Скачать ОЕРЖ 81-02-33-2001 Часть 33. Линии электропередач. Книга 1 (Северный, Северо-Западный, Центральный, Волго-Вятский, Центрально-Черноземный, Поволжский, Северо-Кавказский территориальные районы)Дата актуализации: 10.08.2017 ОЕРЖ 81-02-33-2001
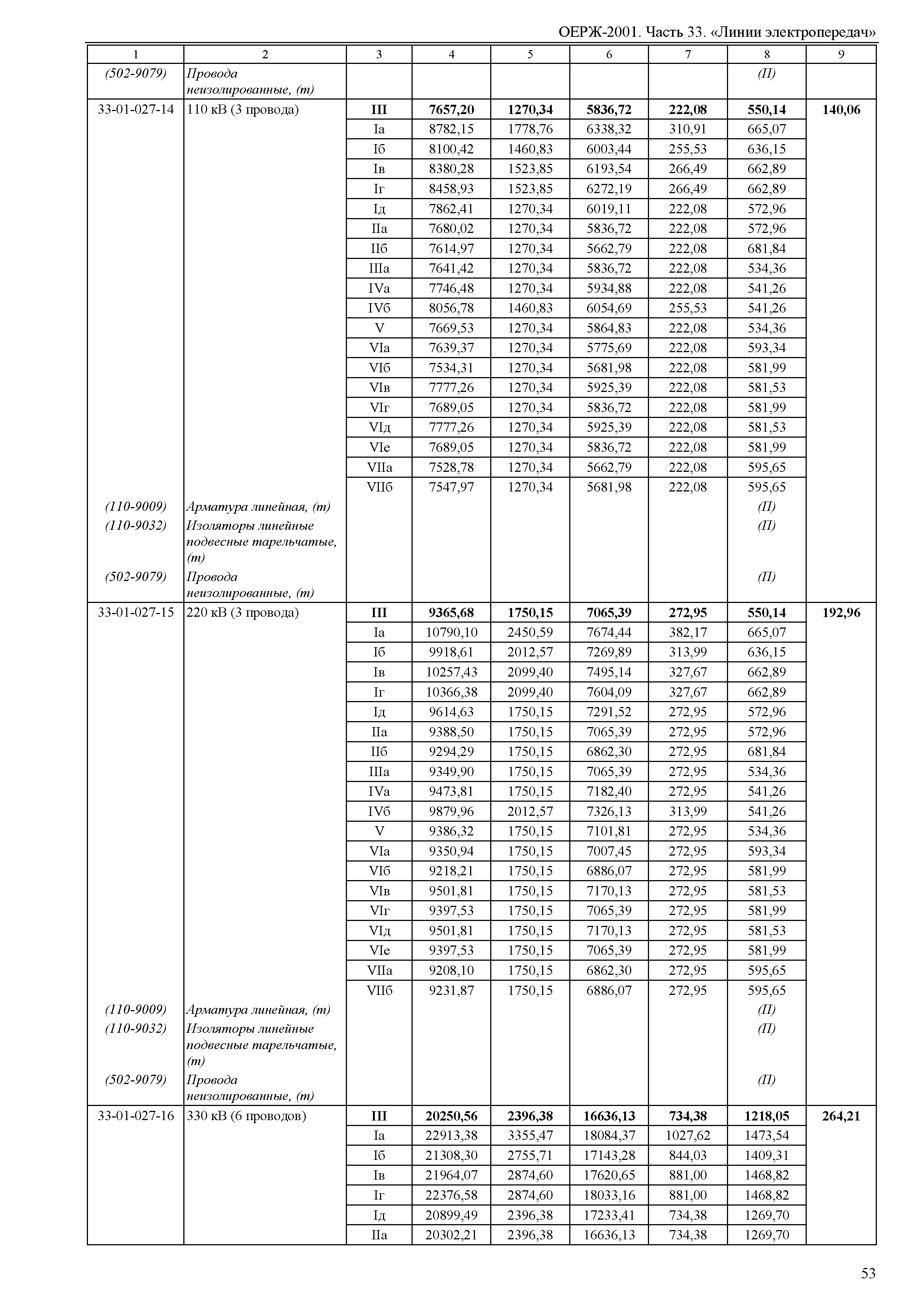
Часть 33. Линии электропередач. Книга 1 (Северный, Северо-Западный, Центральный, Волго-Вятский, Центрально-Черноземный, Поволжский, Северо-Кавказский территориальные районы)Обозначение: | ОЕРЖ 81-02-33-2001 | Обозначение англ: | 81-02-33-2001 | Статус: | действует | Название рус.: | Часть 33. Линии электропередач. Книга 1 (Северный, Северо-Западный, Центральный, Волго-Вятский, Центрально-Черноземный, Поволжский, Северо-Кавказский территориальные районы) | Дата добавления в базу: | 12.02.2016 | Дата актуализации: | 05.05.2017 | Дата введения: | 01.06.2011 | Область применения: | Отраслевые единичные расценки на строительные и специальные строительные работы предназначены для определения затрат при выполнении строительных работ и составления на их основе сметных расчетов (смет) на производство указанных работ. | Оглавление: | Раздел 1. Воздушные линии электропередачи напряжением 35 - 1150 кВ Подраздел 1.1 Фундаменты из сборных и монолитных железобетонных конструкций под опоры ВЛ 35 - 1150 кВ Подраздел 1.2 Опоры железобетонные центрифугированные ВЛ 35 - 500 кВ Подраздел 1.3 Опоры стальные ВЛ 35 - 1150 кВ Подраздел 1.4 Провода и грозозащитные тросы ВЛ 35 - 750 кВ Раздел 2. Открытые распределительные устройства напряжением 35 - 11550 кВ Подраздел 2.1 Фундаменты из сборных железобетонных конструкций ОРУ 35 - 1150 кВ Подраздел 2.2 Сборные железобетонные конструкции ОРУ 35 - 1150 кВ Подраздел 2.3 Стальные конструкции ОРУ 35 - 1150 кВ Подраздел 2.4 Рельсовые пути перекатки, пересечения и огнезащитные перегородки для трансформаторов ОРУ 110 - 1150 кВ Раздел 3. Другие виды сопутствующих работ на воздушных линиях электропередачи и открытый распределительных устройствах напряжением 35 - 1150 кВ Раздел 4. Линии электропередачи напряжением 0,38 - 35 кВ и трансформаторные подстанции Подраздел 4.1 Воздушные линии электропередачи напряжением 0,38 - 35 кВ Подраздел 4.2 Трансформаторные подстанции напряжением 10/0,4 кВ и линейное электрооборудование Подраздел 4.3 Демонтажные работы | Разработан: | ОАО РЖД НО Национальная ассоциация стоимостного инжиниринга
| Утверждён: | 31.01.2011 ОАО РЖД (178р)
| Расположен в: |
|
                                                                                                                                                                                               
|