Скачать ОССЦЖ 81-01-05-2001 Часть 5. Материалы, изделия и конструкции для монтажных и специальных строительных работ (Книга 2)Дата актуализации: 10.08.2017 ОССЦЖ 81-01-05-2001
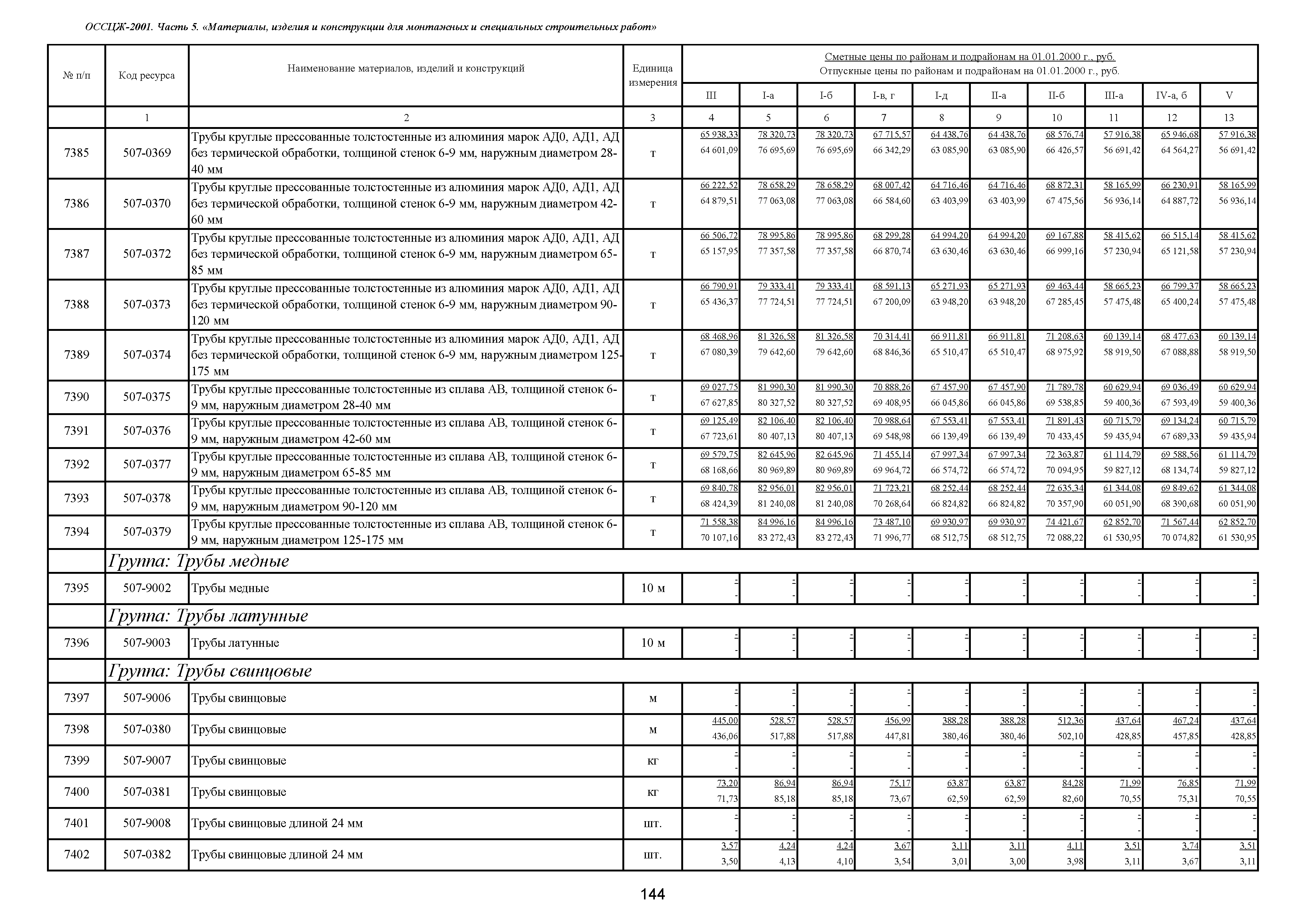
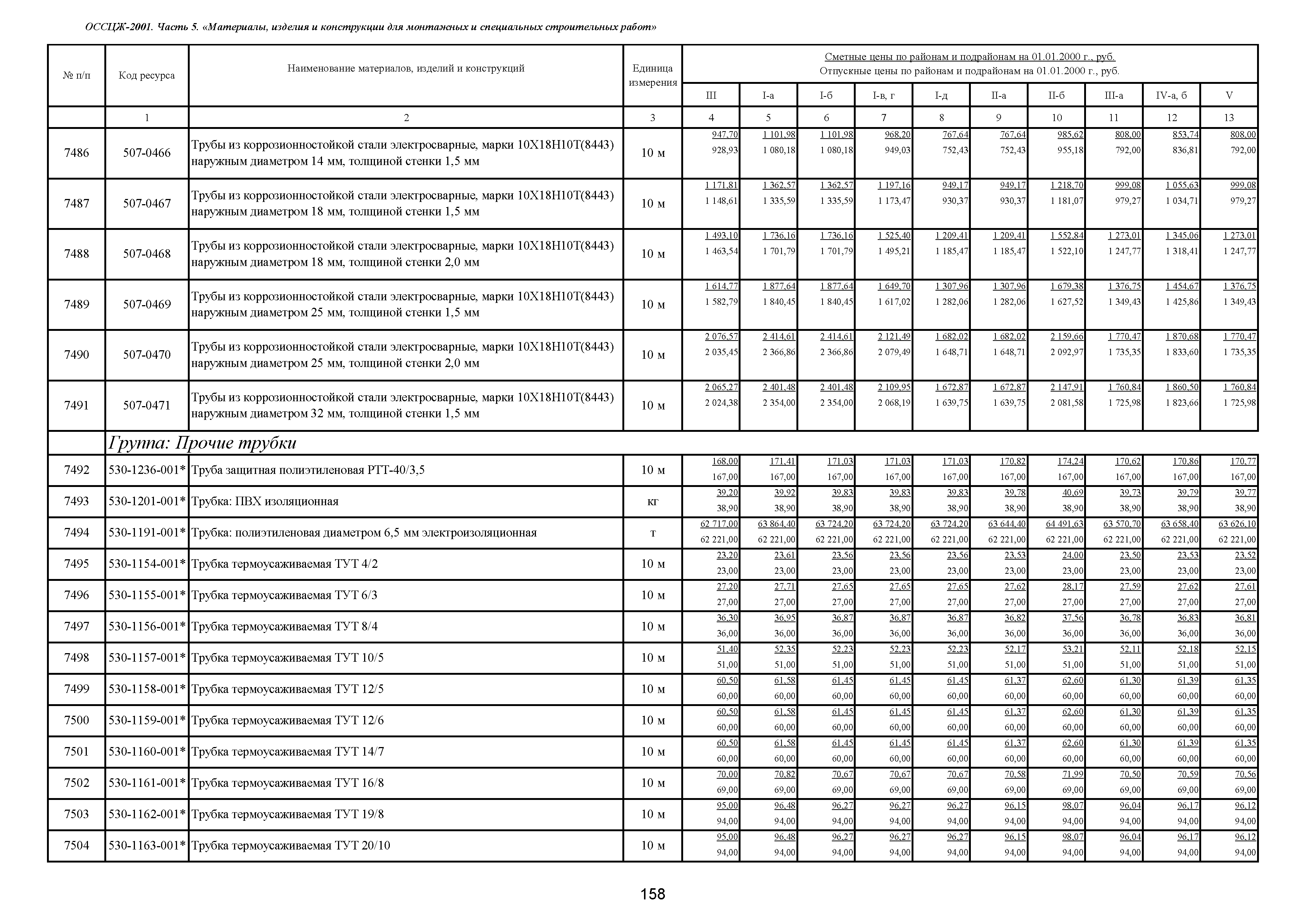
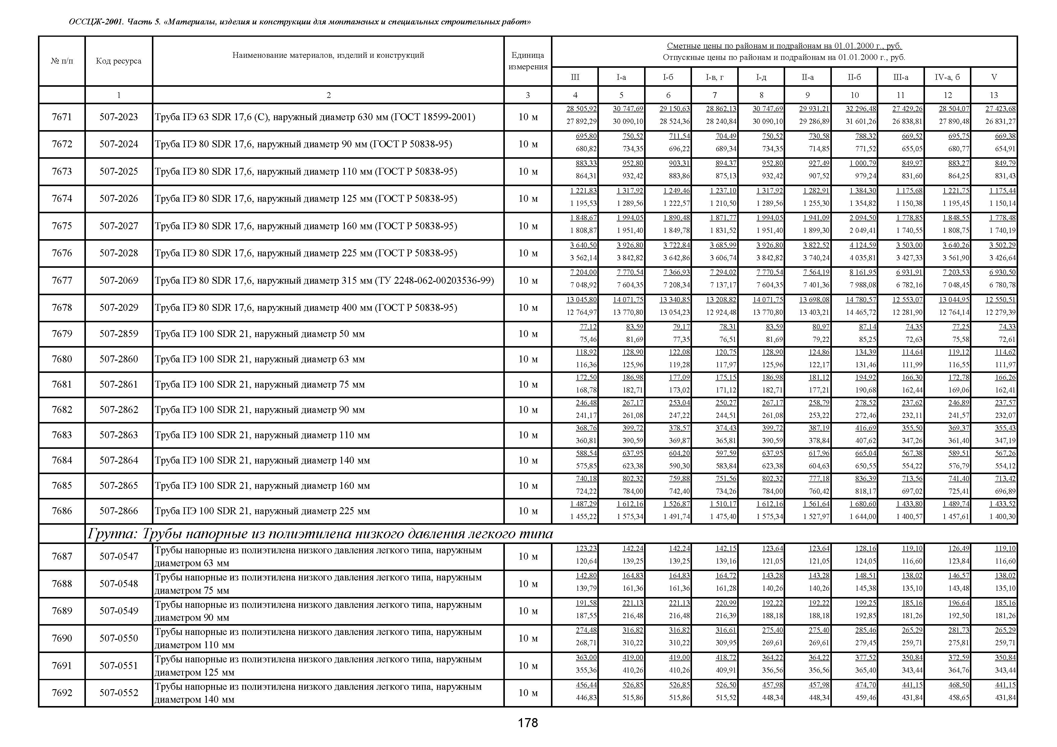
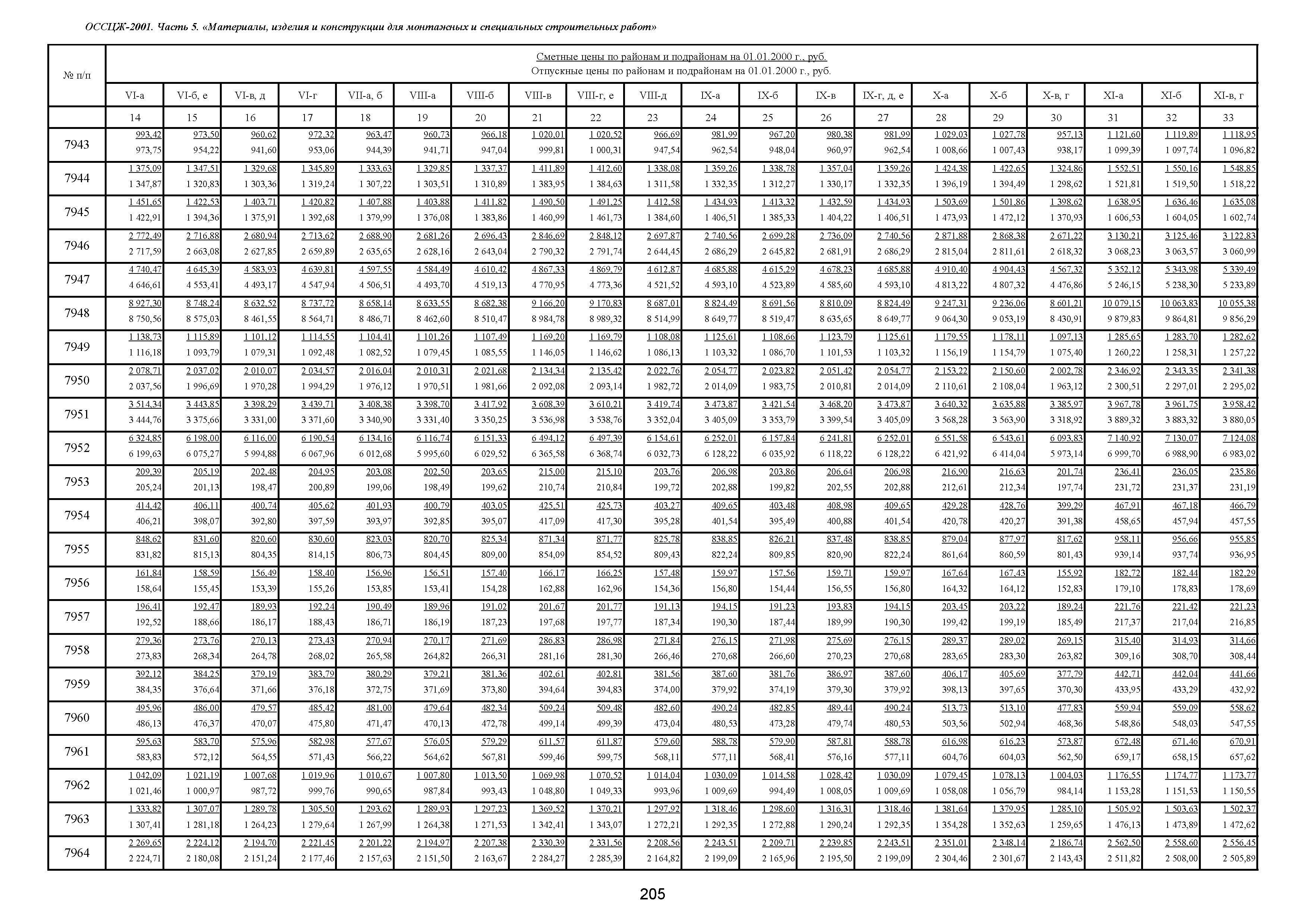
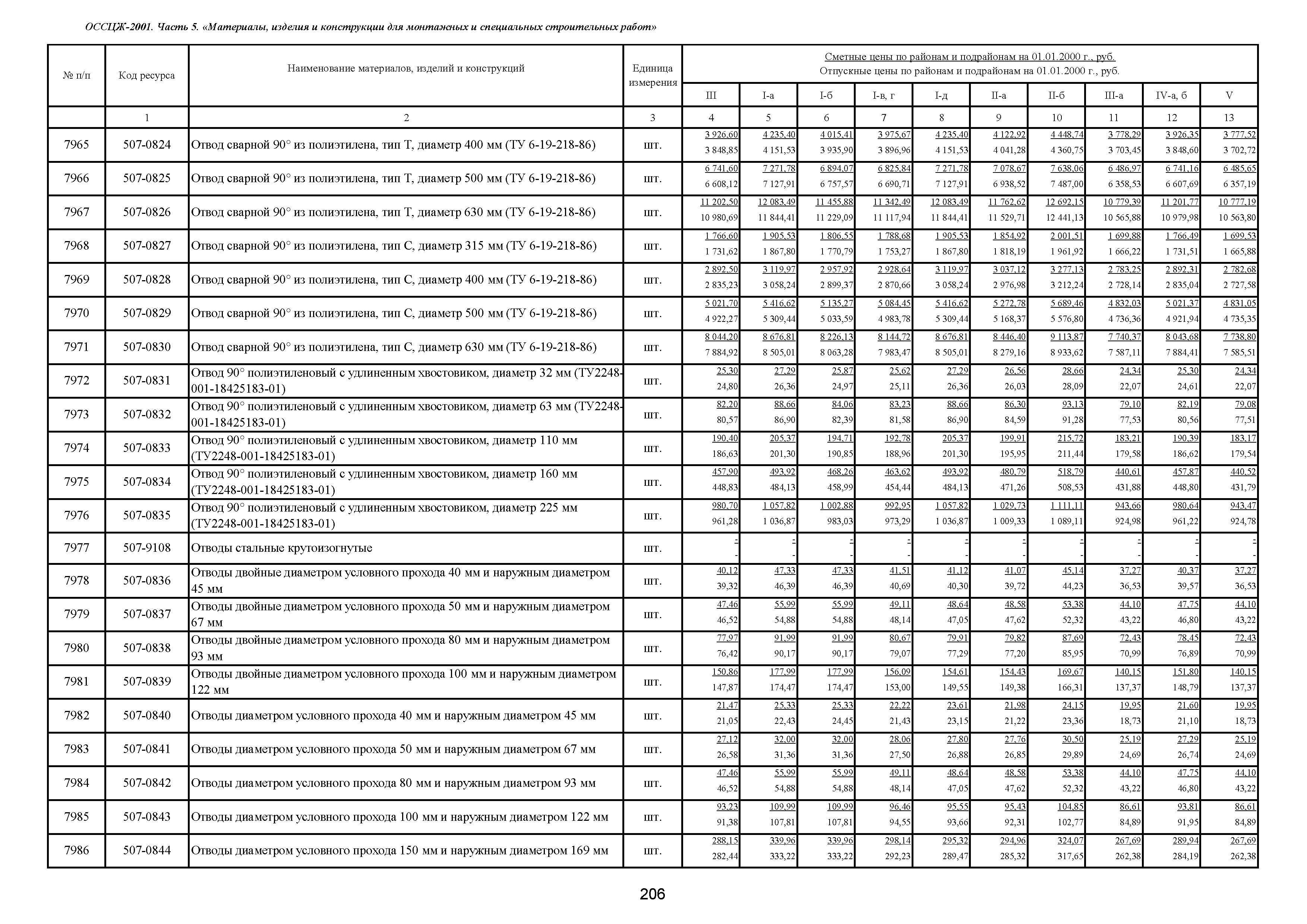
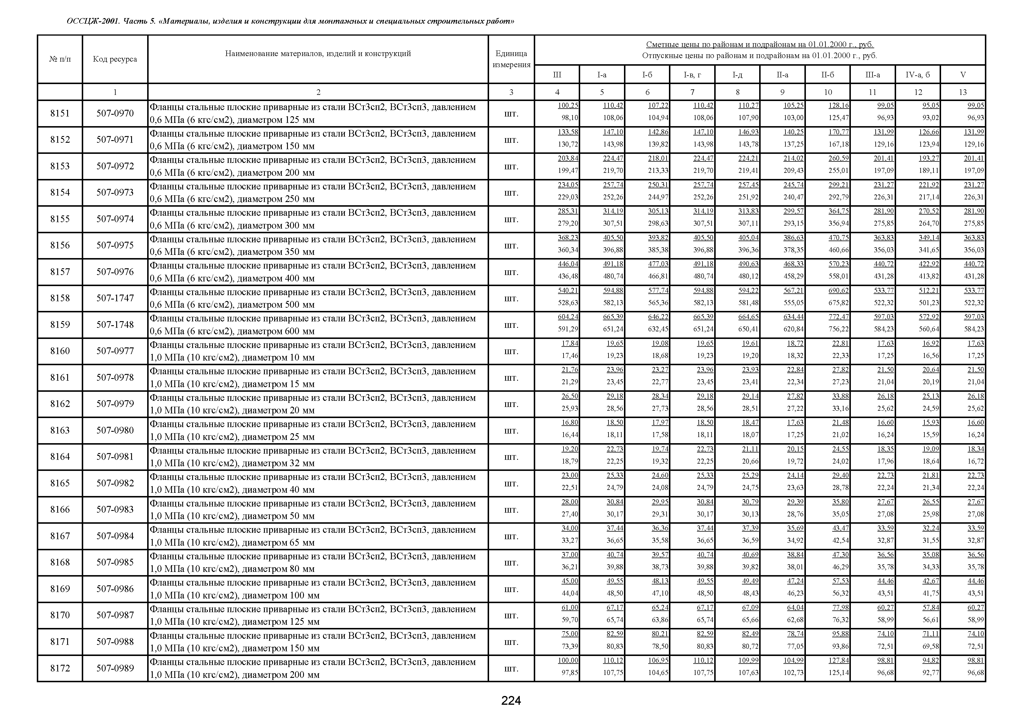
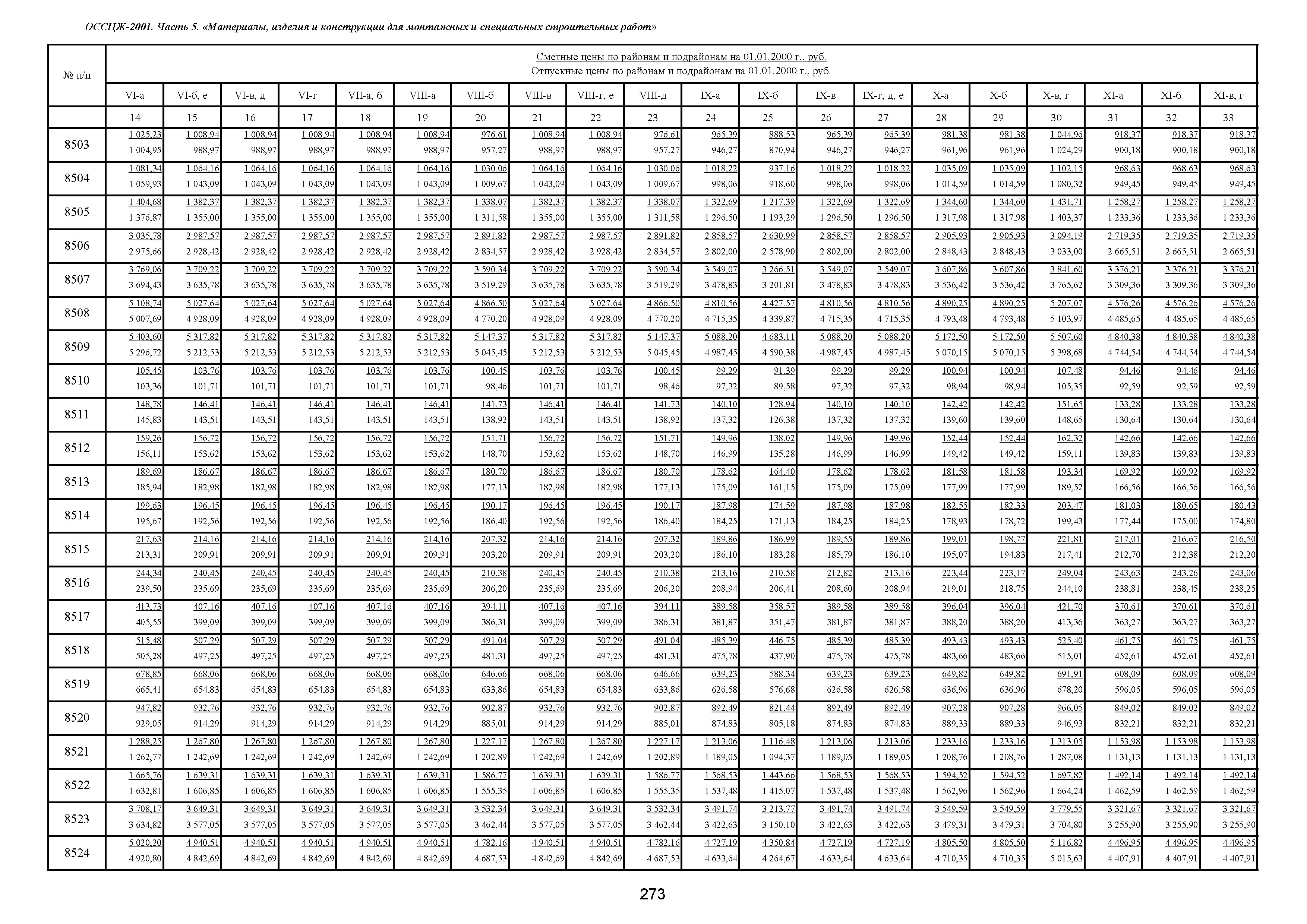
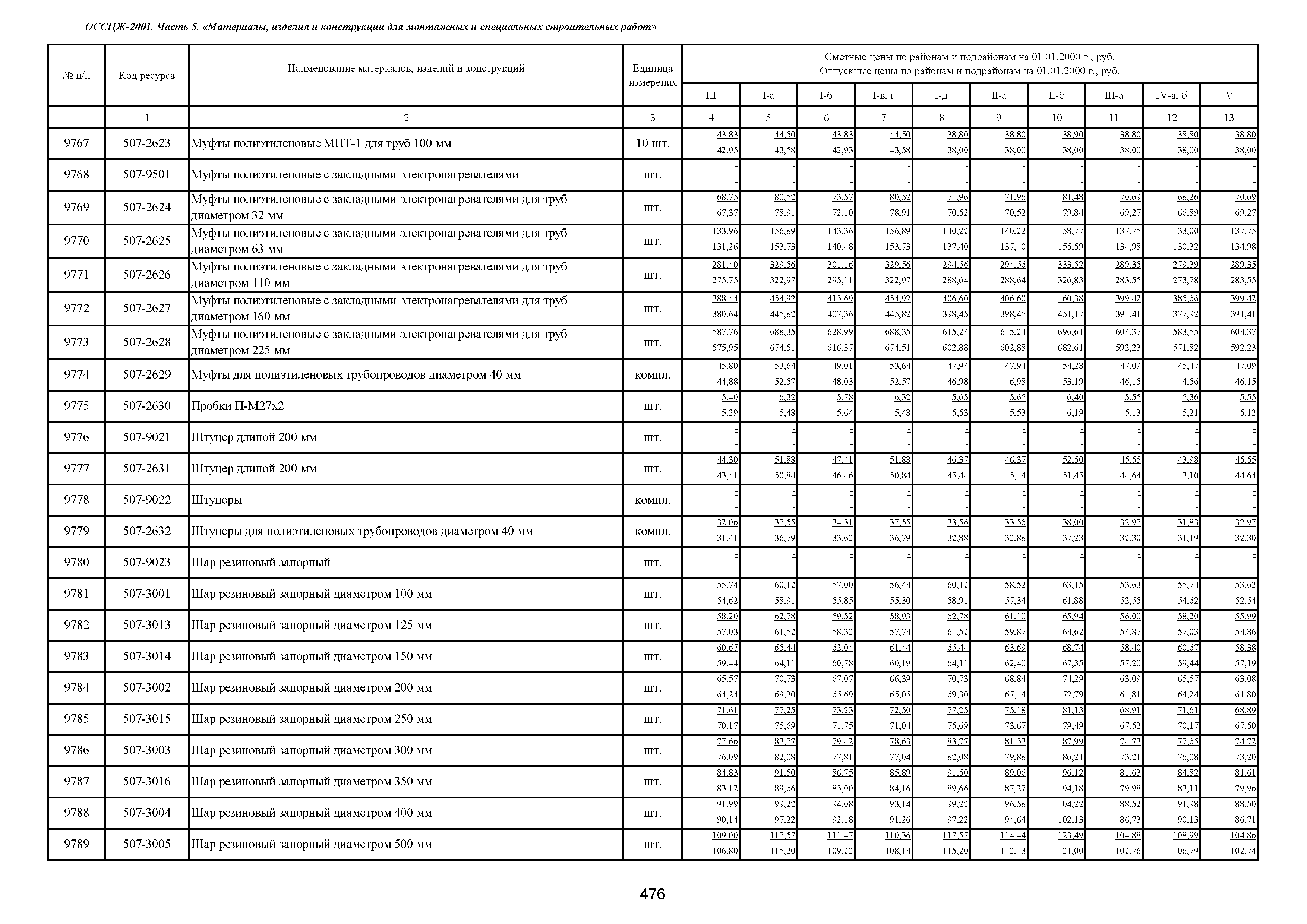
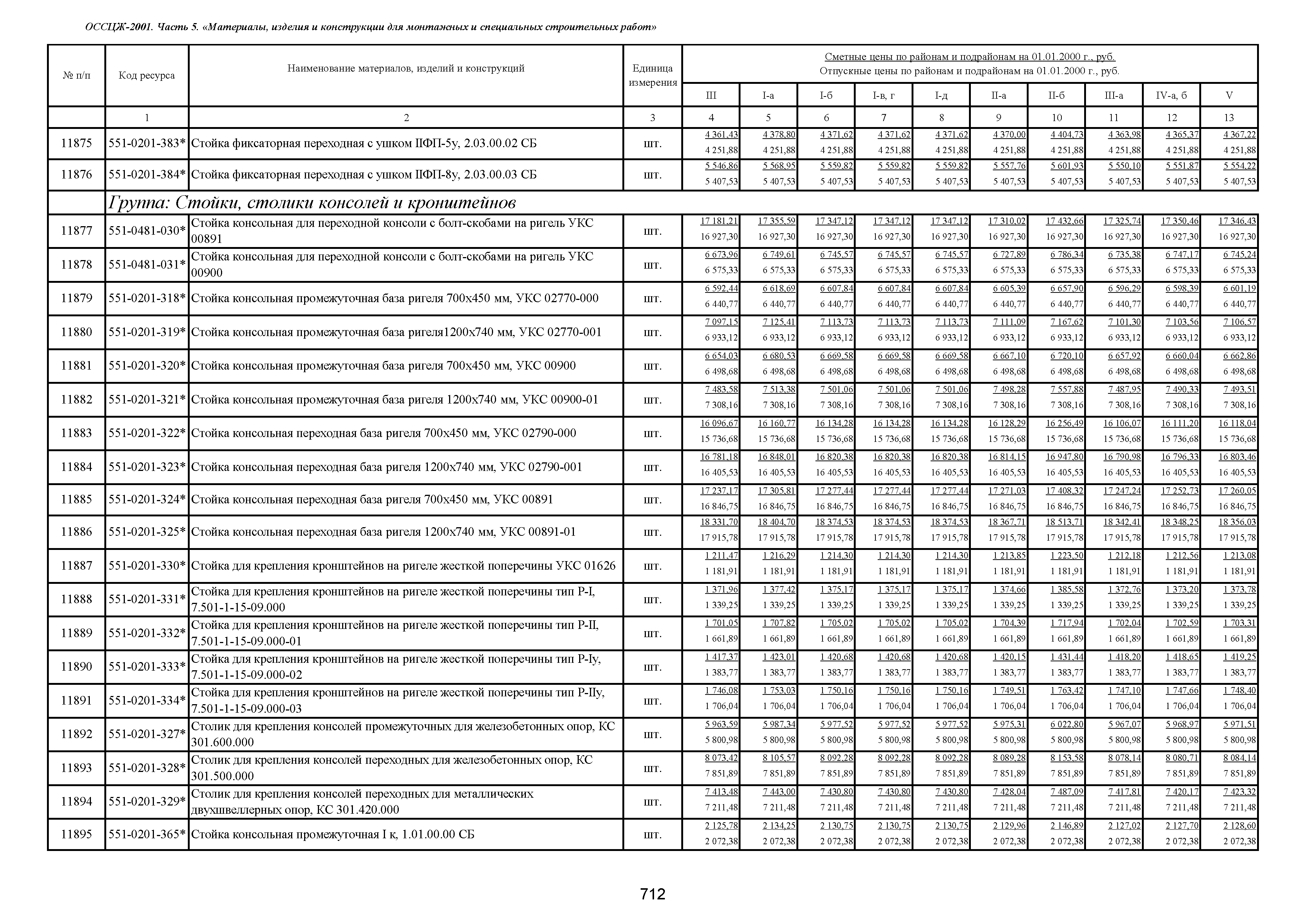
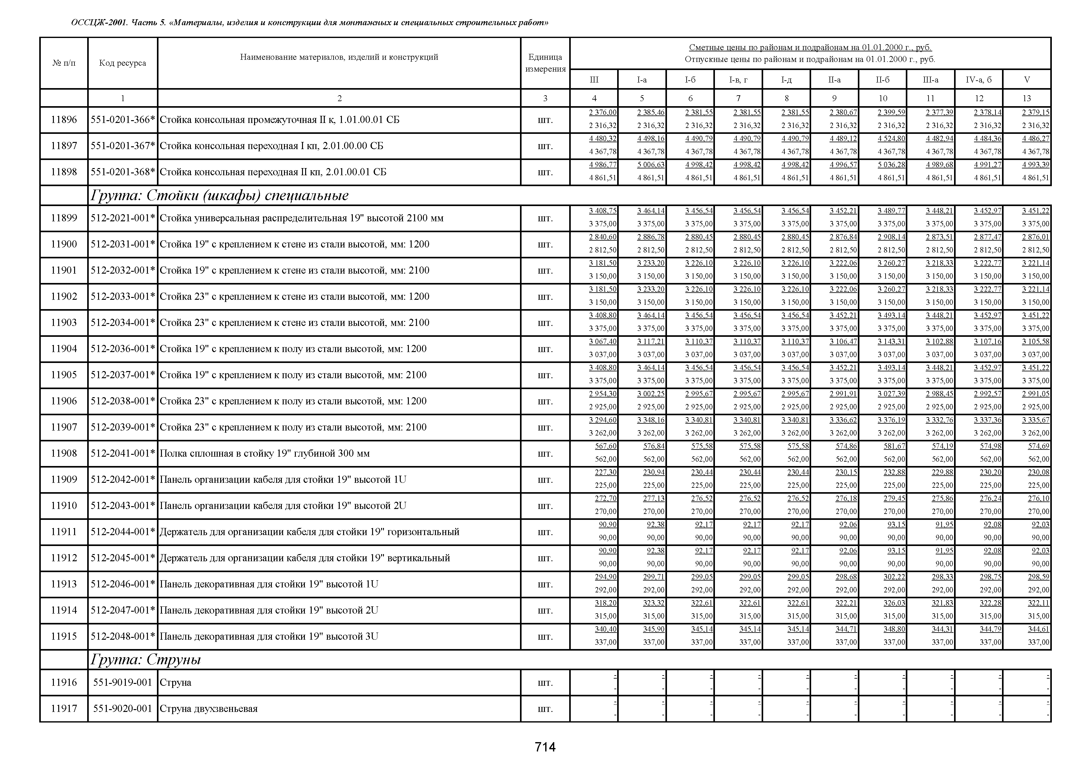
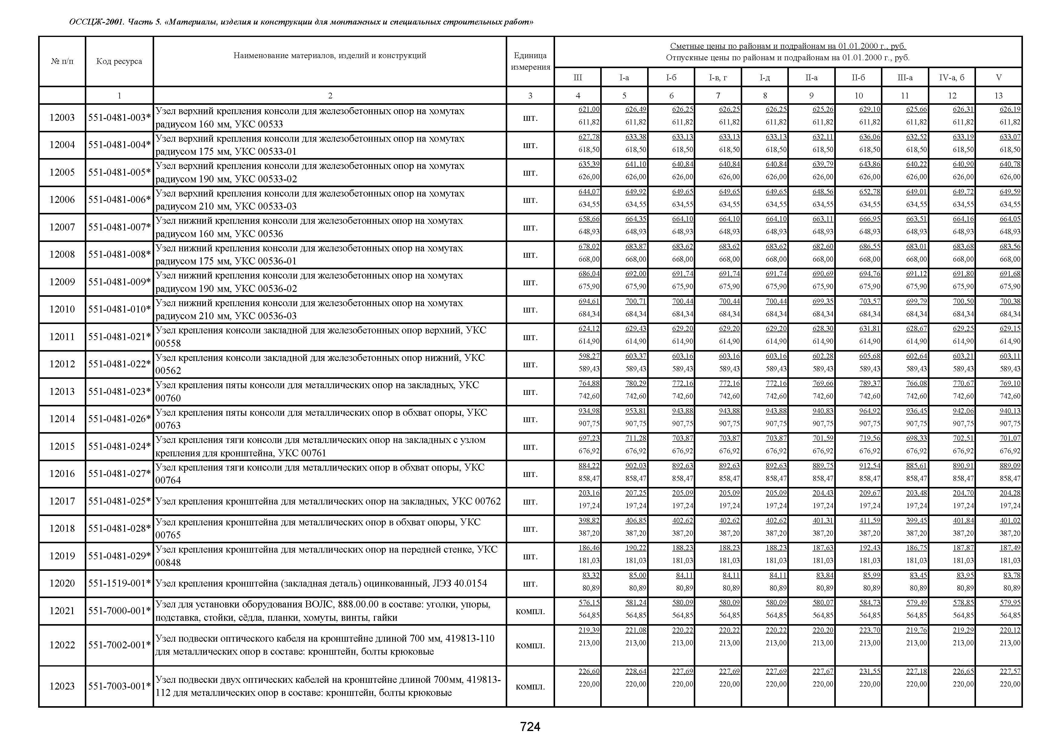
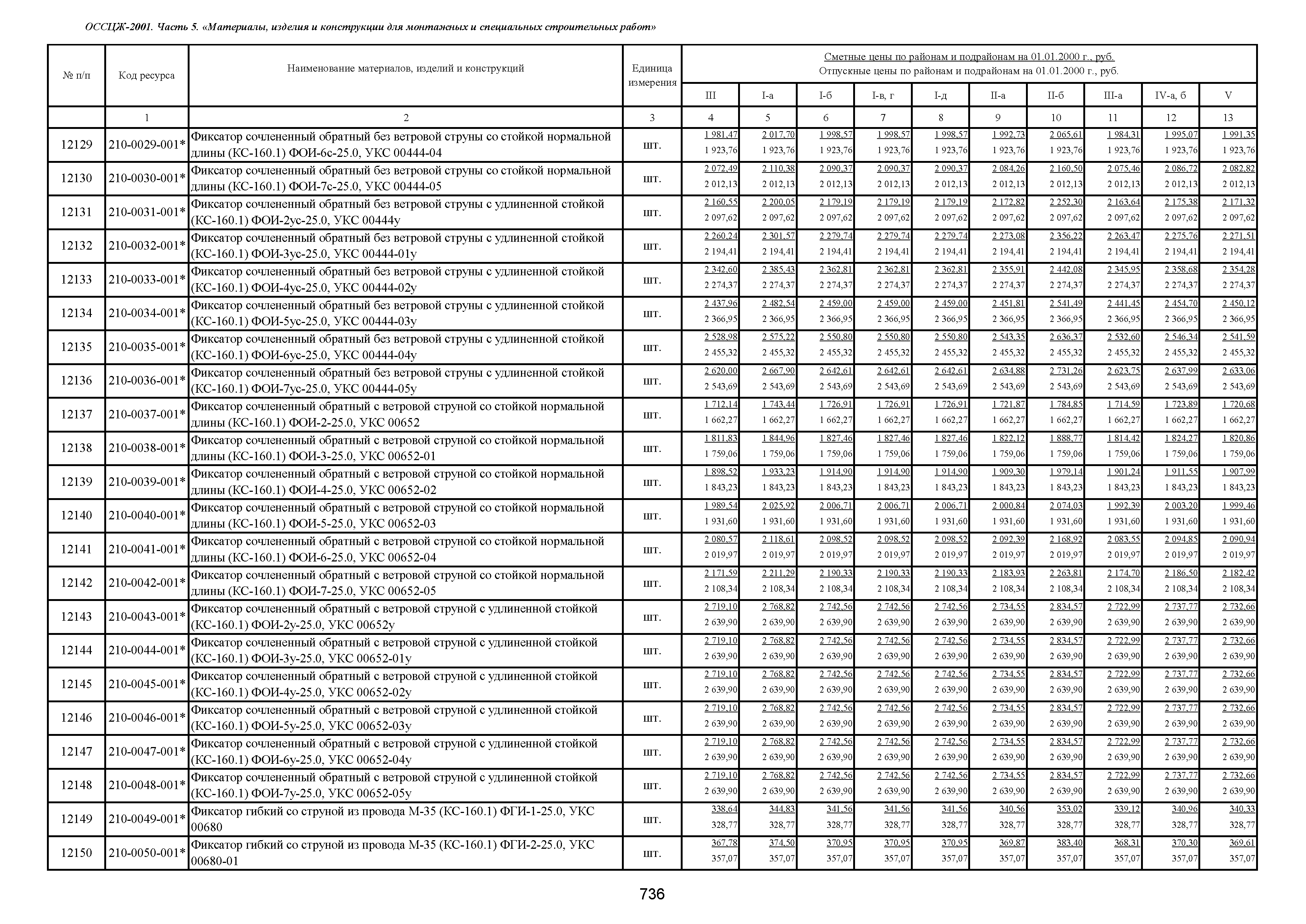
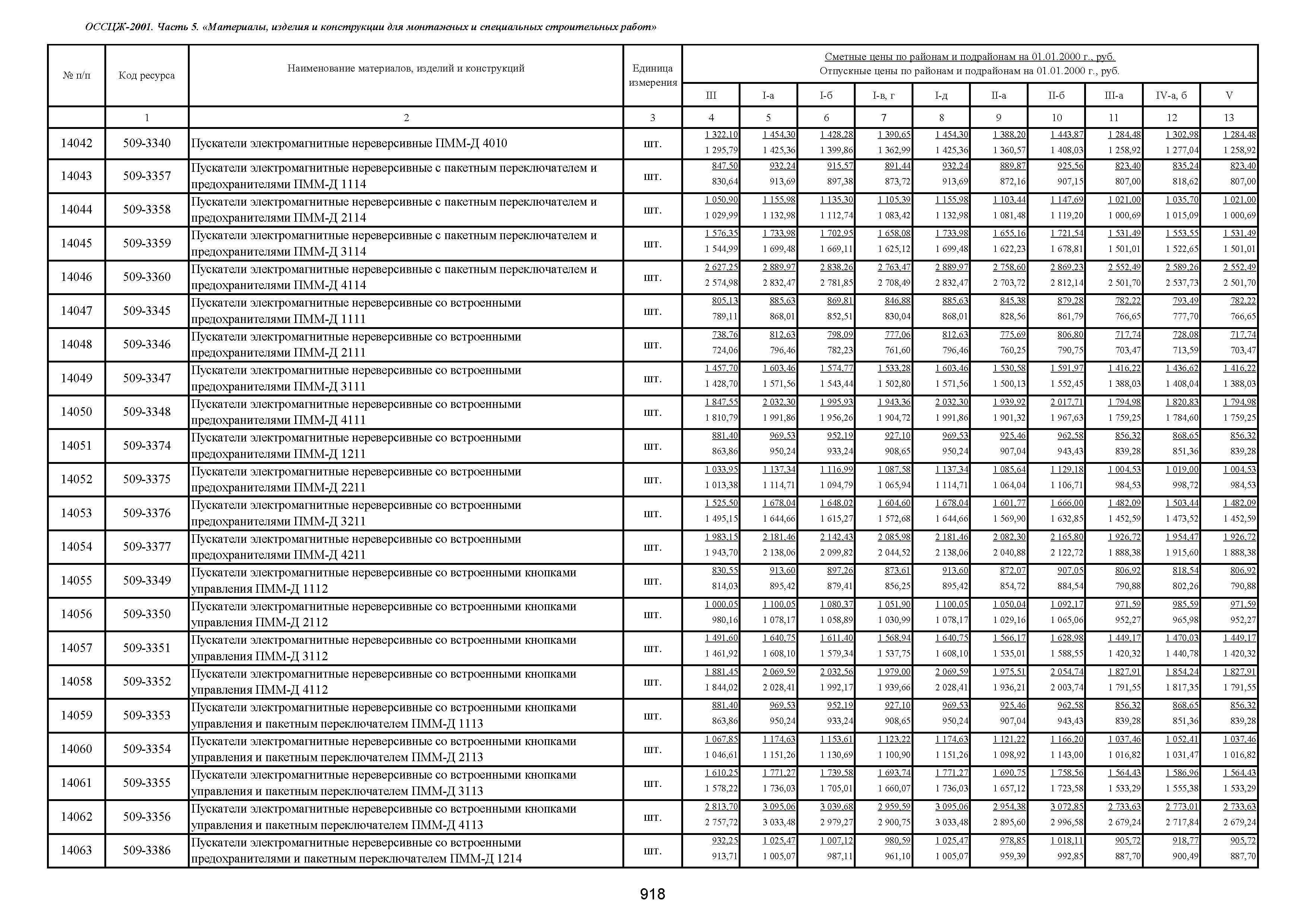
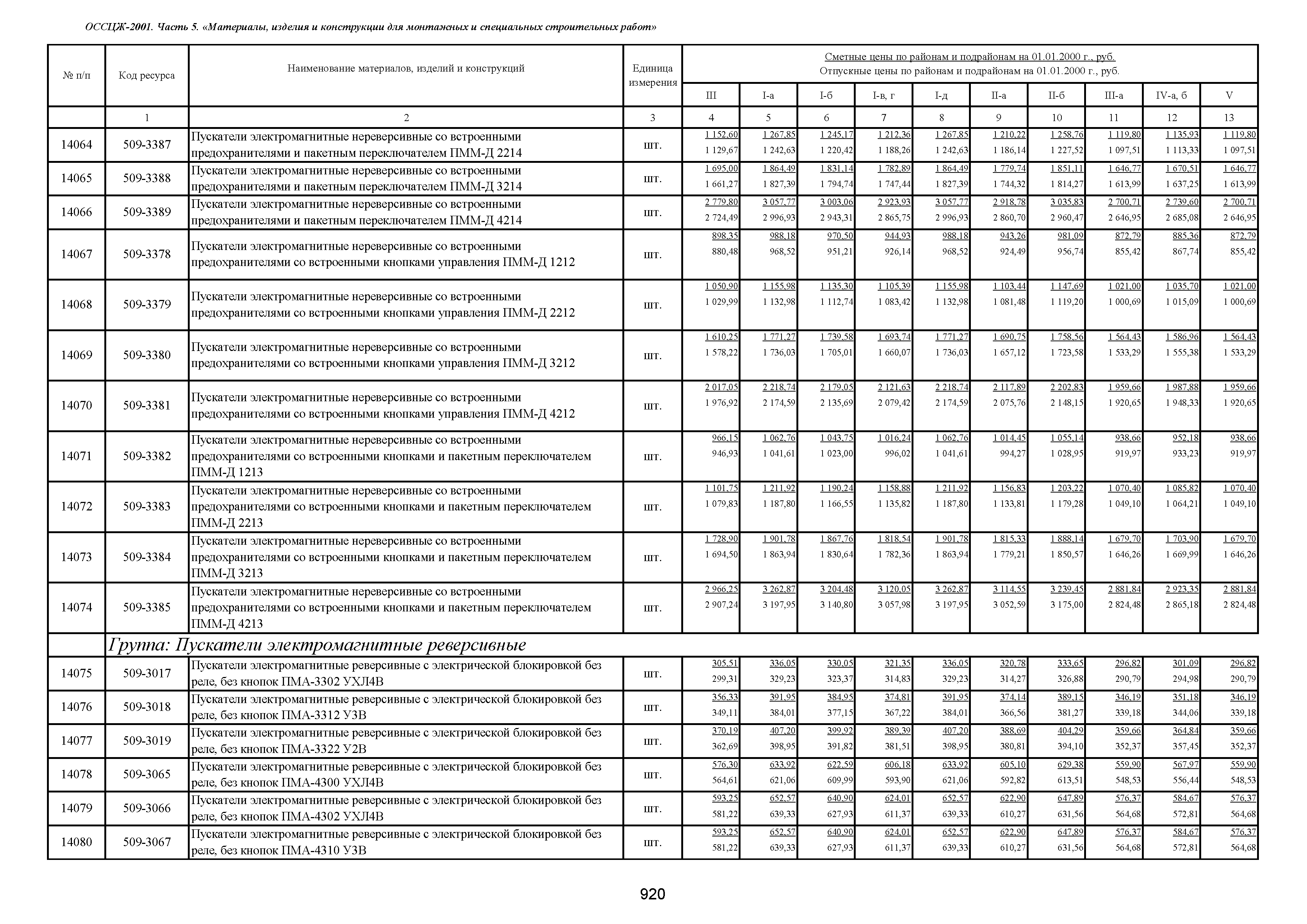
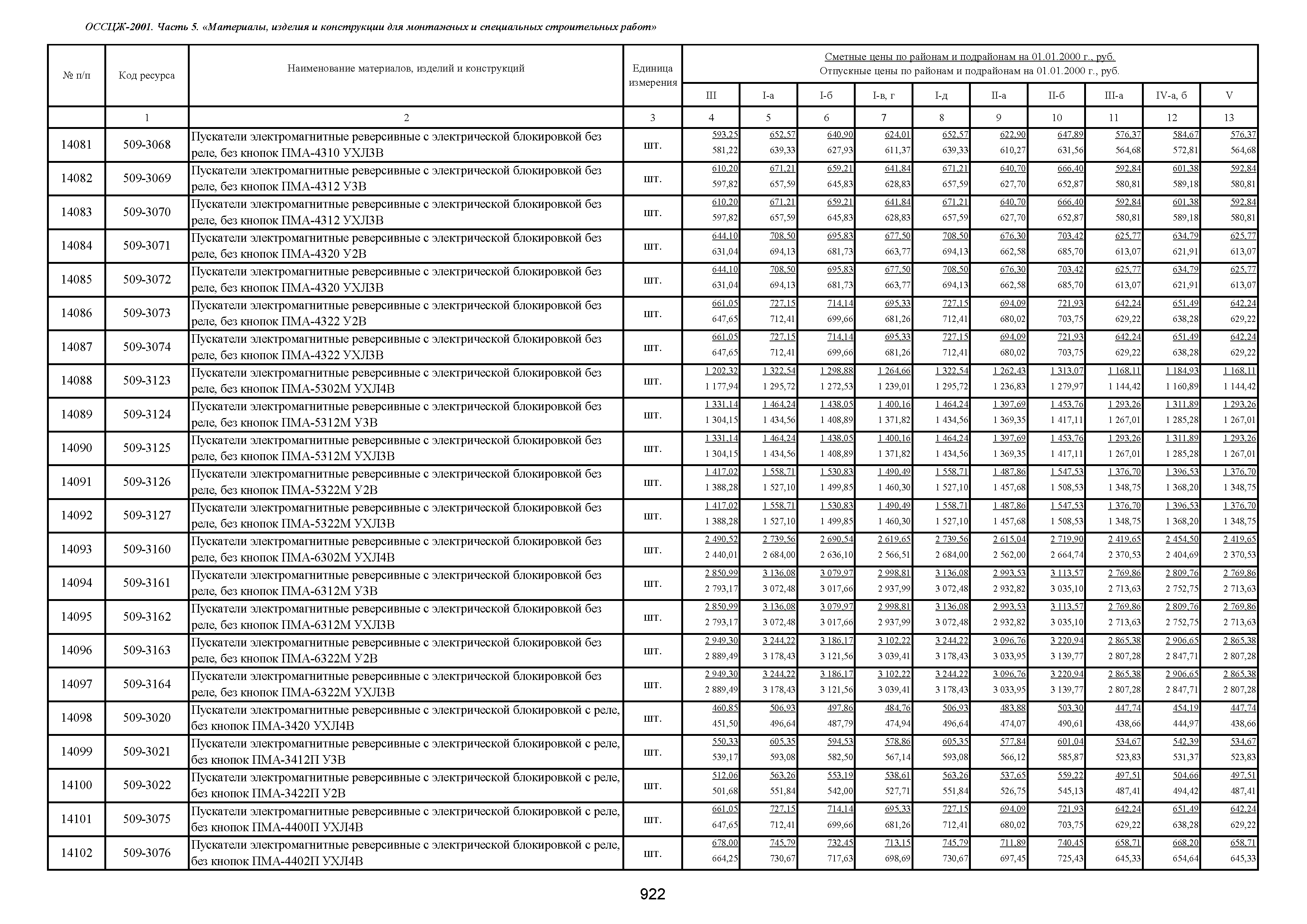
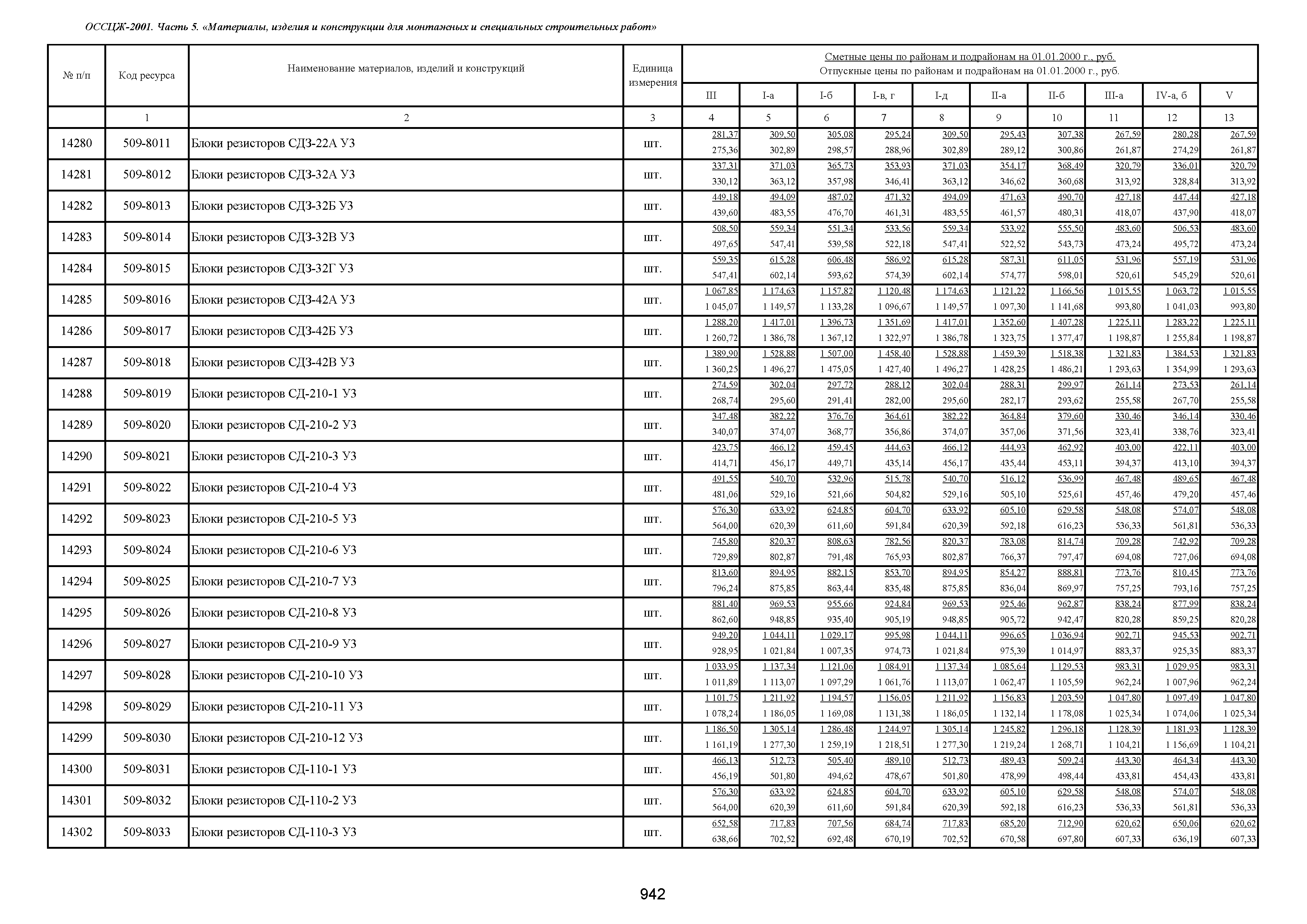
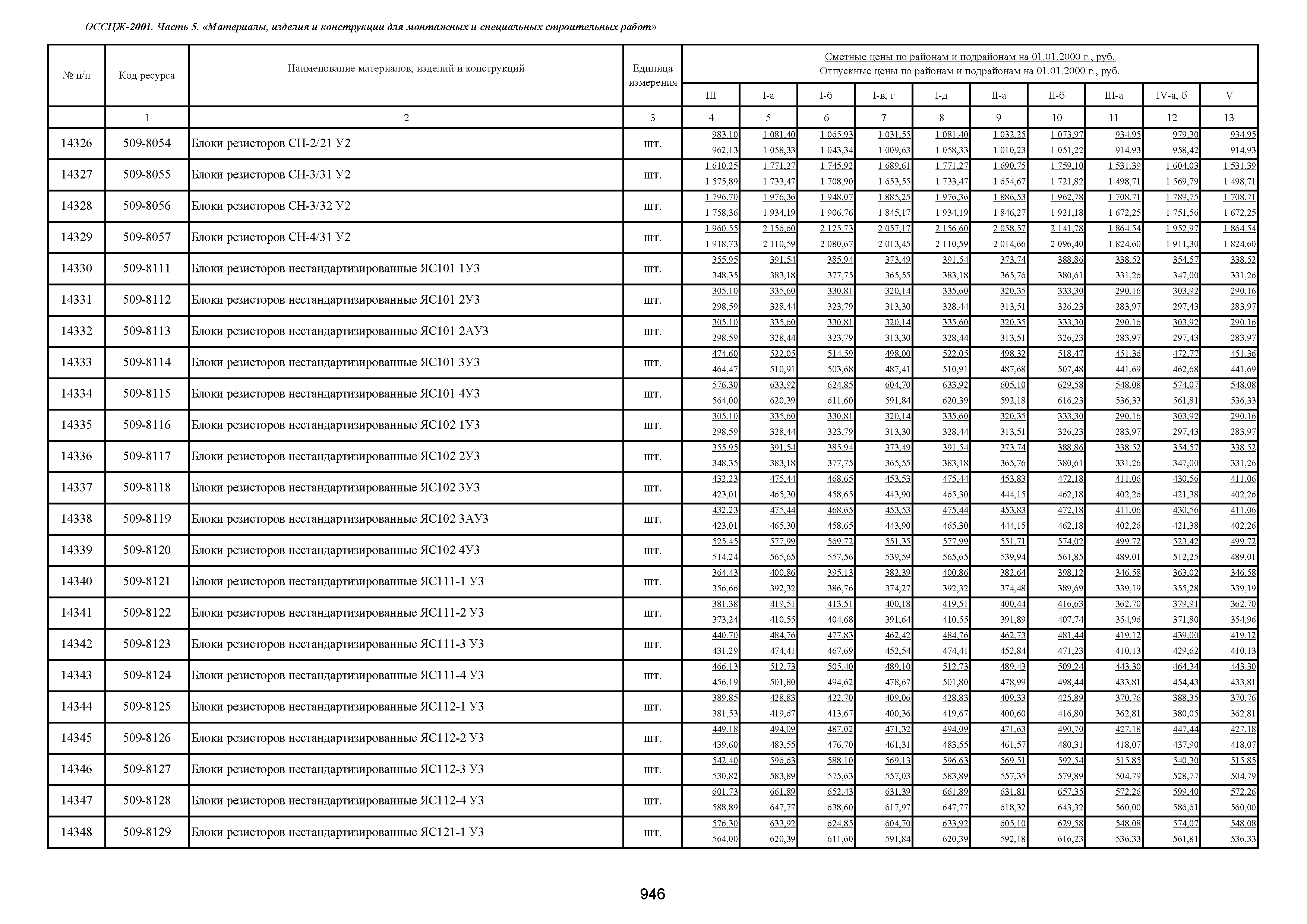
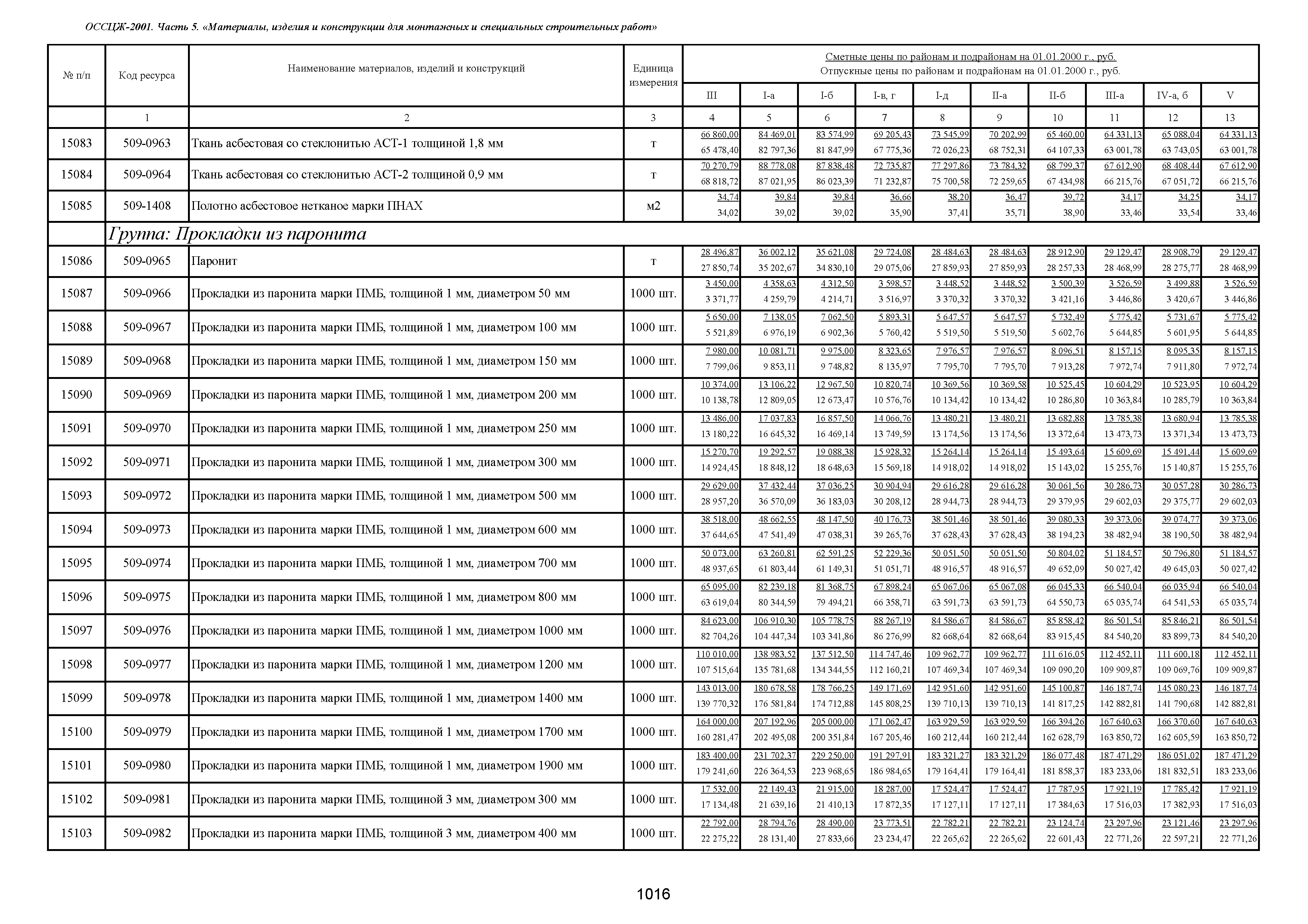
Часть 5. Материалы, изделия и конструкции для монтажных и специальных строительных работ (Книга 2)Обозначение: | ОССЦЖ 81-01-05-2001 | Обозначение англ: | 81-01-05-2001 | Статус: | действует | Название рус.: | Часть 5. Материалы, изделия и конструкции для монтажных и специальных строительных работ (Книга 2) | Дата добавления в базу: | 12.02.2016 | Дата актуализации: | 05.05.2017 | Дата введения: | 01.06.2011 | Область применения: | Отраслевые сметные цены на материалы, изделия и конструкции предназначены для определения сметной стоимости строительных (ремонтно-строительных) и монтажных работ, а также для определения стоимостных показателей отраслевых расценок на строительные, монтажные и ремонтно-строительные работы | Оглавление: | Раздел 5.06 Прокатно-тянутые изделия из цветных металлов и цветные металлы Подраздел: Ленты Подраздел: Проволока Подраздел: Листы и плиты Подраздел: Металлы цветные Подраздел: Полосы Подраздел: Сплавы цветных металлов Раздел 5.07. Трубы, арматура и детали трубопроводов Подраздел: Трубы из цветных металлов Подраздел: Трубы коррозийно-стойкие Подраздел: Трубы стальные Подраздел: Трубы из пластических масс Подраздел: Трубы стеклянные Подраздел: Фасонные части Подраздел: Комплекты ответных стальных плоских приварных фланцев к арматуре трубопроводной Подраздел: Соединительные части технологических трубопроводов Подраздел: Узлы технологических трубопроводов из углеродистых и легированных сталей на Ру 10 МПа (100 кгс/см2) Раздел 5.08 Канаты стальные Подраздел: Канаты круглые Подраздел: Канаты закрытые несущие Подраздел: Канаты плоские Подраздел: Канаты стальные по техническим условиям Раздел 5.09 Прочие материалы Подраздел: Изделия специального назначения Подраздел: Аппаратура электрическая низковольтная Подраздел: Источники света Подраздел: Электроизоляционные изделия Подраздел: Асбестовые технические изделия Подраздел: Химическая продукция и нефтепродукты Подраздел: Материалы для магистральных нефтепроводов Раздел 5.10. Арматура и приборы осветительные Подраздел: Светильники Подраздел: Лампы электрические | Разработан: | ОАО РЖД НО Национальная ассоциация стоимостного инжиниринга
| Утверждён: | 31.01.2011 ОАО РЖД (178р)
| Расположен в: |
|
                                                                                                                                                                                                                                                                                                                                                                                                                                                                                                                                                                                                                                                                                                                                                                                                                                                                                                                                                                                                                                                                              
|