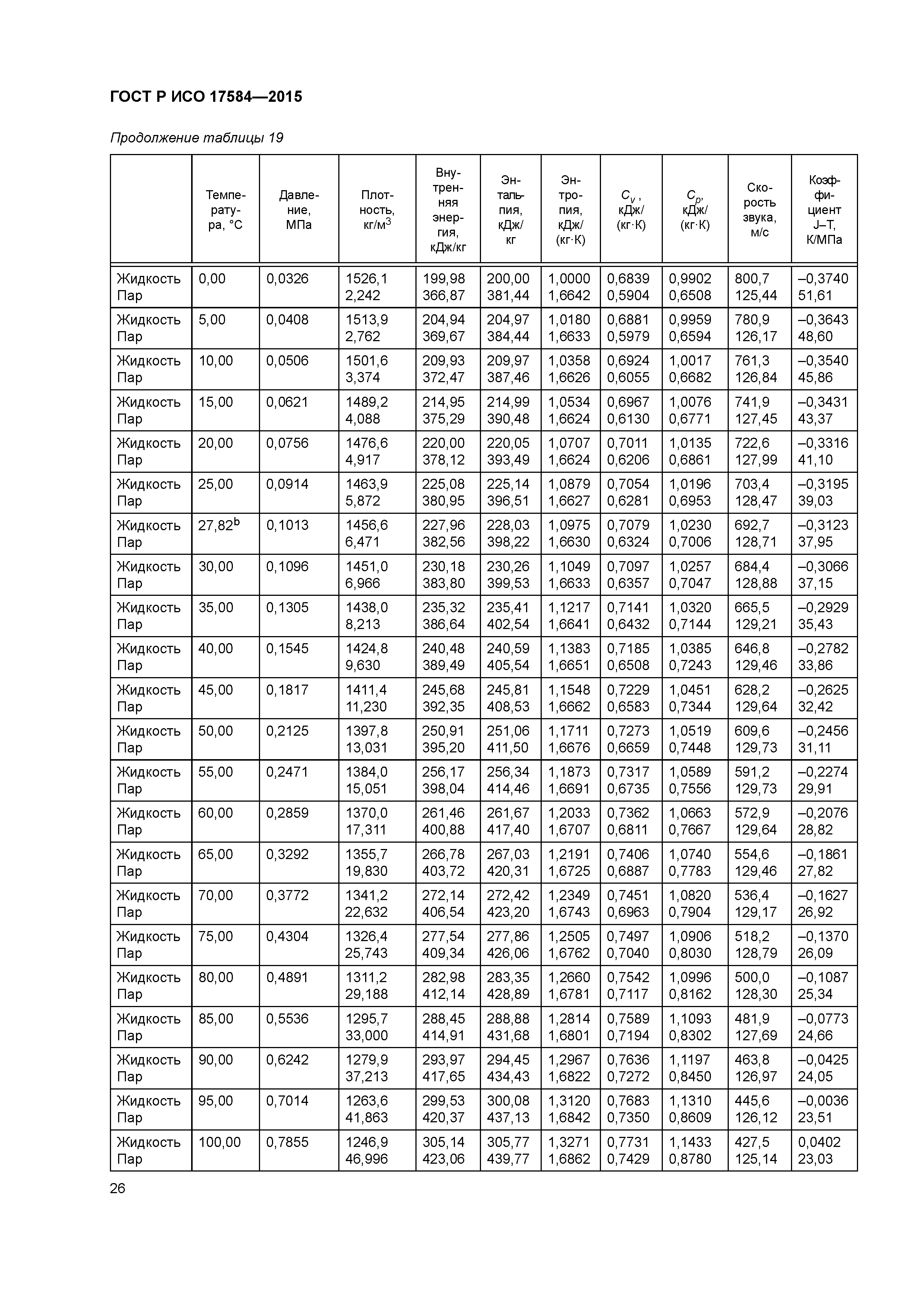
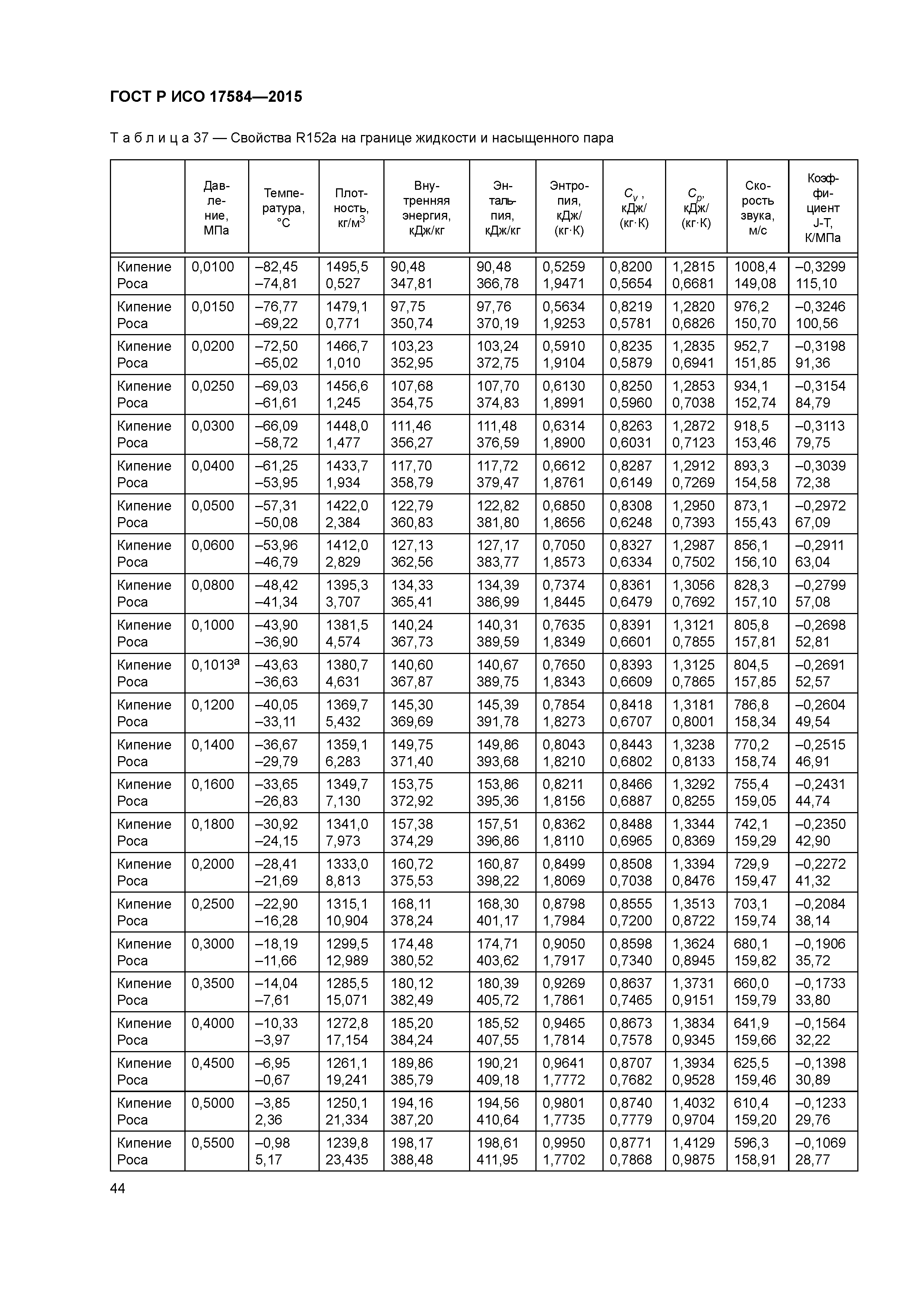
| Область применения: | Стандарт определяет теплофизические свойства нескольких широко используемых хладагентов и смесей хладагентов. Стандарт применим к хладагентам R12, R22, R32, R123, R125, R134a, R143a, R152a, R717 (аммиак) и R744 (диоксид углерода) и к смесям хладагентов R404A, R407С, R410A и R507A. Включены следующие свойства: плотность, давление, внутренняя энергия, энтальпия, энтропия, теплоемкость при постоянном давлении, теплоемкость при постоянном объеме, скорость звука и коэффициент Джоуля-Томсона, как в однофазном состоянии, так и на границе насыщения жидкости/пара. Числовое обозначение хладагентов - в соответствии с ИСО 817. |
| Оглавление: | 1 Область применения 2 Нормативные ссылки 3 Термины и определения 4 Вычисление свойств хладагентов 5 Характеристики для индивидуальных хладагентов 5.1 Общие положения 5.2 R744. Диоксид углерода 5.3 R717. Аммиак 5.4 R12. Дихлордифторметан 5.5 R22. Хлородифторметан 5.6 R32. Дифторметан 5.7 R123. 2,2-Дихлор-1 ,1 ,1-трифторэтан 5.8 R125. Пентафторэтан 5.9 R134а. 1,1,1,2-Тетрафторэтан 5.10 R143а. 1,1,1-Трифторэтан 5.11 R152а. 1,1-Дифторэтан 5.12 R404А — R125/143а/134а (44/52/4) 5.13 R407С — R32/125/134а (23/25/52) 5.14 R410А — R32/125 (50/50) 5.15 R507А — R125/143а (50/50) Приложение А (обязательное) Требования для заявления о соответствии настоящему стандарту Приложение В (справочное) Вычисление термодинамических свойств чистых текучих сред из уравнения состояния Приложение С (справочное) Вычисление термодинамических свойств смесей из уравнений состояния Приложение D (справочное) Литературные ссылки на уравнения состояния и проверочные значения)) Приложение Е (справочное) Изменчивость свойств смеси из-за допустимых отклонений состава Приложение ДА (справочное) Сведения о соответствии ссылочных международных стандартов национальным стандартам Российской Федерации (и действующим в этом качестве межгосударственным стандартам) Библиография |
| Разработан: | ФГУП ВНИИ СМТ |
| Утверждён: | 24.06.2015 Федеральное агентство по техническому регулированию и метрологии (793-ст) |
| Издан: | Стандартинформ (2015 г. ) |
| Расположен в: | |
| Нормативные ссылки: |








































































