Скачать ОЕРЖ 81-02-40-2001 Часть 40. Деревянные конструкции гидротехнических сооружений. Книга 1 (Северный, Северо-Западный, Центральный, Волго-Вятский, Центрально-Черноземный, Поволжский, Северо-Кавказский территориальные районы)Дата актуализации: 10.08.2017 ОЕРЖ 81-02-40-2001
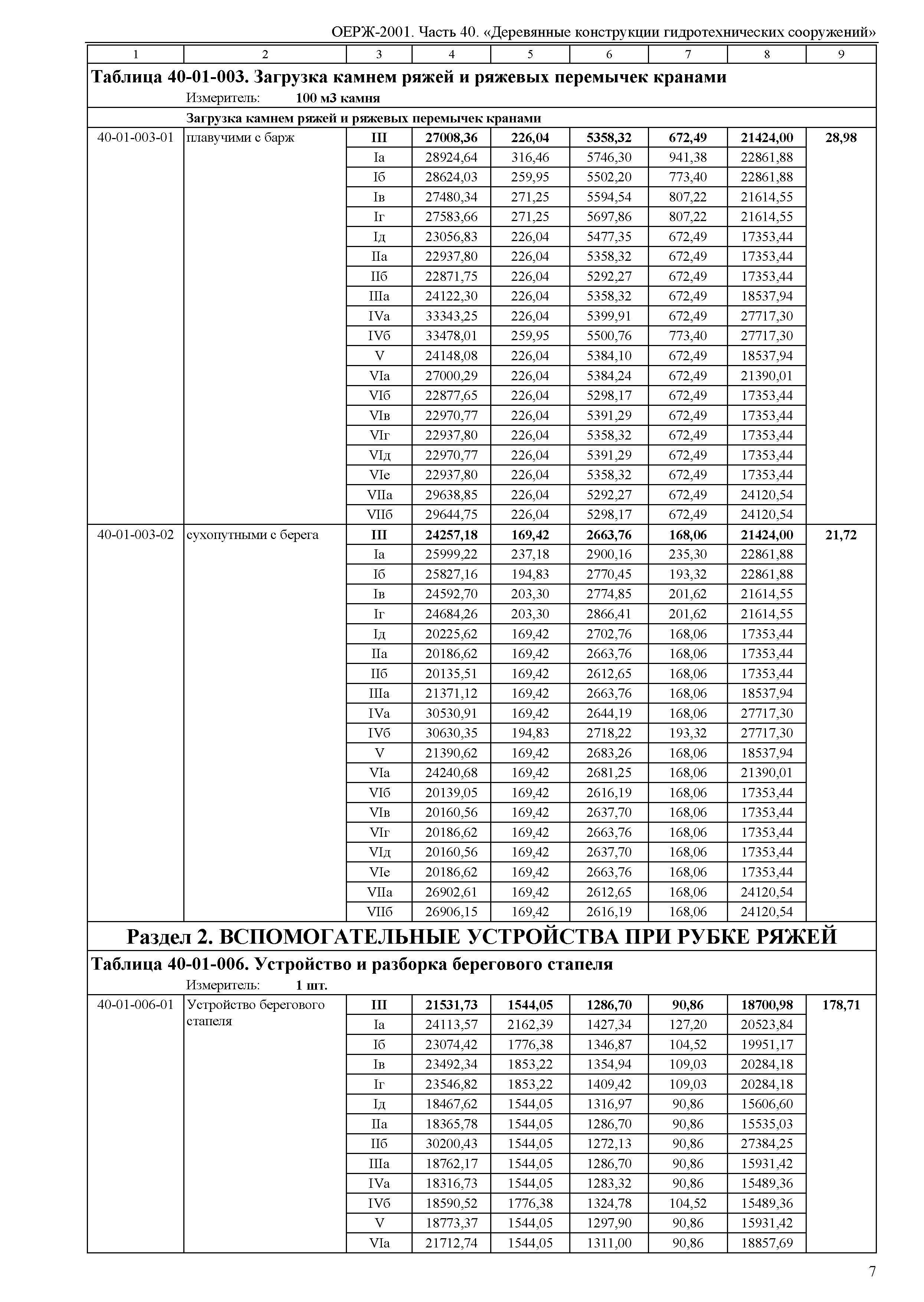
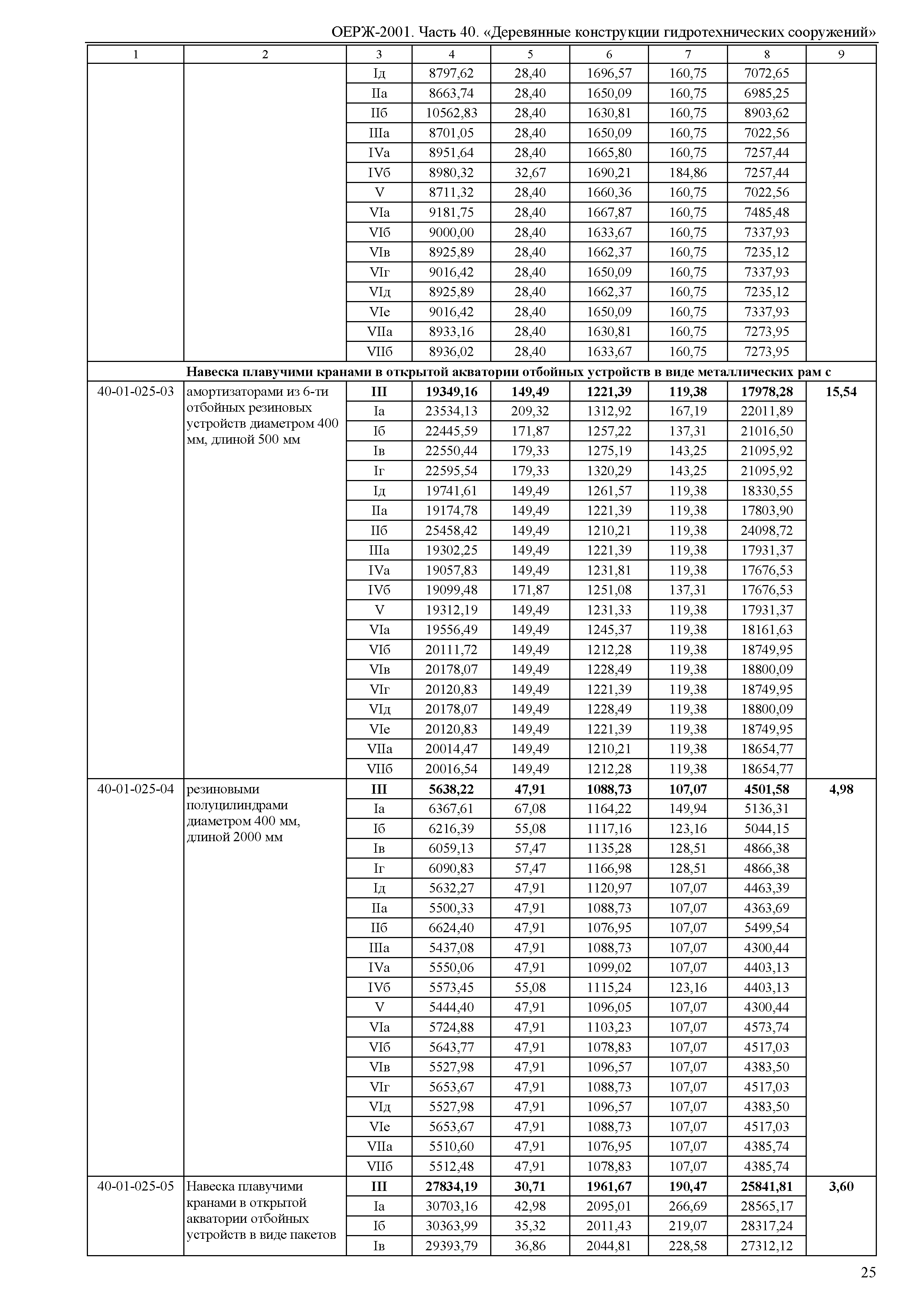
Часть 40. Деревянные конструкции гидротехнических сооружений. Книга 1 (Северный, Северо-Западный, Центральный, Волго-Вятский, Центрально-Черноземный, Поволжский, Северо-Кавказский территориальные районы)Обозначение: | ОЕРЖ 81-02-40-2001 | Обозначение англ: | 81-02-40-2001 | Статус: | действует | Название рус.: | Часть 40. Деревянные конструкции гидротехнических сооружений. Книга 1 (Северный, Северо-Западный, Центральный, Волго-Вятский, Центрально-Черноземный, Поволжский, Северо-Кавказский территориальные районы) | Дата добавления в базу: | 12.02.2016 | Дата актуализации: | 05.05.2017 | Дата введения: | 01.06.2011 | Область применения: | Отраслевые единичные расценки на строительные и специальные строительные работы предназначены для определения затрат при выполнении строительных работ и составления на их основе сметных расчетов (смет) на производство указанных работ. | Оглавление: | Раздел 1. Ряжи Раздел 2. вспомогательные устройства при рубке ряжей Раздел 3. Перемычки ряжевые Раздел 4. Полы и обшивка стен плотин и шлюзов Раздел 5. Отбойные устройства речных причальных сооружений Раздел 6. Отбойные устройства морских причальных сооружений Раздел 7. Деревянные элементы гидротехнических сооружений | Разработан: | ОАО РЖД НО Национальная ассоциация стоимостного инжиниринга
| Утверждён: | 31.01.2011 ОАО РЖД (178р)
| Расположен в: |
|
                              
|