Скачать ОЕРЖм 81-03-35-2001 Часть 35. Оборудование сельскохозяйственных производств. Книга 2 (Уральский, Западно-Сибирский, Восточно-Сибирский, Дальневосточный территориальные районы)Дата актуализации: 10.08.2017 ОЕРЖм 81-03-35-2001
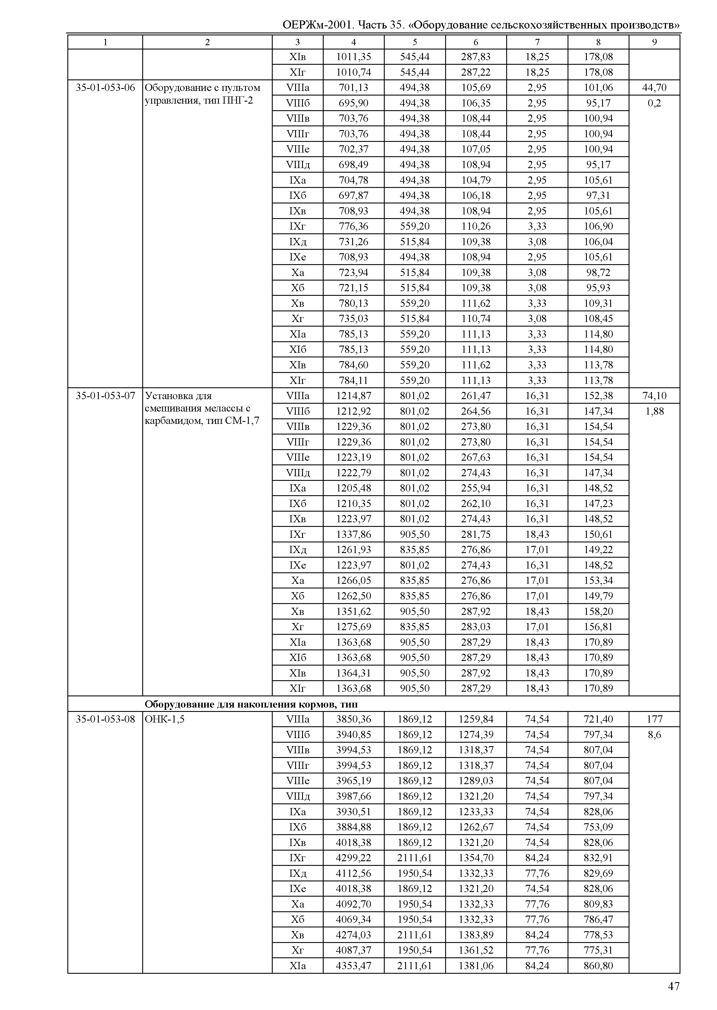
Часть 35. Оборудование сельскохозяйственных производств. Книга 2 (Уральский, Западно-Сибирский, Восточно-Сибирский, Дальневосточный территориальные районы)Обозначение: | ОЕРЖм 81-03-35-2001 | Обозначение англ: | 81-03-35-2001 | Статус: | действует | Название рус.: | Часть 35. Оборудование сельскохозяйственных производств. Книга 2 (Уральский, Западно-Сибирский, Восточно-Сибирский, Дальневосточный территориальные районы) | Дата добавления в базу: | 12.02.2016 | Дата актуализации: | 05.05.2017 | Дата введения: | 01.06.2011 | Область применения: | Отраслевые единичные расценки на монтаж оборудования предназначены для определения затрат при выполнении монтажных работ и составления на их основе сметных расчетов (смет) на производство указанных работ | Оглавление: | Часть 35. Оборудование сельскохозяйственных производств Отдел 01. Оборудование сельскохозяйственных производств Раздел 1. Оборудование ферм для содержания крупного рогатого скота Раздел 2. Оборудование ферм для содержания свиней Раздел 3. Оборудование кормоцехов Раздел 4. Оборудование ферм для содержания птиц Раздел 5. Оборудование пунктов для стрижки овец Раздел 6. Оборудование водоподъемное Раздел 7. Оборудование ферм для содержания кроликов Отдел 02. Машины и оборудование мелиоративных и водохозяйственных объектов Раздел 1. Дождевальные машины фронтального действия Раздел 2. Дождевальные машины кругового действия Раздел 3. Дождевальные агрегаты, комплекты, шлейфы Раздел 4. Мелиоративное оборудование | Разработан: | ОАО РЖД НО Национальная ассоциация стоимостного инжиниринга
| Утверждён: | 31.01.2011 ОАО РЖД (178р)
| Расположен в: |
|
                                                                           
|