Скачать ОЕРЖ 81-02-36-2001 Часть 36. Земляные конструкции гидротехнических сооружений. Книга 2 (Уральский, Западно-Сибирский, Восточно-Сибирский, Дальневосточный территориальные районы)Дата актуализации: 10.08.2017 ОЕРЖ 81-02-36-2001
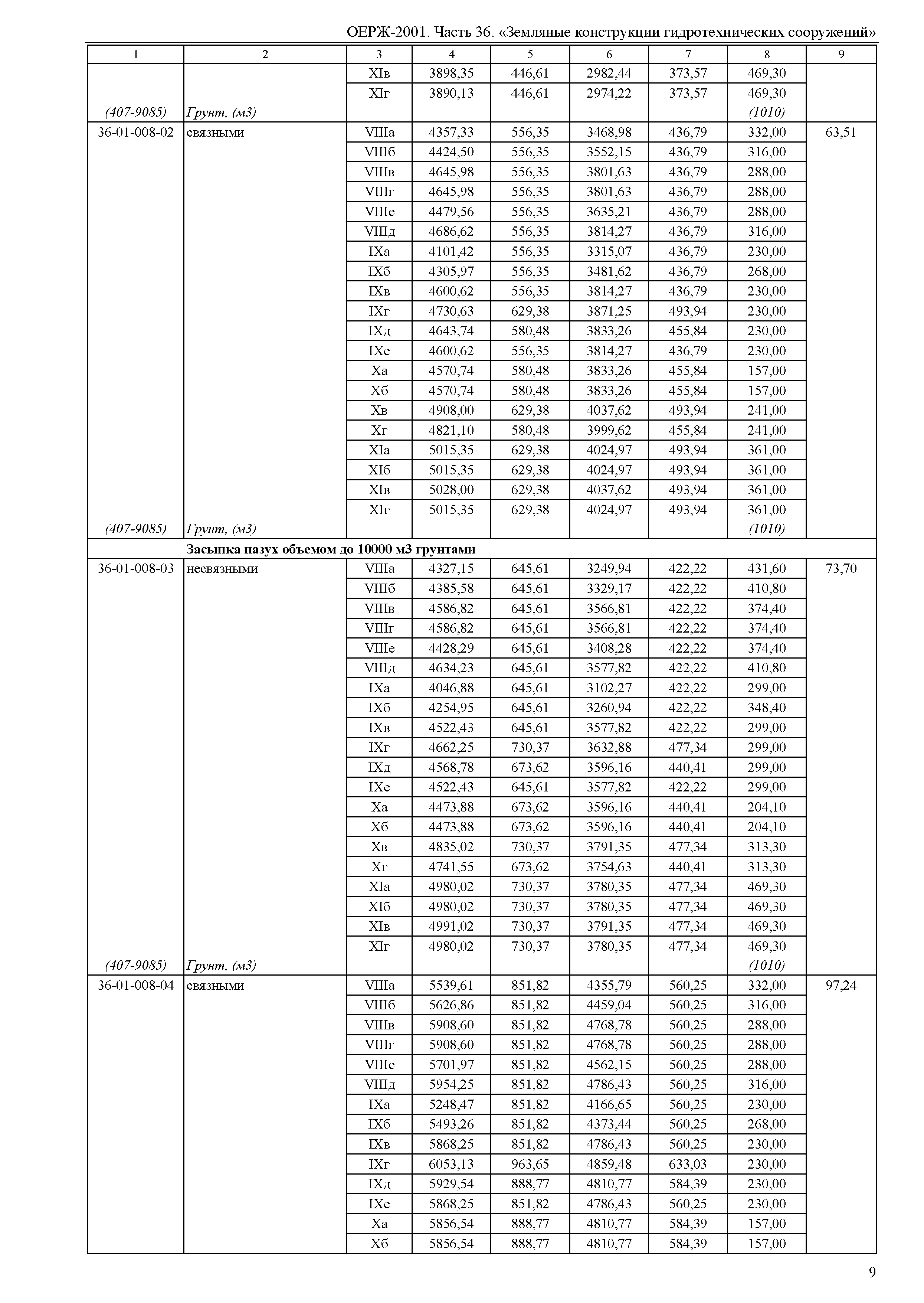
Часть 36. Земляные конструкции гидротехнических сооружений. Книга 2 (Уральский, Западно-Сибирский, Восточно-Сибирский, Дальневосточный территориальные районы)Обозначение: | ОЕРЖ 81-02-36-2001 | Обозначение англ: | 81-02-36-2001 | Статус: | действует | Название рус.: | Часть 36. Земляные конструкции гидротехнических сооружений. Книга 2 (Уральский, Западно-Сибирский, Восточно-Сибирский, Дальневосточный территориальные районы) | Дата добавления в базу: | 12.02.2016 | Дата актуализации: | 05.05.2017 | Дата введения: | 01.06.2011 | Область применения: | Отраслевые единичные расценки на строительные и специальные строительные работы предназначены для определения затрат при выполнении строительных работ и составления на их основе сметных расчетов (смет) на производство указанных работ. | Оглавление: | Раздел 1. Земляные конструкции гидротехнических сооружений Подраздел 1.1 Плотины, дамбы, насыпи Подраздел 1.2 Пазухи | Разработан: | ОАО РЖД НО Национальная ассоциация стоимостного инжиниринга
| Утверждён: | 31.01.2011 ОАО РЖД (178р)
| Расположен в: |
|
            
|