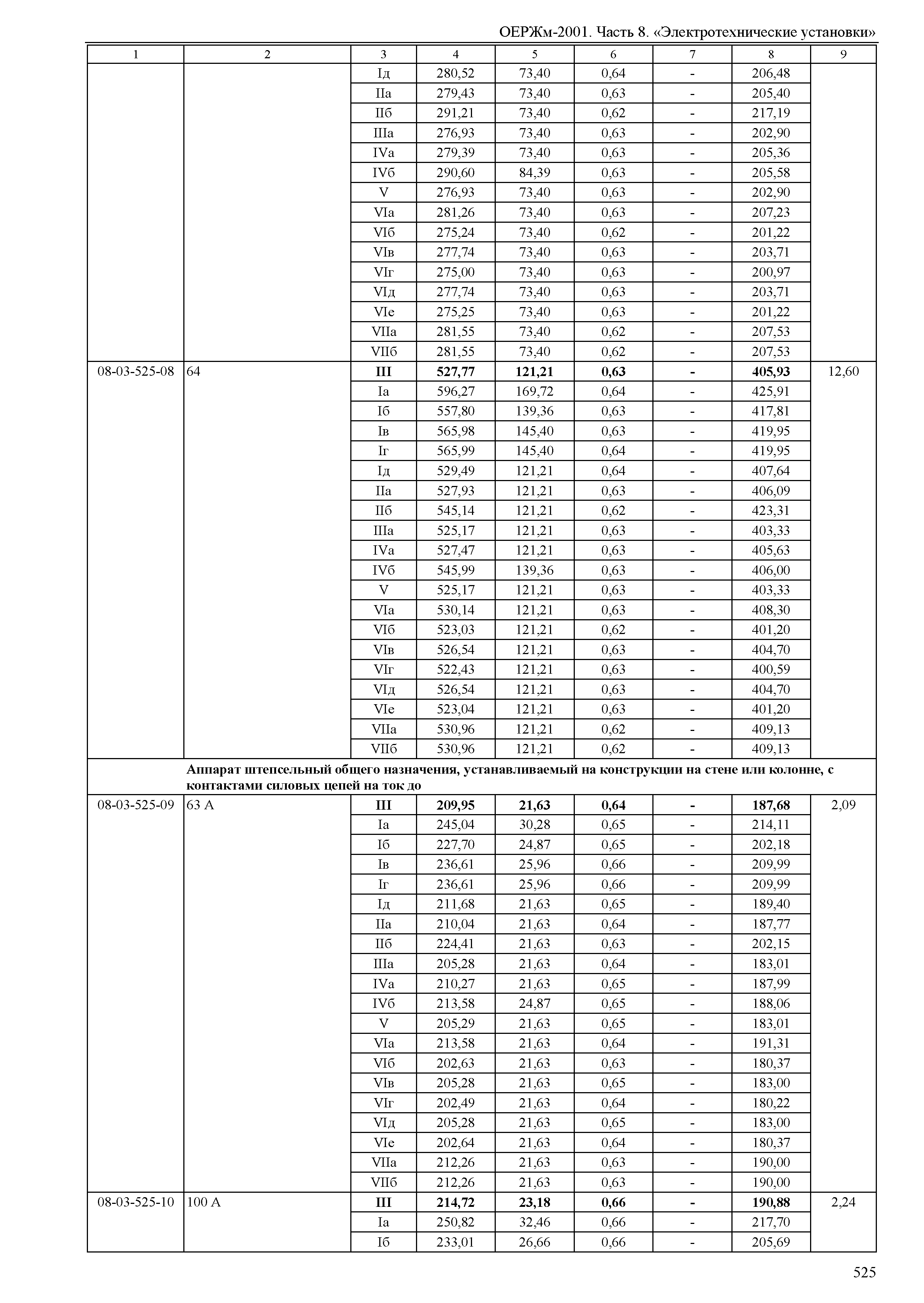
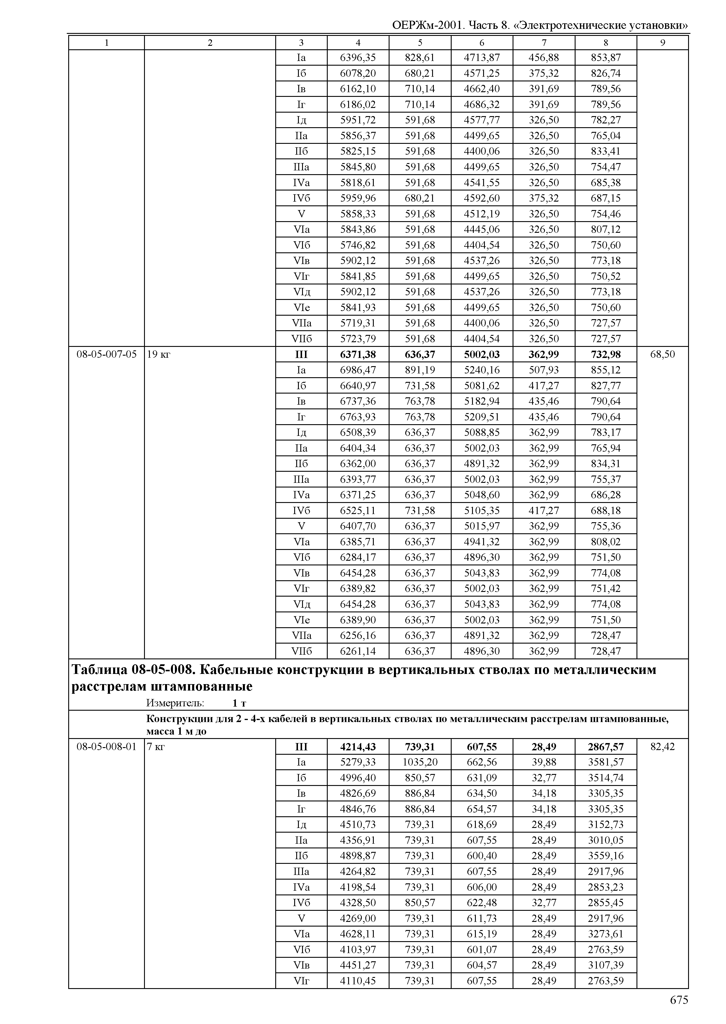
Скачать ОЕРЖм 81-03-08-2001 Часть 8. Электротехнические установки. Книга 1 (Северный, Северо-Западный, Центральный, Волго-Вятский, Центрально-Черноземный, Поволжский, Северо-Кавказский территориальные районы)Дата актуализации: 10.08.2017 ОЕРЖм 81-03-08-2001
Часть 8. Электротехнические установки. Книга 1 (Северный, Северо-Западный, Центральный, Волго-Вятский, Центрально-Черноземный, Поволжский, Северо-Кавказский территориальные районы)Обозначение: | ОЕРЖм 81-03-08-2001 | Обозначение англ: | 81-03-08-2001 | Статус: | действует | Название рус.: | Часть 8. Электротехнические установки. Книга 1 (Северный, Северо-Западный, Центральный, Волго-Вятский, Центрально-Черноземный, Поволжский, Северо-Кавказский территориальные районы) | Дата добавления в базу: | 12.02.2016 | Дата актуализации: | 05.05.2017 | Дата введения: | 01.06.2011 | Область применения: | Отраслевые единичные расценки на монтаж оборудования предназначены для определения затрат при выполнении монтажных работ и составления на их основе сметных расчетов (смет) на производство указанных работ | Оглавление: | Часть 8. Электротехнические установки Отдел 01. Распределительные устройства и подстанции Раздел 1. Распределительные устройства открытые 6-750 КВ Раздел 2. Распределительные устройства закрытые 35-220 КВ Раздел 3. Распределительные устройства закрытые 3-20 КВ Раздел 4. Преобразовательные устройства Раздел 5. Аккумуляторные установки Отдел 02. Канализация электроэнергии и электрические сети Раздел 1. Кабельные линии до 500 КВ Раздел 2. Сети контактные городского транспорта Раздел 3. Сети контактные метрополитена Раздел 4. Сети контактные промышленного транспорта Раздел 5. Электроосвещение наружное Раздел 6. Сети проводок в зданиях и сооружениях Раздел 7. Шины тяжелые Раздел 8. Сети заземления электротехнических установок Отдел 03. Электросиловые и электроосветительные установки Раздел 1. Электрические машины Раздел 2. Токоподвод к подъемно-транспортным установкам Раздел 3. Устройства пускорегулирующие Раздел 4. Низковольтные комплектные устройства Раздел 5. Приборы осветительные, нагревательные, щитки и счетчики Раздел 6. Установки театрально-зрелищных предприятий Отдел 04. Кабельные линии и электрооборудование специальных установок Раздел 1. Кабельные линии и электрооборудование ядерных энергоустановок и спецкорпусов АЭС Отдел 5. Кабельные линии и электрооборудование специальных установок для горнорудных выработок Раздел 1. Кабельные линии до 110 КВ в горнорудных выработках Раздел 2. Электрооборудование в горнорудных выработках | Разработан: | ОАО РЖД НО Национальная ассоциация стоимостного инжиниринга
| Утверждён: | 31.01.2011 ОАО РЖД (178р)
| Расположен в: |
|
                                                                                                                                                                                                                                                                                                                                                                                                                                                                                                                                                                                                                                                                                                                                      
|