Скачать ОЕРЖ 81-02-35-2001 Часть 35. Горнопроходческие работы. Книга 1 (Северный, Северо-Западный, Центральный, Волго-Вятский, Центрально-Черноземный, Поволжский, Северо-Кавказский территориальные районы)Дата актуализации: 10.08.2017 ОЕРЖ 81-02-35-2001
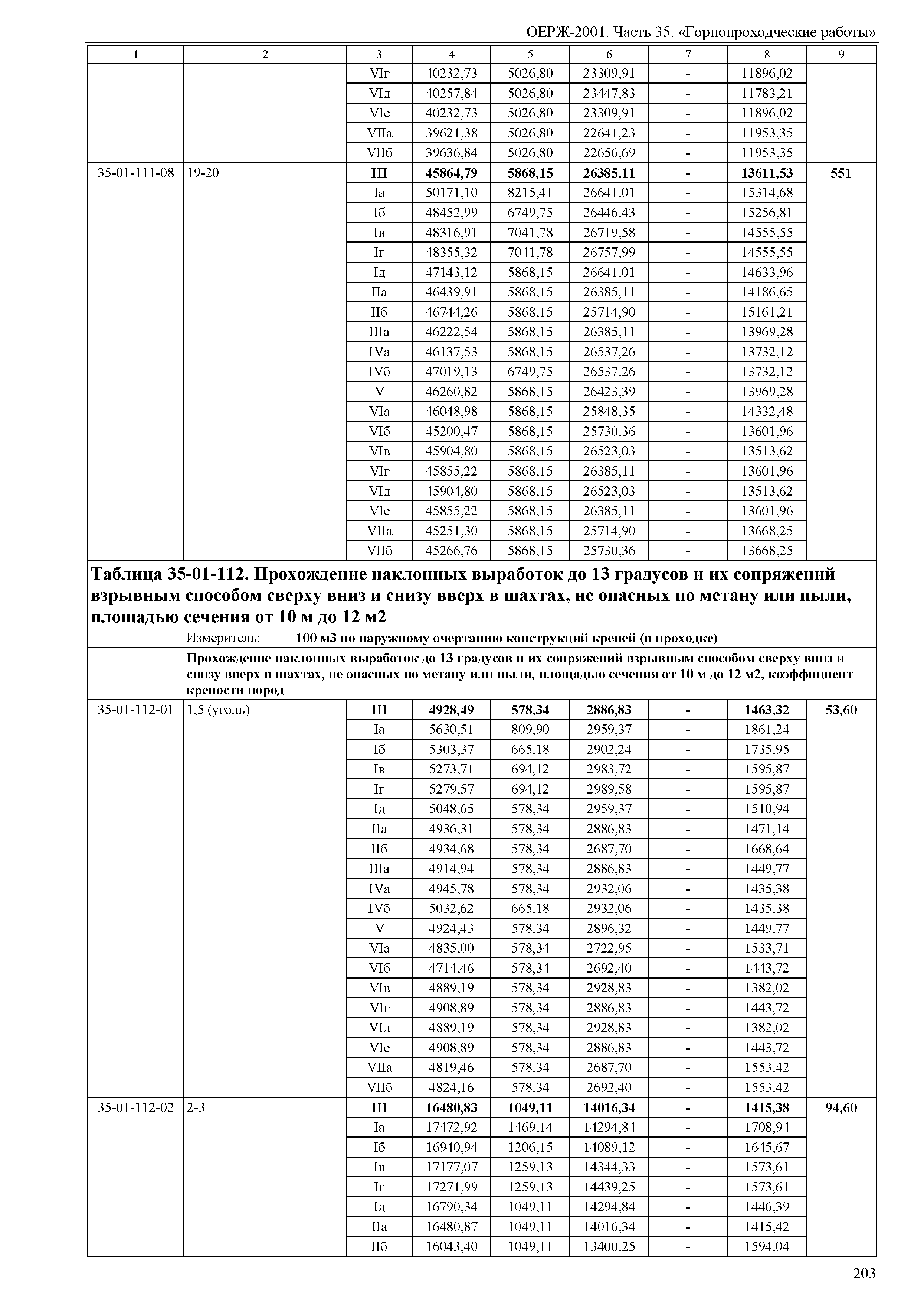
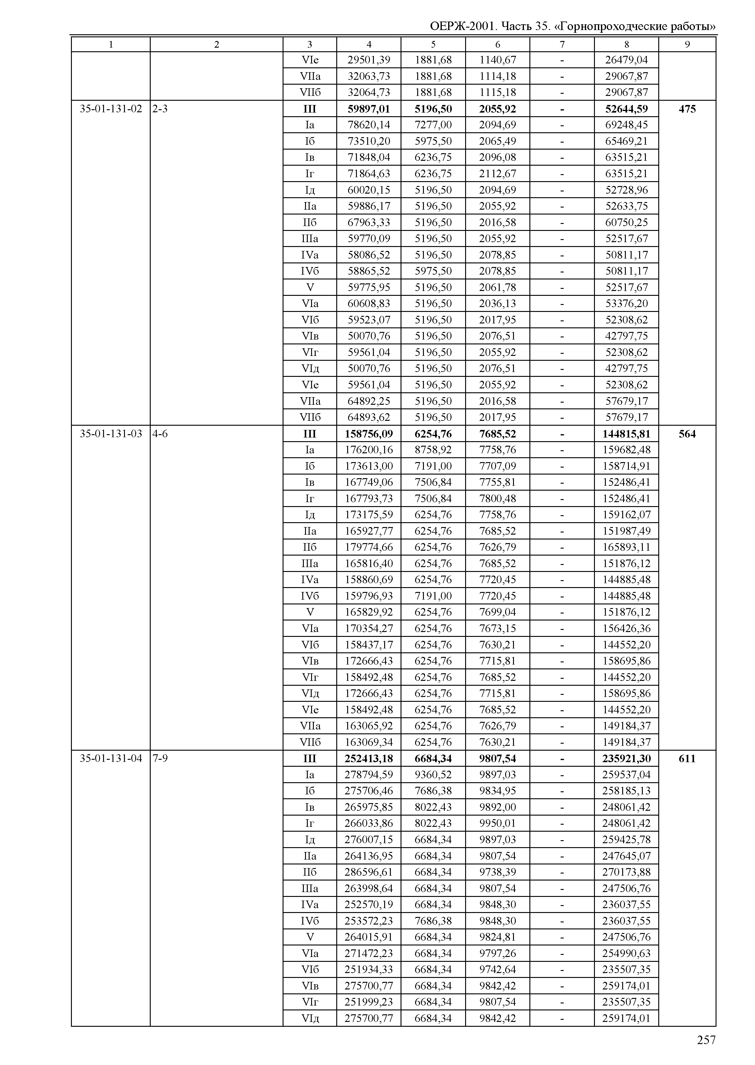
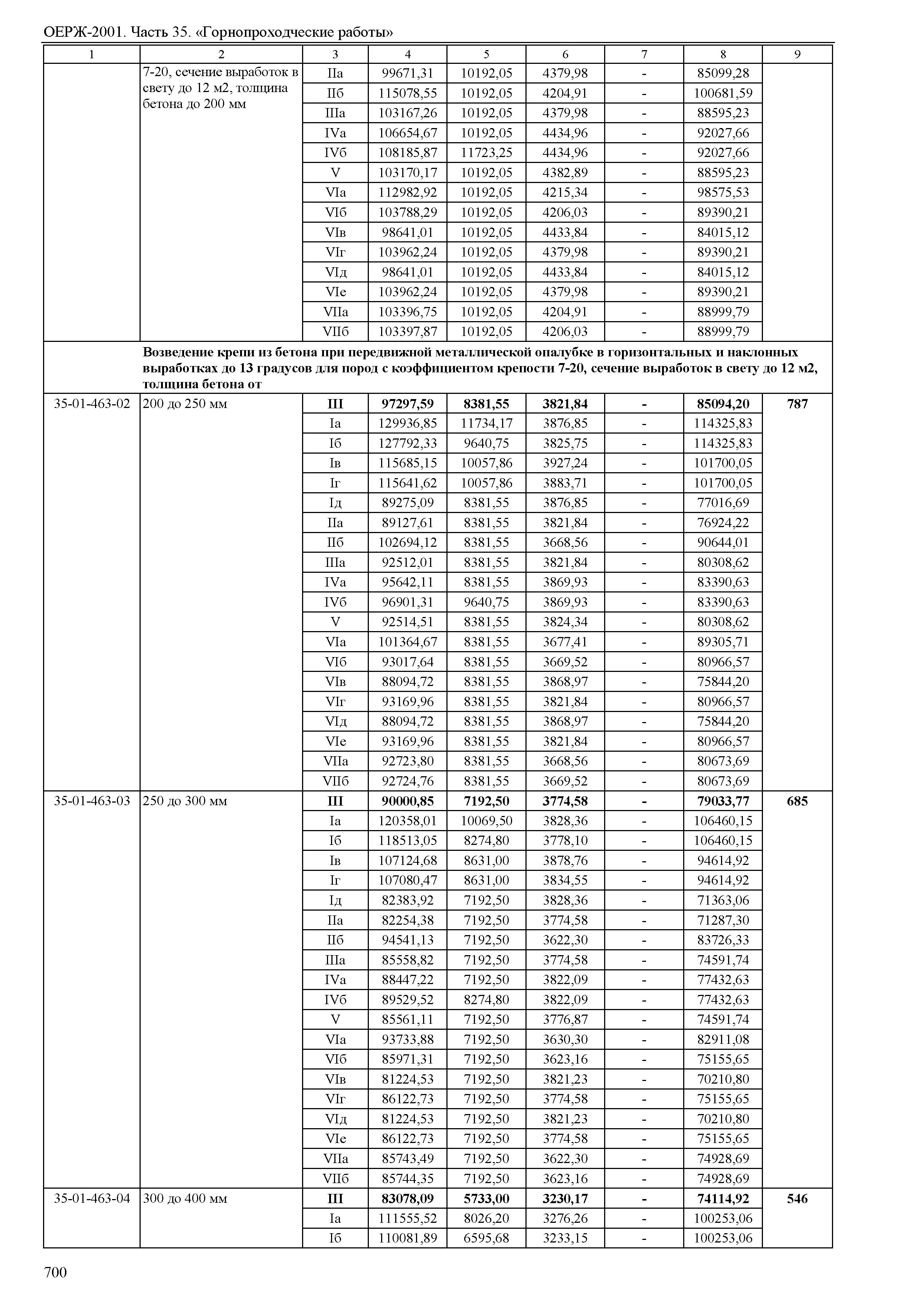
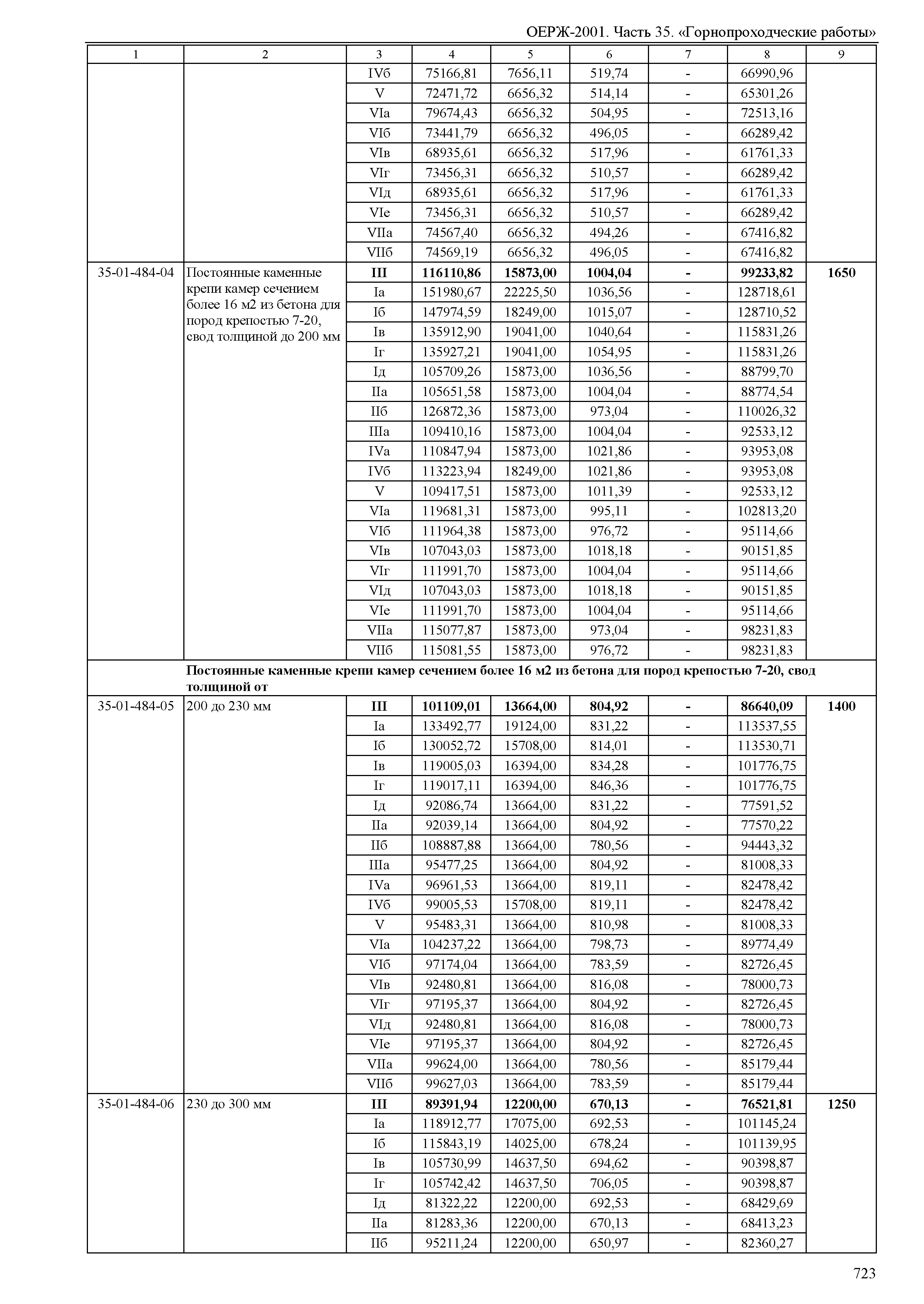
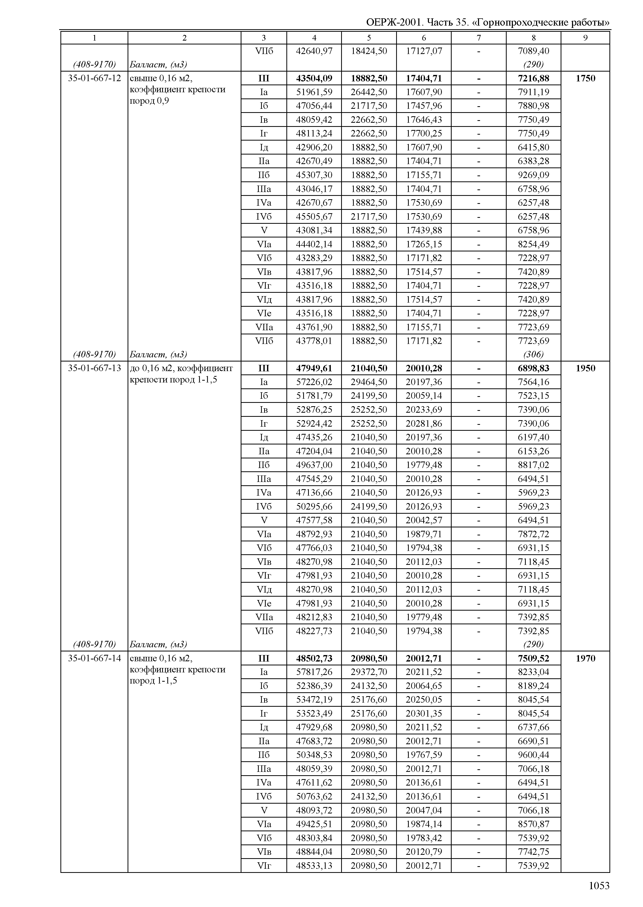
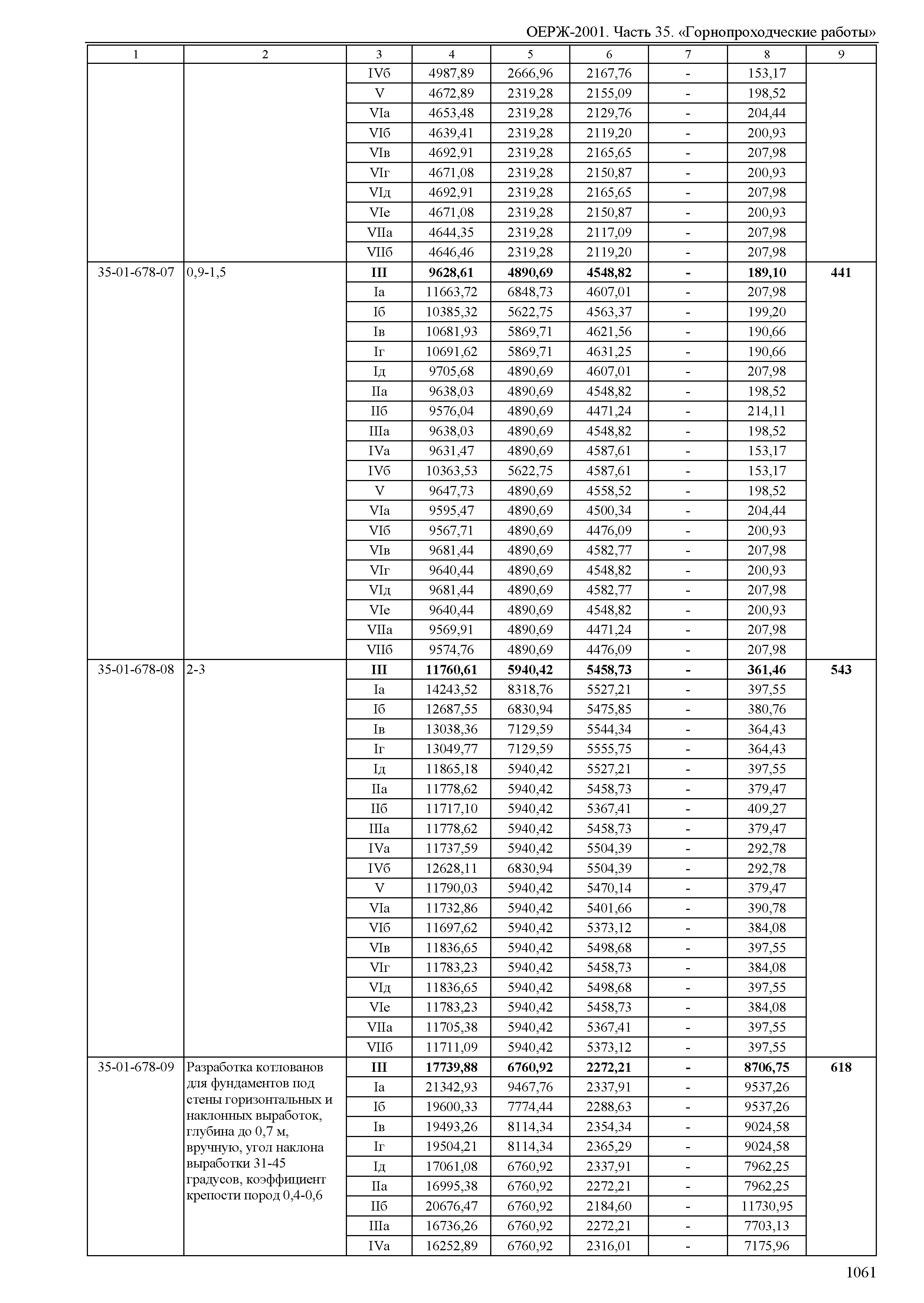
Часть 35. Горнопроходческие работы. Книга 1 (Северный, Северо-Западный, Центральный, Волго-Вятский, Центрально-Черноземный, Поволжский, Северо-Кавказский территориальные районы)Обозначение: | ОЕРЖ 81-02-35-2001 | Обозначение англ: | 81-02-35-2001 | Статус: | действует | Название рус.: | Часть 35. Горнопроходческие работы. Книга 1 (Северный, Северо-Западный, Центральный, Волго-Вятский, Центрально-Черноземный, Поволжский, Северо-Кавказский территориальные районы) | Дата добавления в базу: | 12.02.2016 | Дата актуализации: | 05.05.2017 | Дата введения: | 01.06.2011 | Область применения: | Отраслевые единичные расценки на строительные и специальные строительные работы предназначены для определения затрат при выполнении строительных работ и составления на их основе сметных расчетов (смет) на производство указанных работ. | Оглавление: | Раздел 1. Горнопроходческие работы, выполняемые обычным способом Подраздел 1.1 Прохождение вертикальных стволов, шурфов и их устьев Подраздел 1.2. Прохождение сопряжений вертикальных стволов с околоствольными дворами, камер загрузочных устройств при вертикальных и наклонных стволах, подземных бункеров, камер дробильных установок, питателей и транспортера Подраздел 1.3 Прохождение наклонных стволов Подраздел 1.4 Прохождение комбайнами горизонтальных и наклонных выработок до 13 градусов Подраздел 1.5 Прохождение горизонтальных и наклонных выработок вручную пли отбойными молотками Подраздел 1.6 Горизонтальные выработки и их сопряжения, проходимые взрывным способом Подраздел 1.7 Наклонные выработки и их сопряжения, проходимые взрывным способом в шахтах, не опасных по метану и пыли Подраздел 1.8 Прохождение наклонных выработок и их сопряжений взрывным способом в шахтах, опасных по метану или пыли Подраздел 1.9. Разрезные печи и просеки с постоянными крепями Подраздел 1.10 Котлованы обратных сводов Подраздел 1.11 Камеры Подраздел 1.12 Расширение горных выработок Подраздел 1.13 Устройство водораспылительных завес Подраздел 1.14 Временные крепи вертикальных стволов круглого сечения и их устьев Подраздел 1.15. Временные крепи сопряжений вертикальных стволов с околоствольными дворами, камер загрузочных устройств, бункеров камер дробильных установок, питателя и транспортера Подраздел 1.16 Временные крепи горизонтальных и наклонных выработок до 30 град. Подраздел 1.17 Временные крепи наклонных выработок свыше 30 град. Подраздел 1.18 Временные забойщицкая крепь угольных забоев горизонтальных и наклонных выработок Подраздел 1.19 Временные крепи камер при постоянной каменной крепи со сводчатым перекрытием Подраздел 1.20 Временные крепи сопряжений горных выработок (узлов) при постоянной каменной крепи Подраздел 1.21 Забивка досок (посада) Подраздел 1.22 Временные крепи разгрузочно-загрузочных комплексов при наклонных стволах Подраздел 1.23 Оборудование наклонных стволов и выработок временными перилами, трапами, лестницами и полками Подраздел 1.24 Постоянные крепи вертикальных стволов и шурфов круглого сечения и их устьев Подраздел 1.25 Опорные венцы в вертикальных стволах Подраздел 1.26 Постоянные крепи сопряжений вертикальных стволов Подраздел 1.27 Постоянные каменные крепи наклонных стволов, горизонтальных и наклонных выработок Подраздел 1.28 Постоянные каменные крепи камер сечением более 16 м2 Подраздел 1.29 Постоянные каменные крепи сопряжений горизонтальных и наклонных выработок Подраздел 1.31 Постоянные крепи рамные наклонных стволов горизонтальных и наклонных выработок Подраздел 1.32 Постоянные крепи штанговые горизонтальных и наклонных выработок и камер Подраздел 1.33 Постоянные крепи рудоспусков диабазовыми блоками Подраздел 1.34 Оборудование наклонных стволов и выработок постоянными перилами, трапами, лестницами и полками Подраздел 1.35 Армирование стволов Подраздел 1.36 Постоянные рельсовые пути, стрелочные переводы, съезды Подраздел 1.40 Фундаменты под стены и оборудование, кабельные каналы, перемычки и колодцы насосных камер Подраздел 1.41 Замерные станции, обшивка выработок, сланцевые и водяные заслоны, перемычки Подраздел 1.42 Навеска и снятие вентиляционных шахтных труб Подраздел 1.43 Футеровка подземных бункеров Подраздел 1.44 Скважины технические в горных выработках Подраздел 1.45 Тампонаж закрепного пространства горизонтальных и наклонных выработок Подраздел 1.46 Сооружение обратного свода конструкции КГМИ способом АРПУ активная разгрузка от напряжений с последующим упрочнением Подраздел 1.47 Последующее упрочнение горных пород цементацией в горизонтальных и наклонных выработках | Разработан: | ОАО РЖД НО Национальная ассоциация стоимостного инжиниринга
| Утверждён: | 31.01.2011 ОАО РЖД (178р)
| Расположен в: |
|
                                                                                                                                                                                                                                                                                                                                                                                                                                                                                                                                                                                                                                                                                                                                                                                                                                                                                                                                                                                                                                                                                                                                                                                                                       
|