Скачать ОЕРЖ 81-02-44-2001 Часть 44. Подводно-строительные (водолазные) работы. Книга 2 (Уральский, Западно-Сибирский, Восточно-Сибирский, Дальневосточный территориальные районы)Дата актуализации: 10.08.2017 ОЕРЖ 81-02-44-2001
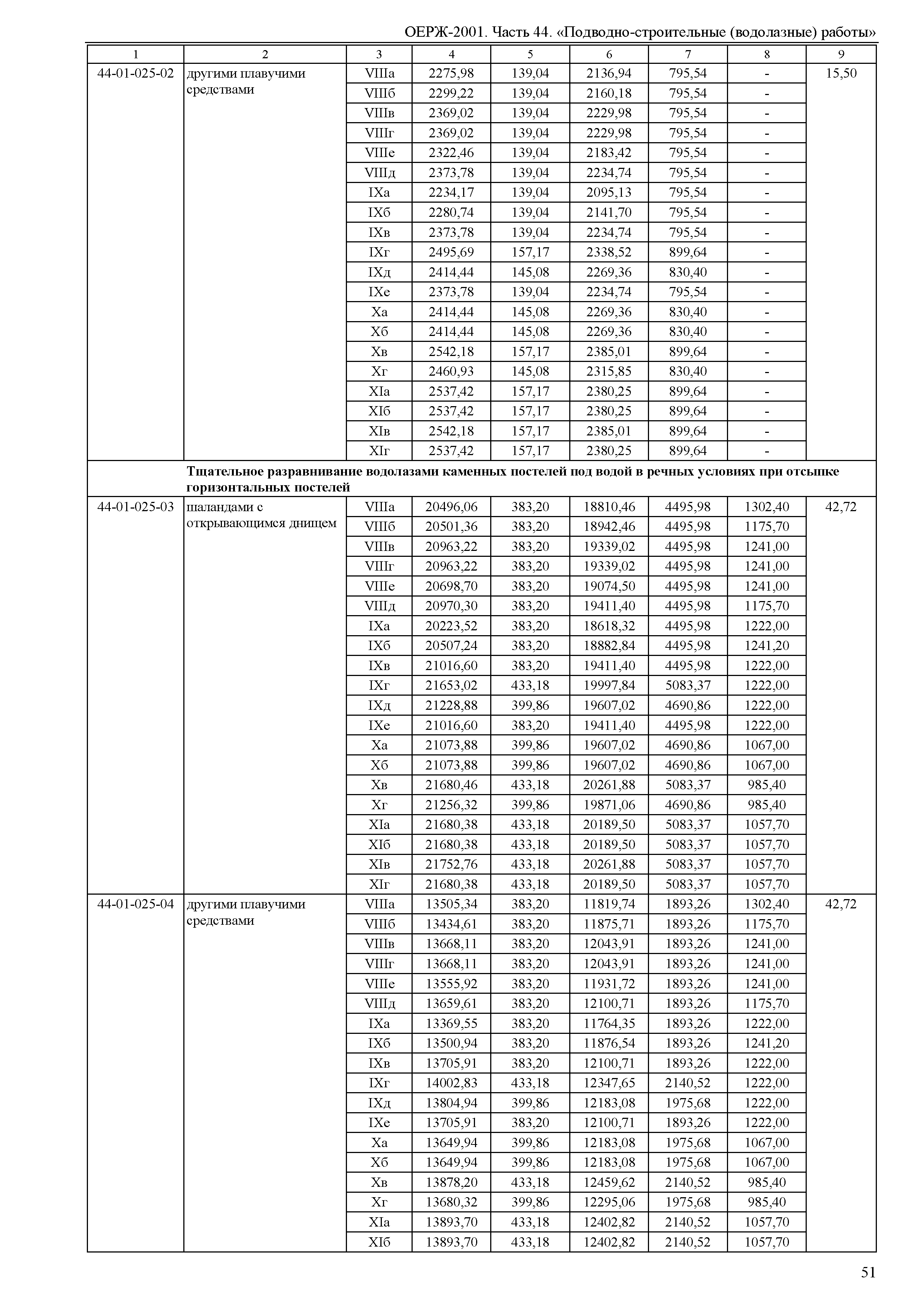
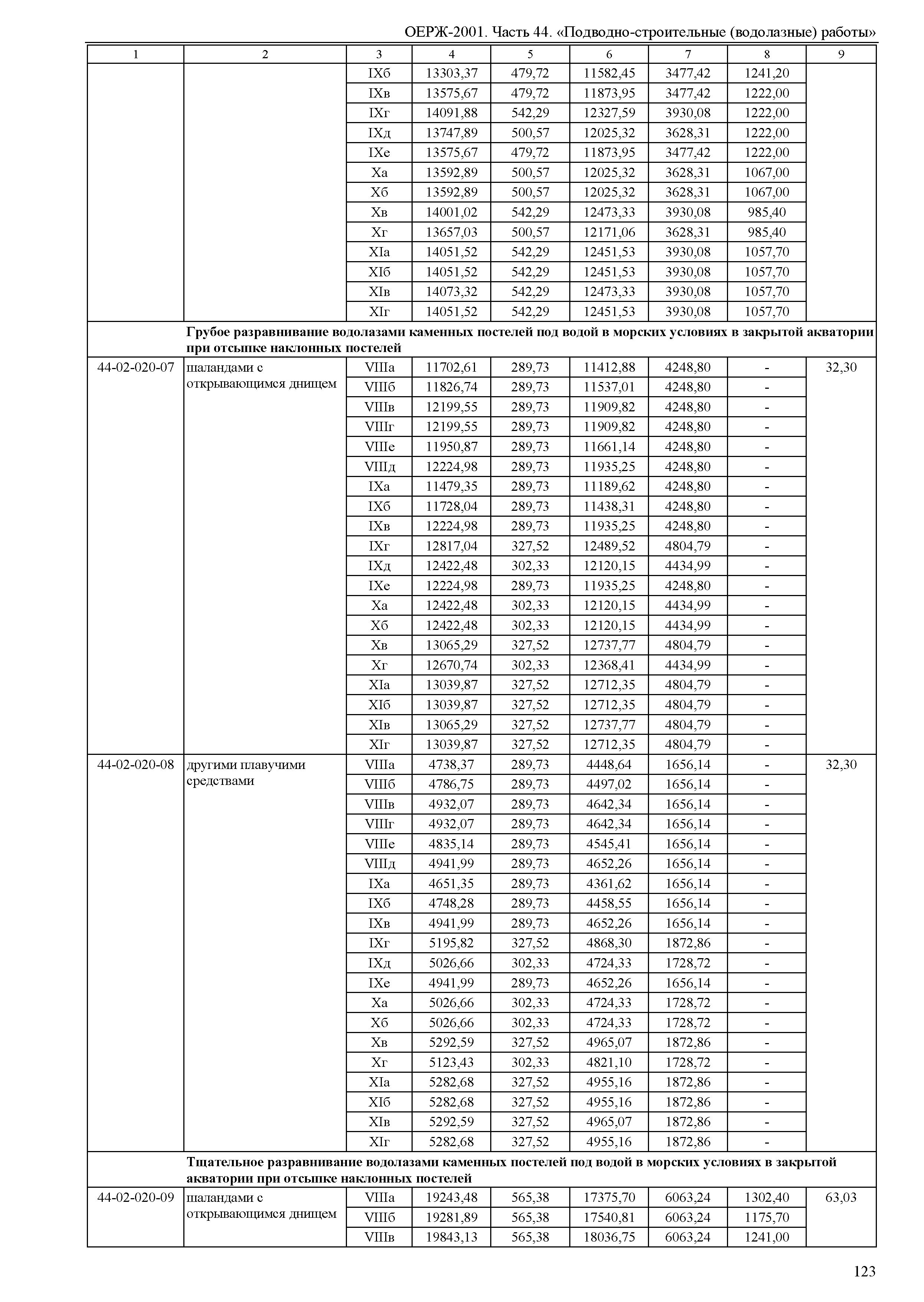
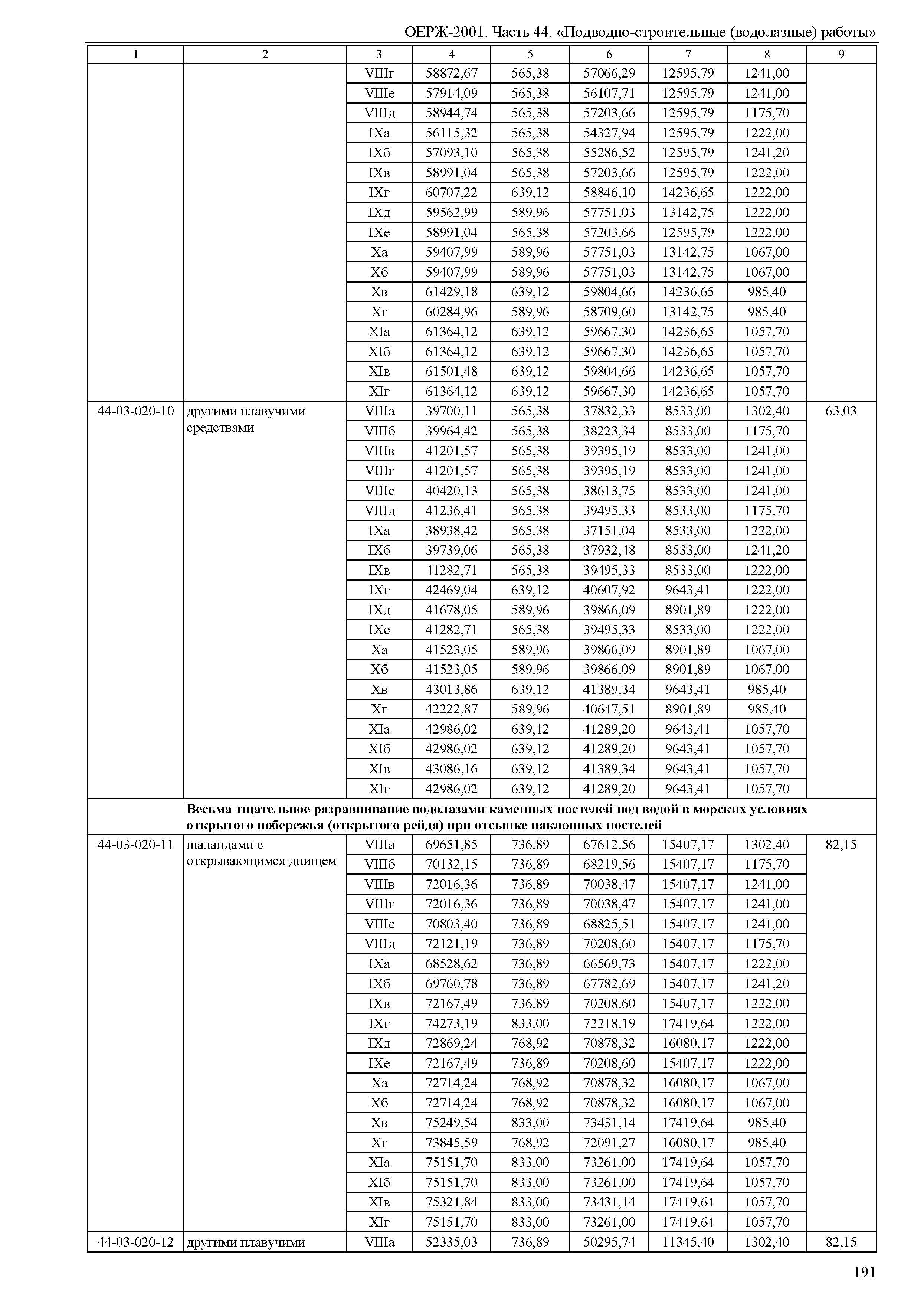
Часть 44. Подводно-строительные (водолазные) работы. Книга 2 (Уральский, Западно-Сибирский, Восточно-Сибирский, Дальневосточный территориальные районы)Обозначение: | ОЕРЖ 81-02-44-2001 | Обозначение англ: | 81-02-44-2001 | Статус: | действует | Название рус.: | Часть 44. Подводно-строительные (водолазные) работы. Книга 2 (Уральский, Западно-Сибирский, Восточно-Сибирский, Дальневосточный территориальные районы) | Дата добавления в базу: | 12.02.2016 | Дата актуализации: | 05.05.2017 | Дата введения: | 01.06.2011 | Область применения: | Отраслевые единичные расценки на строительные и специальные строительные работы предназначены для определения затрат при выполнении строительных работ и составления на их основе сметных расчетов (смет) на производство указанных работ. | Оглавление: | Отдел 01. Подводно-строительные (водолазные) работы в речных условиях (реки, озера, водохранилища) Раздел 1. Разработка грунта в речных условиях (реки, озера, водохранилища) Раздел 2. Подъем из воды разных предметов в речных условиях (реки, озера, водохранилища) Раздел 3. Разравнивание каменных, щебеночных (гравийных) и песчаных постелей в речных условиях (реки, озера, водохранилища) Раздел 4. Подводное бетонирование в речных условиях (реки, озера, водохранилища) Раздел 5. Подводные работы с металлическими конструкциями в речных условиях (реки, озера, водохранилища) Раздел 6. Укладка трубопроводов в речных условиях (реки, озера, водохранилища) Раздел 7. Укладка кабеля в речных условиях (реки, озера, водохранилища) Раздел 8. Опускание металлических и железобетонных конструкций под воду в речных условиях (реки, озера, водохранилища) Раздел 9. Водолазное обследование речных условий (реки, озера, водохранилища) Раздел 10. Перемещение и выемка камня и щебня из воды в речных условиях (реки, озера, водохранилища) Раздел 11. сварка плетей трубопровода в речных условиях (реки, озера, водохранилища) Раздел 12. Устройство элементов деревянных конструкций в речных условиях (реки, озера, водохранилища) Раздел 13. крепление подводной части откосов в речных условиях (реки, озера, водохранилища) Раздел 14. Обетонирование трубопроводов в полевых условиях Отдел 02. Подводно-строительные (водолазные) работы в морских условиях в закрытой акватории Раздел 1. Разработка грунта в морских условиях в закрытой акватории Раздел 2. Подъем из воды разных предметов в морских условиях в закрытой акватории Раздел 3. Разравнивание и уплотнение каменных, щебеночных (гравийных) и песчаных постелей в морских условиях в закрытой акватории Раздел 4. Подводное бетонирование в морских условиях в закрытой акватории Раздел 5. Подводные работы с металлическими конструкциями в морских условиях в закрытой акватории Раздел 6. Укладка трубопроводов в морских условиях в закрытой акватории Раздел 7. Укладка кабеля в морских условиях в закрытой акватории Раздел 8. Опускание металлических и железобетонных конструкций под воду в морских условиях в закрытой акватории Раздел 9. водолазное обследование в морских условиях в закрытой акватории Раздел 10. Перемещение и выемка камня и щебня из воды в морских условиях в закрытой акватории Раздел 11. сварка плетей трубопровода в морских условиях в закрытой акватории Раздел 12. Установка швартовых бочек в морских условиях в закрытой акватории Раздел 13. устройство элементов деревянных конструкций в морских условиях в закрытой акватории Раздел 14. крепление подводной части откосов в морских условиях в закрытой акватории Отдел 03. Подводно-строительные (водолазные) работы в морских условиях открытого побережья (открытого рейда) Раздел 1. Разработка грунта в морских условиях открытого побережья (открытого рейда) Раздел 2. Подъем из воды разных предметов в морских условиях открытого побережья (открытого рейда) Раздел 3. Разравнивание и уплотнение каменных, щебеночных (гравийных) и песчаных постелей в морских условиях открытого побережья (открытого рейда) Раздел 4. Подводное бетонирование в морских условиях открытого побережья (открытого рейда) Раздел 5. Подводные работы с металлическими конструкциями в морских условиях открытого побережья (открытого рейда) Раздел 6. Укладка трубопроводов в морских условиях открытого побережья (открытого рейда) Раздел 7. Укладка кабеля в морских условиях открытого побережья (открытого рейда) Раздел 8. Опускание металлических и железобетонных конструкций под воду в морских условиях открытого побережья (открытого рейда) Раздел 9. Водолазное обследование в морских условиях открытого побережья (открытого рейда) Раздел 10. Перемещение и выемка камня и щебня из воды в морских условиях открытого побережья (открытого рейда) Раздел 11. Сварка плетей трубопровода в морских условиях открытого побережья (открытого рейда) Раздел 12. Установка швартовных бочек в морских условиях открытого побережья (открытого рейда) Раздел 13. Устройство элементов деревянных конструкций в морских условиях открытого побережья (открытого рейда) Раздел 14. Крепление подводной части откосов в морских условиях открытого побережья (открытого рейда) | Разработан: | ОАО РЖД НО Национальная ассоциация стоимостного инжиниринга
| Утверждён: | 31.01.2011 ОАО РЖД (178р)
| Расположен в: |
|
                                                                                                                                                                                                                                                   
|