Скачать ОЕРЖ 81-02-47-2001 Часть 47. Озеленения и защитные лесонасаждения. Книга 1 (Северный, Северо-Западный, Центральный, Волго-Вятский, Центрально-Черноземный, Поволжский, Северо-Кавказский территориальные районы)Дата актуализации: 10.08.2017 ОЕРЖ 81-02-47-2001
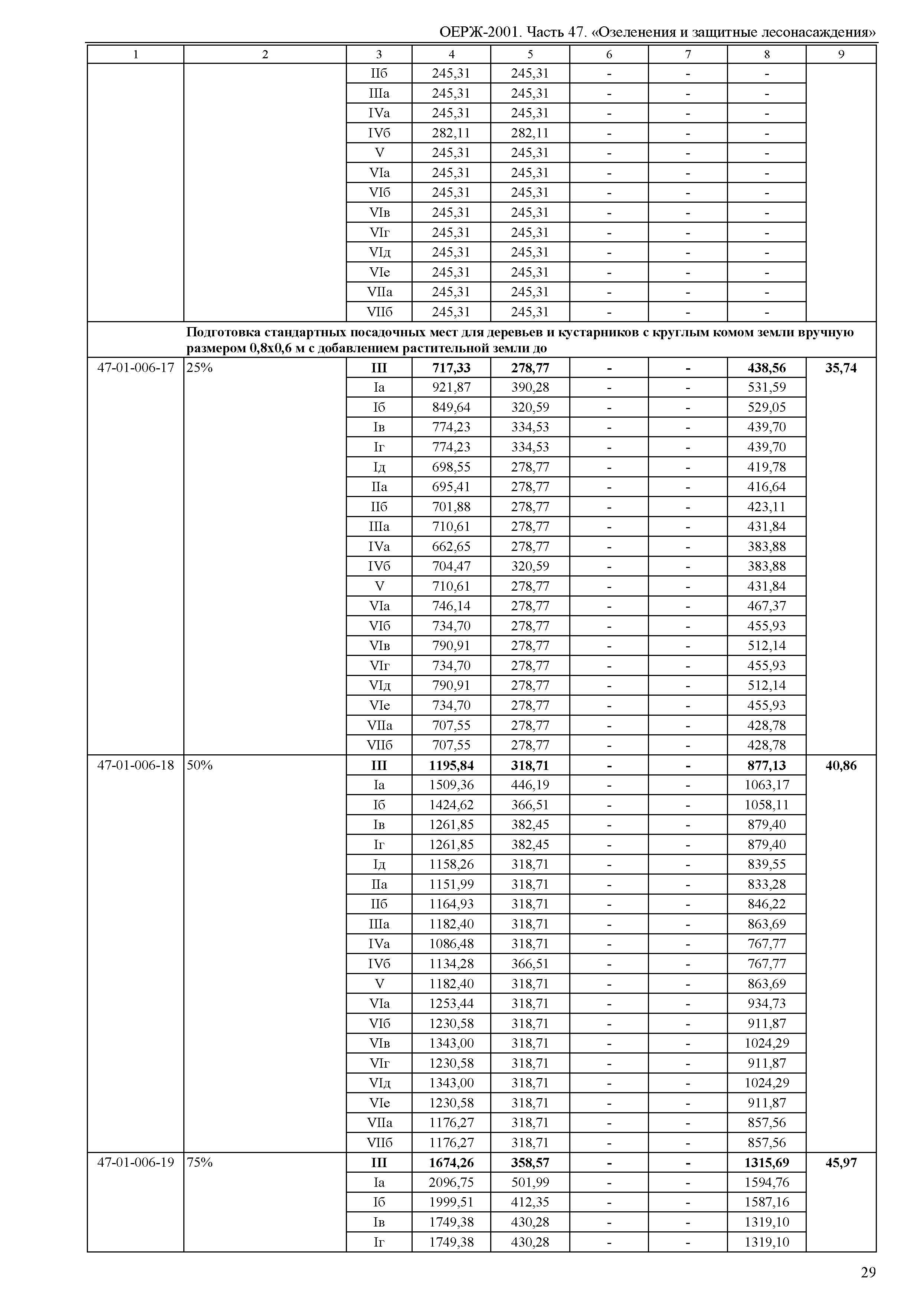
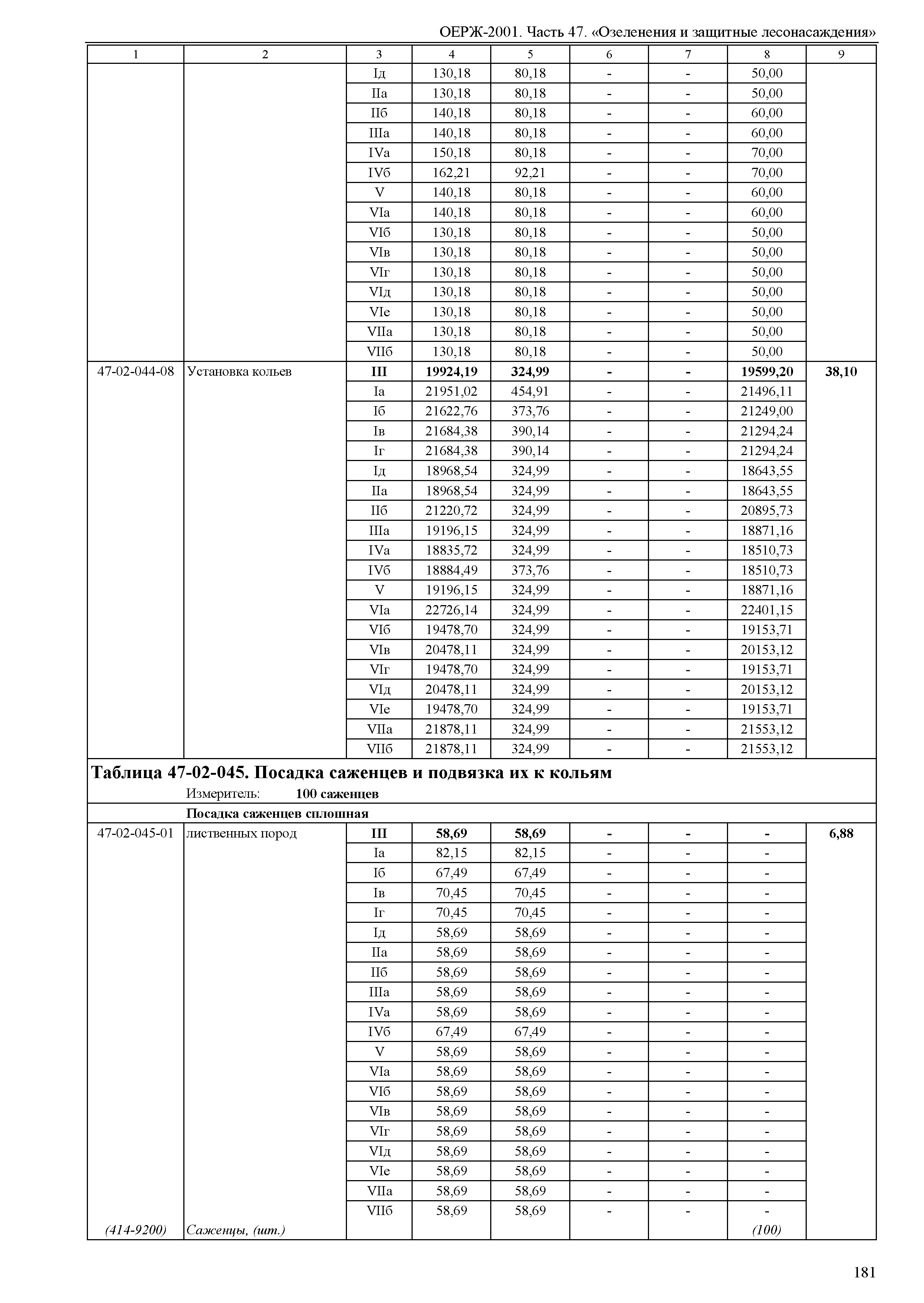
Часть 47. Озеленения и защитные лесонасаждения. Книга 1 (Северный, Северо-Западный, Центральный, Волго-Вятский, Центрально-Черноземный, Поволжский, Северо-Кавказский территориальные районы)Обозначение: | ОЕРЖ 81-02-47-2001 | Обозначение англ: | 81-02-47-2001 | Статус: | действует | Название рус.: | Часть 47. Озеленения и защитные лесонасаждения. Книга 1 (Северный, Северо-Западный, Центральный, Волго-Вятский, Центрально-Черноземный, Поволжский, Северо-Кавказский территориальные районы) | Дата добавления в базу: | 12.02.2016 | Дата актуализации: | 05.05.2017 | Дата введения: | 01.06.2011 | Область применения: | Отраслевые единичные расценки на строительные и специальные строительные работы предназначены для определения затрат при выполнении строительных работ и составления на их основе сметных расчетов (смет) на производство указанных работ. | Оглавление: | Часть 47. Озеленение. Защитные лесонасаждения Раздел 1. Озеленение Подраздел 1.1 Подготовка участка для озеленения Подраздел 1.2 Подготовка посадочных мест и посадка деревьев и кустарников с комом земли Подраздел 1.3 Подготовка посадочных мест и посадка деревьев-саженцев Подраздел 1.4 Подготовка посадочных мест и посадка кустарников-саженцев в группы Подраздел 1.5 Подготовка посадочных мест и посадка кустарников-саженцев в живую изгородь Подраздел 1.6 Внесение удобрений и устройство изоляции при посадке деревьев и кустарников Подраздел 1.7 Устройство газонов, цветников, альпинариев и рокариев Подраздел 1.8 Заготовка деревьев и кустарников, растительной земли, перегноя и дерна Подраздел 1.9 Уход за зелеными насаждениями (комплексные нормы) Подраздел 1.10 Уход за зелеными насаждениями (операционные нормы) Подраздел 1.11 Уход за эфиромасличными культурами Подраздел 1.12 Прочие работы Подраздел 1.13 Разные работы Раздел 2. Защитные лесонасаждения Подраздел 2.1 Обработка почвы по системам зяблевой вспашки и черного пара на старопахотных, целинных и залежных землях, черного пара с плантажной вспашкой Подраздел 2.2 Механизированная вспашка почвы по операциям Подраздел 2.3 Плантажная вспашка, лущение стерни, дискование, боронование и культивация почвы Подраздел 2.4 Обработка раскорчеванных площадей и первичная обработка осушенных площадей Подраздел 2.5 Механизированная посадка и посев лесных культур Подраздел 2.6 Частичная обработка почвы полосами, нарезка и прикатка пластов, нарезка борозд на вырубках Подраздел 2.7 Посадка саженцев и сеянцев в частично подготовленную почву и уход за посадками на вырубках Подраздел 2.8 Копка ям Подраздел 2.9 Посадка сеянцев, саженцев, черенков, установка кольев и посев желудей вручную Подраздел 2.10 Внесение удобрений Подраздел 2.11 Уход за лесными культурами Подраздел 2.12 Устройство террас, посадка сеянцев и уход за ними Подраздел 2.13 Закрепление и облесение песков Подраздел 2.14 Опрыскивание лесных культур Подраздел 2.15 Прочие работы | Разработан: | ОАО РЖД НО Национальная ассоциация стоимостного инжиниринга
| Утверждён: | 31.01.2011 ОАО РЖД (178р)
| Расположен в: |
|
                                                                                                                                                                                                                            
|