Информационная система
«Ёшкин Кот»

Скачать базу одним архивом
Скачать обновления
История создания базы
Карта сайта

Скачать ОЕРЖ 81-02-Пр(1)-2001 Приложения

Дата актуализации: 10.08.2017

ОЕРЖ 81-02-Пр(1)-2001

Приложения

Обозначение: ОЕРЖ 81-02-Пр(1)-2001
Обозначение англ: 81-02-Пр(1)-2001
Статус:действует
Название рус.:Приложения
Дата добавления в базу:12.02.2016
Дата актуализации:05.05.2017
Дата введения:01.06.2011
Область применения:Отраслевые единичные расценки на строительные и специальные строительные работы предназначены для определения затрат при выполнении строительных работ и составления на их основе сметных расчетов (смет) на производство указанных работ.
Оглавление:IV. Приложения
Земляные работы
Горно-вскрышные работы
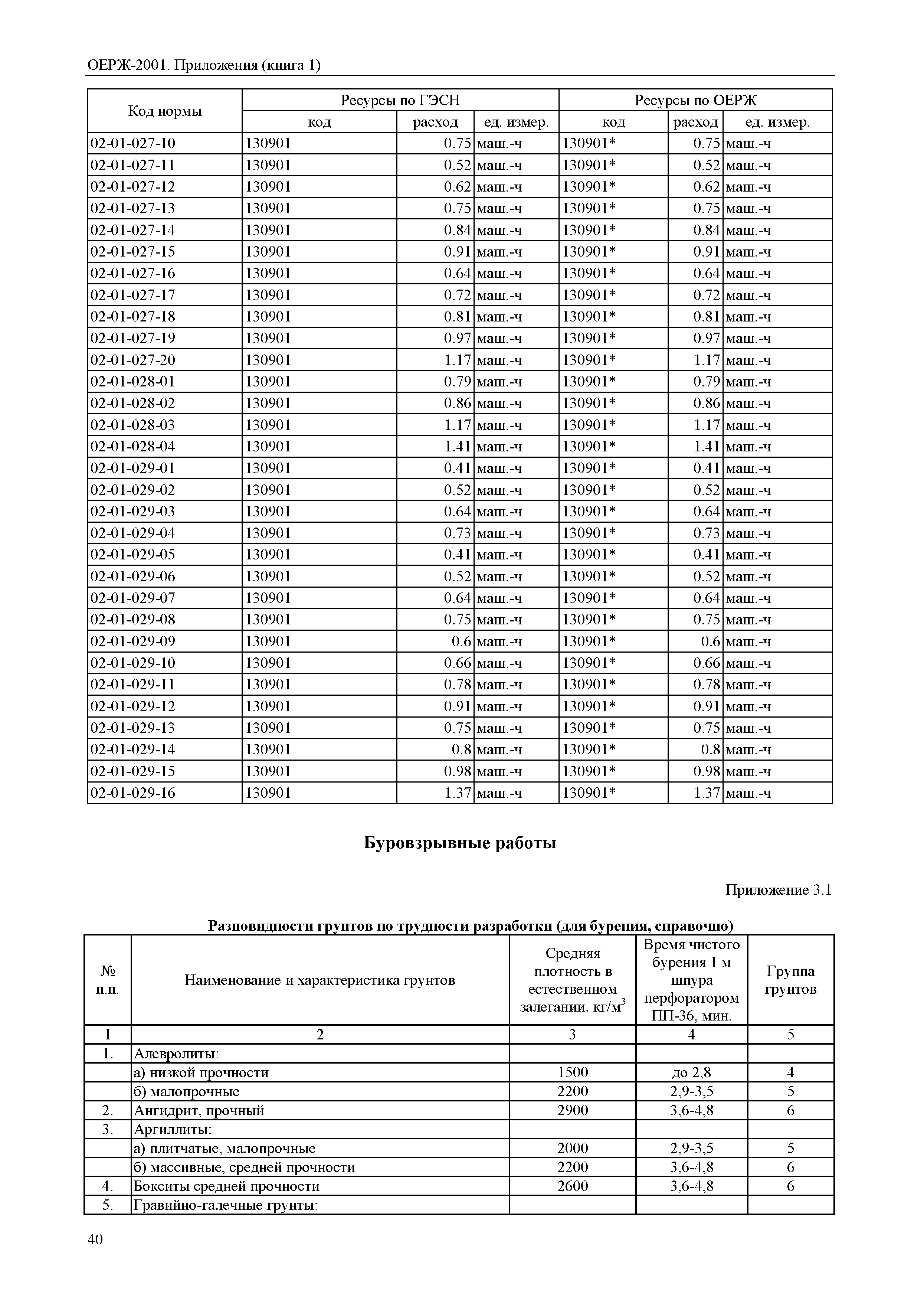
Буровзрывные работы
Скважины
Свайные работы. Опускные колодцы. Закрепление грунтов
Бетонные и железобетонные конструкции монолитные
Бетонные и железобетонные конструкции сборные
Конструкции из кирпича и блоков
Строительные металлические конструкции
Деревянные конструкции
Полы
Кровли
Защита строительных конструкций и оборудования от коррозии
Конструкции в сельском строительстве
Отделочные работы
Трубопроводы внутренние
Водопровод и канализация — внутренние устройства
Отопление — внутренние устройства
Газоснабжение — внутренние устройства
Вентиляция и кондиционирование воздуха
Временные сборно-разборные здания и сооружения
Водопровод — наружные сети
Канализация — наружные сети
Теплоснабжение и газопроводы — наружные сети
Теплоизоляционные работы
Автомобильные дороги
Разработан: ОАО РЖД
НО Национальная ассоциация стоимостного инжиниринга
Утверждён:31.01.2011 ОАО РЖД (178р)
Расположен в:Техническая документация Строительство Нормативные документы Отраслевые и ведомственные нормативно-методические документы Проектирование и строительство железных дорог
ОЕРЖ 81-02-Пр(1)-2001ОЕРЖ 81-02-Пр(1)-2001ОЕРЖ 81-02-Пр(1)-2001ОЕРЖ 81-02-Пр(1)-2001ОЕРЖ 81-02-Пр(1)-2001ОЕРЖ 81-02-Пр(1)-2001ОЕРЖ 81-02-Пр(1)-2001ОЕРЖ 81-02-Пр(1)-2001ОЕРЖ 81-02-Пр(1)-2001ОЕРЖ 81-02-Пр(1)-2001ОЕРЖ 81-02-Пр(1)-2001ОЕРЖ 81-02-Пр(1)-2001ОЕРЖ 81-02-Пр(1)-2001ОЕРЖ 81-02-Пр(1)-2001ОЕРЖ 81-02-Пр(1)-2001ОЕРЖ 81-02-Пр(1)-2001ОЕРЖ 81-02-Пр(1)-2001ОЕРЖ 81-02-Пр(1)-2001ОЕРЖ 81-02-Пр(1)-2001ОЕРЖ 81-02-Пр(1)-2001ОЕРЖ 81-02-Пр(1)-2001ОЕРЖ 81-02-Пр(1)-2001ОЕРЖ 81-02-Пр(1)-2001ОЕРЖ 81-02-Пр(1)-2001ОЕРЖ 81-02-Пр(1)-2001ОЕРЖ 81-02-Пр(1)-2001ОЕРЖ 81-02-Пр(1)-2001ОЕРЖ 81-02-Пр(1)-2001ОЕРЖ 81-02-Пр(1)-2001ОЕРЖ 81-02-Пр(1)-2001ОЕРЖ 81-02-Пр(1)-2001ОЕРЖ 81-02-Пр(1)-2001ОЕРЖ 81-02-Пр(1)-2001ОЕРЖ 81-02-Пр(1)-2001ОЕРЖ 81-02-Пр(1)-2001ОЕРЖ 81-02-Пр(1)-2001ОЕРЖ 81-02-Пр(1)-2001ОЕРЖ 81-02-Пр(1)-2001ОЕРЖ 81-02-Пр(1)-2001ОЕРЖ 81-02-Пр(1)-2001ОЕРЖ 81-02-Пр(1)-2001ОЕРЖ 81-02-Пр(1)-2001ОЕРЖ 81-02-Пр(1)-2001ОЕРЖ 81-02-Пр(1)-2001ОЕРЖ 81-02-Пр(1)-2001ОЕРЖ 81-02-Пр(1)-2001ОЕРЖ 81-02-Пр(1)-2001ОЕРЖ 81-02-Пр(1)-2001ОЕРЖ 81-02-Пр(1)-2001ОЕРЖ 81-02-Пр(1)-2001ОЕРЖ 81-02-Пр(1)-2001ОЕРЖ 81-02-Пр(1)-2001ОЕРЖ 81-02-Пр(1)-2001ОЕРЖ 81-02-Пр(1)-2001ОЕРЖ 81-02-Пр(1)-2001ОЕРЖ 81-02-Пр(1)-2001ОЕРЖ 81-02-Пр(1)-2001ОЕРЖ 81-02-Пр(1)-2001ОЕРЖ 81-02-Пр(1)-2001ОЕРЖ 81-02-Пр(1)-2001ОЕРЖ 81-02-Пр(1)-2001ОЕРЖ 81-02-Пр(1)-2001ОЕРЖ 81-02-Пр(1)-2001ОЕРЖ 81-02-Пр(1)-2001ОЕРЖ 81-02-Пр(1)-2001ОЕРЖ 81-02-Пр(1)-2001ОЕРЖ 81-02-Пр(1)-2001ОЕРЖ 81-02-Пр(1)-2001ОЕРЖ 81-02-Пр(1)-2001ОЕРЖ 81-02-Пр(1)-2001ОЕРЖ 81-02-Пр(1)-2001ОЕРЖ 81-02-Пр(1)-2001ОЕРЖ 81-02-Пр(1)-2001ОЕРЖ 81-02-Пр(1)-2001ОЕРЖ 81-02-Пр(1)-2001ОЕРЖ 81-02-Пр(1)-2001ОЕРЖ 81-02-Пр(1)-2001ОЕРЖ 81-02-Пр(1)-2001ОЕРЖ 81-02-Пр(1)-2001ОЕРЖ 81-02-Пр(1)-2001ОЕРЖ 81-02-Пр(1)-2001ОЕРЖ 81-02-Пр(1)-2001ОЕРЖ 81-02-Пр(1)-2001ОЕРЖ 81-02-Пр(1)-2001ОЕРЖ 81-02-Пр(1)-2001ОЕРЖ 81-02-Пр(1)-2001ОЕРЖ 81-02-Пр(1)-2001ОЕРЖ 81-02-Пр(1)-2001ОЕРЖ 81-02-Пр(1)-2001ОЕРЖ 81-02-Пр(1)-2001ОЕРЖ 81-02-Пр(1)-2001ОЕРЖ 81-02-Пр(1)-2001ОЕРЖ 81-02-Пр(1)-2001ОЕРЖ 81-02-Пр(1)-2001ОЕРЖ 81-02-Пр(1)-2001ОЕРЖ 81-02-Пр(1)-2001ОЕРЖ 81-02-Пр(1)-2001ОЕРЖ 81-02-Пр(1)-2001ОЕРЖ 81-02-Пр(1)-2001ОЕРЖ 81-02-Пр(1)-2001ОЕРЖ 81-02-Пр(1)-2001ОЕРЖ 81-02-Пр(1)-2001ОЕРЖ 81-02-Пр(1)-2001ОЕРЖ 81-02-Пр(1)-2001ОЕРЖ 81-02-Пр(1)-2001ОЕРЖ 81-02-Пр(1)-2001ОЕРЖ 81-02-Пр(1)-2001ОЕРЖ 81-02-Пр(1)-2001ОЕРЖ 81-02-Пр(1)-2001ОЕРЖ 81-02-Пр(1)-2001ОЕРЖ 81-02-Пр(1)-2001ОЕРЖ 81-02-Пр(1)-2001ОЕРЖ 81-02-Пр(1)-2001ОЕРЖ 81-02-Пр(1)-2001ОЕРЖ 81-02-Пр(1)-2001ОЕРЖ 81-02-Пр(1)-2001ОЕРЖ 81-02-Пр(1)-2001ОЕРЖ 81-02-Пр(1)-2001ОЕРЖ 81-02-Пр(1)-2001ОЕРЖ 81-02-Пр(1)-2001ОЕРЖ 81-02-Пр(1)-2001ОЕРЖ 81-02-Пр(1)-2001ОЕРЖ 81-02-Пр(1)-2001ОЕРЖ 81-02-Пр(1)-2001ОЕРЖ 81-02-Пр(1)-2001ОЕРЖ 81-02-Пр(1)-2001ОЕРЖ 81-02-Пр(1)-2001ОЕРЖ 81-02-Пр(1)-2001ОЕРЖ 81-02-Пр(1)-2001ОЕРЖ 81-02-Пр(1)-2001ОЕРЖ 81-02-Пр(1)-2001ОЕРЖ 81-02-Пр(1)-2001ОЕРЖ 81-02-Пр(1)-2001ОЕРЖ 81-02-Пр(1)-2001ОЕРЖ 81-02-Пр(1)-2001ОЕРЖ 81-02-Пр(1)-2001ОЕРЖ 81-02-Пр(1)-2001ОЕРЖ 81-02-Пр(1)-2001ОЕРЖ 81-02-Пр(1)-2001ОЕРЖ 81-02-Пр(1)-2001ОЕРЖ 81-02-Пр(1)-2001ОЕРЖ 81-02-Пр(1)-2001ОЕРЖ 81-02-Пр(1)-2001ОЕРЖ 81-02-Пр(1)-2001ОЕРЖ 81-02-Пр(1)-2001ОЕРЖ 81-02-Пр(1)-2001ОЕРЖ 81-02-Пр(1)-2001ОЕРЖ 81-02-Пр(1)-2001ОЕРЖ 81-02-Пр(1)-2001ОЕРЖ 81-02-Пр(1)-2001ОЕРЖ 81-02-Пр(1)-2001ОЕРЖ 81-02-Пр(1)-2001ОЕРЖ 81-02-Пр(1)-2001ОЕРЖ 81-02-Пр(1)-2001ОЕРЖ 81-02-Пр(1)-2001ОЕРЖ 81-02-Пр(1)-2001ОЕРЖ 81-02-Пр(1)-2001ОЕРЖ 81-02-Пр(1)-2001ОЕРЖ 81-02-Пр(1)-2001ОЕРЖ 81-02-Пр(1)-2001ОЕРЖ 81-02-Пр(1)-2001ОЕРЖ 81-02-Пр(1)-2001ОЕРЖ 81-02-Пр(1)-2001ОЕРЖ 81-02-Пр(1)-2001ОЕРЖ 81-02-Пр(1)-2001ОЕРЖ 81-02-Пр(1)-2001ОЕРЖ 81-02-Пр(1)-2001ОЕРЖ 81-02-Пр(1)-2001ОЕРЖ 81-02-Пр(1)-2001ОЕРЖ 81-02-Пр(1)-2001ОЕРЖ 81-02-Пр(1)-2001ОЕРЖ 81-02-Пр(1)-2001ОЕРЖ 81-02-Пр(1)-2001ОЕРЖ 81-02-Пр(1)-2001ОЕРЖ 81-02-Пр(1)-2001ОЕРЖ 81-02-Пр(1)-2001ОЕРЖ 81-02-Пр(1)-2001ОЕРЖ 81-02-Пр(1)-2001ОЕРЖ 81-02-Пр(1)-2001ОЕРЖ 81-02-Пр(1)-2001ОЕРЖ 81-02-Пр(1)-2001ОЕРЖ 81-02-Пр(1)-2001ОЕРЖ 81-02-Пр(1)-2001ОЕРЖ 81-02-Пр(1)-2001ОЕРЖ 81-02-Пр(1)-2001ОЕРЖ 81-02-Пр(1)-2001ОЕРЖ 81-02-Пр(1)-2001ОЕРЖ 81-02-Пр(1)-2001ОЕРЖ 81-02-Пр(1)-2001ОЕРЖ 81-02-Пр(1)-2001ОЕРЖ 81-02-Пр(1)-2001ОЕРЖ 81-02-Пр(1)-2001ОЕРЖ 81-02-Пр(1)-2001ОЕРЖ 81-02-Пр(1)-2001ОЕРЖ 81-02-Пр(1)-2001ОЕРЖ 81-02-Пр(1)-2001ОЕРЖ 81-02-Пр(1)-2001ОЕРЖ 81-02-Пр(1)-2001ОЕРЖ 81-02-Пр(1)-2001ОЕРЖ 81-02-Пр(1)-2001ОЕРЖ 81-02-Пр(1)-2001ОЕРЖ 81-02-Пр(1)-2001ОЕРЖ 81-02-Пр(1)-2001ОЕРЖ 81-02-Пр(1)-2001ОЕРЖ 81-02-Пр(1)-2001ОЕРЖ 81-02-Пр(1)-2001ОЕРЖ 81-02-Пр(1)-2001ОЕРЖ 81-02-Пр(1)-2001ОЕРЖ 81-02-Пр(1)-2001ОЕРЖ 81-02-Пр(1)-2001ОЕРЖ 81-02-Пр(1)-2001ОЕРЖ 81-02-Пр(1)-2001ОЕРЖ 81-02-Пр(1)-2001ОЕРЖ 81-02-Пр(1)-2001ОЕРЖ 81-02-Пр(1)-2001ОЕРЖ 81-02-Пр(1)-2001ОЕРЖ 81-02-Пр(1)-2001ОЕРЖ 81-02-Пр(1)-2001ОЕРЖ 81-02-Пр(1)-2001ОЕРЖ 81-02-Пр(1)-2001ОЕРЖ 81-02-Пр(1)-2001ОЕРЖ 81-02-Пр(1)-2001ОЕРЖ 81-02-Пр(1)-2001ОЕРЖ 81-02-Пр(1)-2001ОЕРЖ 81-02-Пр(1)-2001ОЕРЖ 81-02-Пр(1)-2001ОЕРЖ 81-02-Пр(1)-2001ОЕРЖ 81-02-Пр(1)-2001ОЕРЖ 81-02-Пр(1)-2001ОЕРЖ 81-02-Пр(1)-2001ОЕРЖ 81-02-Пр(1)-2001ОЕРЖ 81-02-Пр(1)-2001ОЕРЖ 81-02-Пр(1)-2001ОЕРЖ 81-02-Пр(1)-2001ОЕРЖ 81-02-Пр(1)-2001ОЕРЖ 81-02-Пр(1)-2001ОЕРЖ 81-02-Пр(1)-2001ОЕРЖ 81-02-Пр(1)-2001ОЕРЖ 81-02-Пр(1)-2001ОЕРЖ 81-02-Пр(1)-2001ОЕРЖ 81-02-Пр(1)-2001ОЕРЖ 81-02-Пр(1)-2001ОЕРЖ 81-02-Пр(1)-2001ОЕРЖ 81-02-Пр(1)-2001ОЕРЖ 81-02-Пр(1)-2001ОЕРЖ 81-02-Пр(1)-2001ОЕРЖ 81-02-Пр(1)-2001ОЕРЖ 81-02-Пр(1)-2001ОЕРЖ 81-02-Пр(1)-2001ОЕРЖ 81-02-Пр(1)-2001ОЕРЖ 81-02-Пр(1)-2001ОЕРЖ 81-02-Пр(1)-2001ОЕРЖ 81-02-Пр(1)-2001ОЕРЖ 81-02-Пр(1)-2001ОЕРЖ 81-02-Пр(1)-2001ОЕРЖ 81-02-Пр(1)-2001ОЕРЖ 81-02-Пр(1)-2001ОЕРЖ 81-02-Пр(1)-2001ОЕРЖ 81-02-Пр(1)-2001ОЕРЖ 81-02-Пр(1)-2001ОЕРЖ 81-02-Пр(1)-2001ОЕРЖ 81-02-Пр(1)-2001ОЕРЖ 81-02-Пр(1)-2001ОЕРЖ 81-02-Пр(1)-2001ОЕРЖ 81-02-Пр(1)-2001ОЕРЖ 81-02-Пр(1)-2001ОЕРЖ 81-02-Пр(1)-2001ОЕРЖ 81-02-Пр(1)-2001ОЕРЖ 81-02-Пр(1)-2001ОЕРЖ 81-02-Пр(1)-2001ОЕРЖ 81-02-Пр(1)-2001ОЕРЖ 81-02-Пр(1)-2001ОЕРЖ 81-02-Пр(1)-2001ОЕРЖ 81-02-Пр(1)-2001ОЕРЖ 81-02-Пр(1)-2001ОЕРЖ 81-02-Пр(1)-2001ОЕРЖ 81-02-Пр(1)-2001ОЕРЖ 81-02-Пр(1)-2001ОЕРЖ 81-02-Пр(1)-2001ОЕРЖ 81-02-Пр(1)-2001ОЕРЖ 81-02-Пр(1)-2001ОЕРЖ 81-02-Пр(1)-2001ОЕРЖ 81-02-Пр(1)-2001ОЕРЖ 81-02-Пр(1)-2001ОЕРЖ 81-02-Пр(1)-2001ОЕРЖ 81-02-Пр(1)-2001ОЕРЖ 81-02-Пр(1)-2001ОЕРЖ 81-02-Пр(1)-2001ОЕРЖ 81-02-Пр(1)-2001ОЕРЖ 81-02-Пр(1)-2001ОЕРЖ 81-02-Пр(1)-2001ОЕРЖ 81-02-Пр(1)-2001ОЕРЖ 81-02-Пр(1)-2001ОЕРЖ 81-02-Пр(1)-2001ОЕРЖ 81-02-Пр(1)-2001ОЕРЖ 81-02-Пр(1)-2001ОЕРЖ 81-02-Пр(1)-2001ОЕРЖ 81-02-Пр(1)-2001ОЕРЖ 81-02-Пр(1)-2001ОЕРЖ 81-02-Пр(1)-2001ОЕРЖ 81-02-Пр(1)-2001ОЕРЖ 81-02-Пр(1)-2001ОЕРЖ 81-02-Пр(1)-2001ОЕРЖ 81-02-Пр(1)-2001ОЕРЖ 81-02-Пр(1)-2001ОЕРЖ 81-02-Пр(1)-2001ОЕРЖ 81-02-Пр(1)-2001ОЕРЖ 81-02-Пр(1)-2001ОЕРЖ 81-02-Пр(1)-2001ОЕРЖ 81-02-Пр(1)-2001ОЕРЖ 81-02-Пр(1)-2001ОЕРЖ 81-02-Пр(1)-2001ОЕРЖ 81-02-Пр(1)-2001ОЕРЖ 81-02-Пр(1)-2001ОЕРЖ 81-02-Пр(1)-2001ОЕРЖ 81-02-Пр(1)-2001ОЕРЖ 81-02-Пр(1)-2001ОЕРЖ 81-02-Пр(1)-2001ОЕРЖ 81-02-Пр(1)-2001ОЕРЖ 81-02-Пр(1)-2001ОЕРЖ 81-02-Пр(1)-2001ОЕРЖ 81-02-Пр(1)-2001ОЕРЖ 81-02-Пр(1)-2001ОЕРЖ 81-02-Пр(1)-2001ОЕРЖ 81-02-Пр(1)-2001ОЕРЖ 81-02-Пр(1)-2001ОЕРЖ 81-02-Пр(1)-2001ОЕРЖ 81-02-Пр(1)-2001ОЕРЖ 81-02-Пр(1)-2001ОЕРЖ 81-02-Пр(1)-2001ОЕРЖ 81-02-Пр(1)-2001ОЕРЖ 81-02-Пр(1)-2001ОЕРЖ 81-02-Пр(1)-2001ОЕРЖ 81-02-Пр(1)-2001

© 2013 Ёшкин Кот :-) Карта сайта