Скачать ОЕРЖ 81-02-37-2001 Часть 37. Бетонные и железобетонные конструкции гидротехнических сооружений. Книга 1 (Северный, Северо-Западный, Центральный, Волго-Вятский, Центрально-Черноземный, Поволжский, Северо-Кавказский территориальные районы)Дата актуализации: 10.08.2017 ОЕРЖ 81-02-37-2001
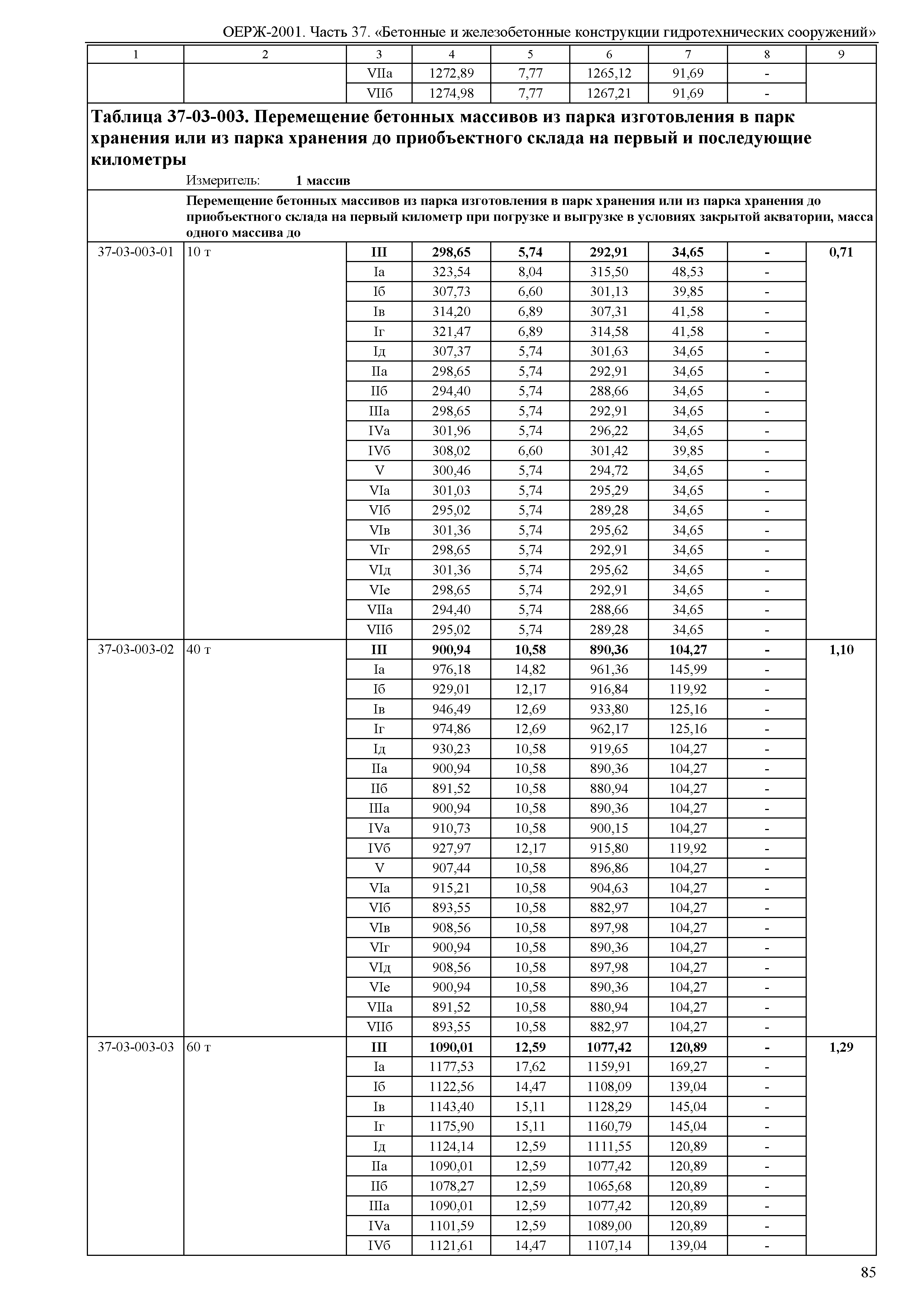
Часть 37. Бетонные и железобетонные конструкции гидротехнических сооружений. Книга 1 (Северный, Северо-Западный, Центральный, Волго-Вятский, Центрально-Черноземный, Поволжский, Северо-Кавказский территориальные районы)Обозначение: | ОЕРЖ 81-02-37-2001 | Обозначение англ: | 81-02-37-2001 | Статус: | действует | Название рус.: | Часть 37. Бетонные и железобетонные конструкции гидротехнических сооружений. Книга 1 (Северный, Северо-Западный, Центральный, Волго-Вятский, Центрально-Черноземный, Поволжский, Северо-Кавказский территориальные районы) | Дата добавления в базу: | 12.02.2016 | Дата актуализации: | 05.05.2017 | Дата введения: | 01.06.2011 | Область применения: | Отраслевые единичные расценки на строительные и специальные строительные работы предназначены для определения затрат при выполнении строительных работ и составления на их основе сметных расчетов (смет) на производство указанных работ. | Оглавление: | Раздел 1. Конструкции объектов гидроэнергетики при объеме бетона по сооружению в целом более 100 тыс. м Подраздел 1.1 Подача и укладка бетонной смеси в блоки железобетонных конструкций гидроузлов Подраздел 1.2 Подача и укладка бетонной смеси в блоки бетонных конструкций гидроузлов Подраздел 1.3 Устройство подготовки под сооружения Подраздел 1.4 Опалубка Подраздел 1.5 Арматура Подраздел 1.6 Сборные железобетонные конструкции Подраздел 1.7 Монтаж систем для охлаждения бетона в сооружениях Раздел 2. Конструкции объектов речного транспорта Раздел 3. Конструкции морских причальных набережных и пирсов Подраздел 3.1 Причальные набережные и пирсы из массивовой кладки Подраздел 3.2 Причальные набережные и пирсы из оболочек большого диаметра Подраздел 3.3 Причальные набережные типа "Больверк" Подраздел 3.4 Причальные набережные и пирсы эстакадного типа Подраздел 3.5 Подкрановые балки и пути Подраздел 3.6 Швартовые тумбы Раздел 4. Сооружения на оросительных и осушительных системах | Разработан: | ОАО РЖД НО Национальная ассоциация стоимостного инжиниринга
| Утверждён: | 31.01.2011 ОАО РЖД (178р)
| Расположен в: |
|
                                                                                                                                                                     
|