Скачать ОЕРЖ 81-02-29-2001 Часть 29. Тоннели и метрополитены. Книга 2 (Уральский, Западно-Сибирский, Восточно-Сибирский, Дальневосточный территориальные районы)Дата актуализации: 10.08.2017 ОЕРЖ 81-02-29-2001
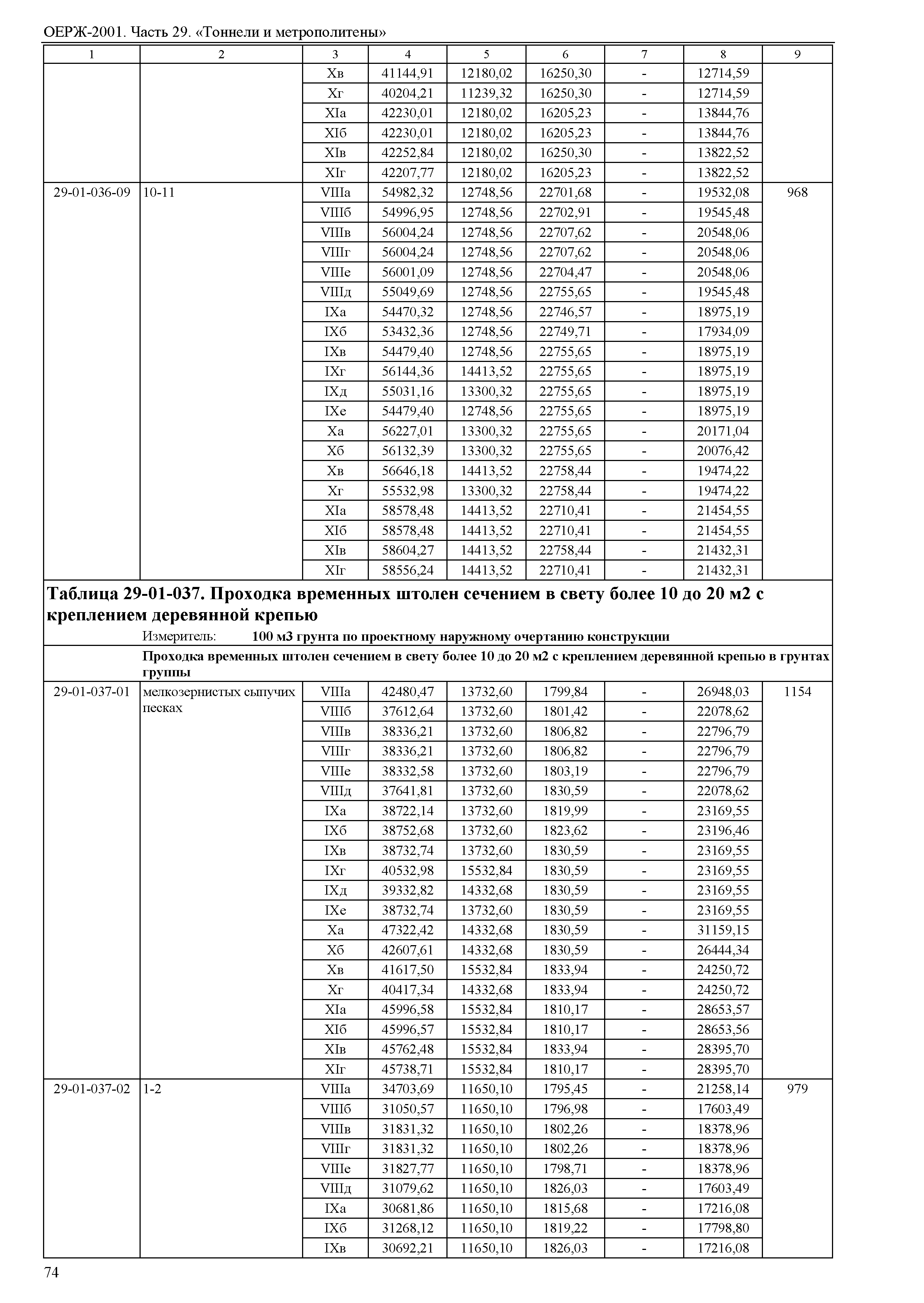
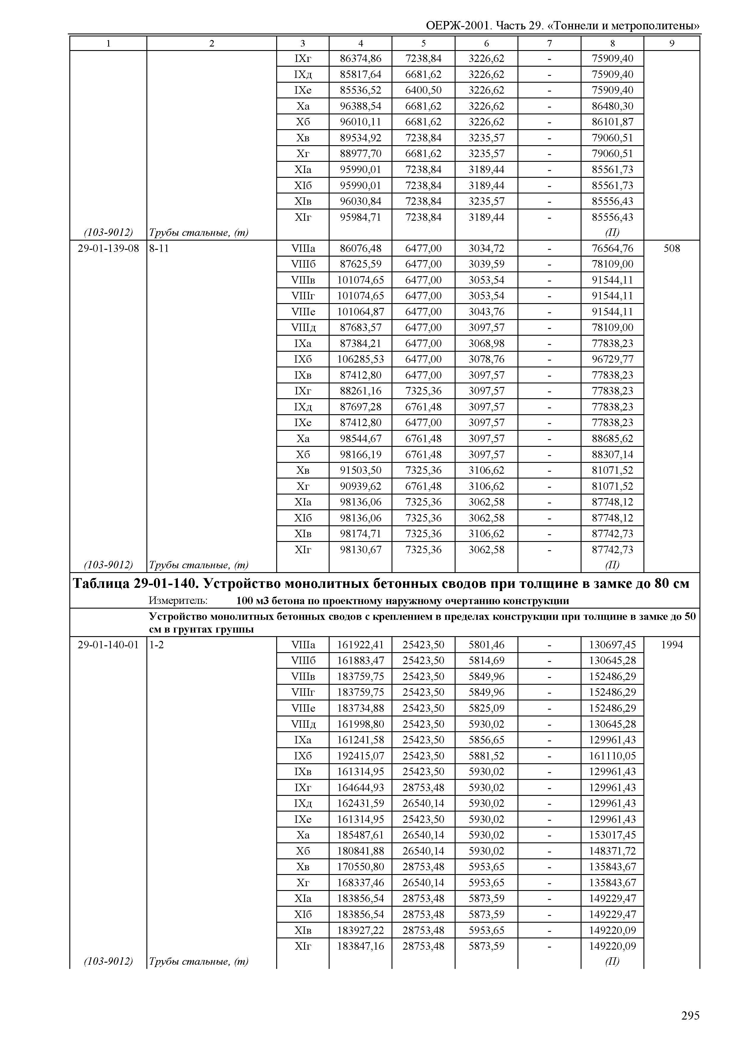
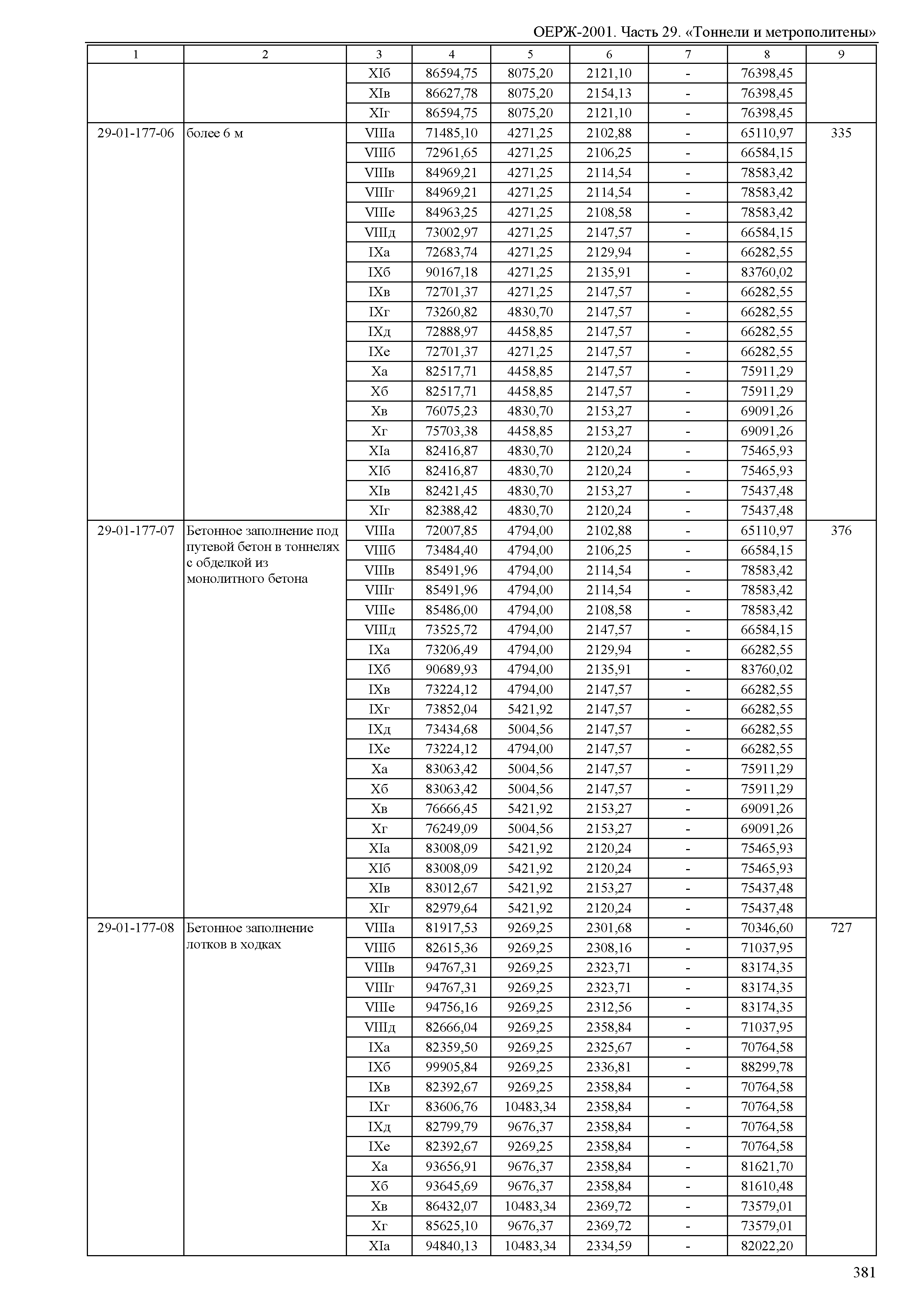
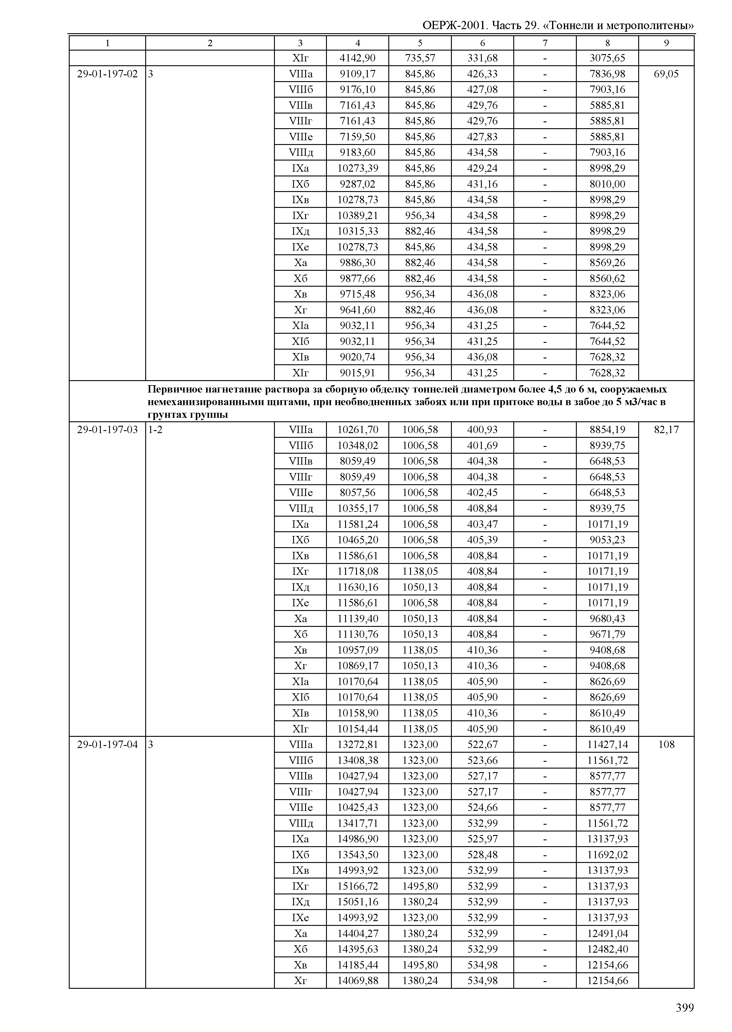
Часть 29. Тоннели и метрополитены. Книга 2 (Уральский, Западно-Сибирский, Восточно-Сибирский, Дальневосточный территориальные районы)Обозначение: | ОЕРЖ 81-02-29-2001 | Обозначение англ: | 81-02-29-2001 | Статус: | действует | Название рус.: | Часть 29. Тоннели и метрополитены. Книга 2 (Уральский, Западно-Сибирский, Восточно-Сибирский, Дальневосточный территориальные районы) | Дата добавления в базу: | 12.02.2016 | Дата актуализации: | 05.05.2017 | Дата введения: | 01.06.2011 | Область применения: | Отраслевые единичные расценки на строительные и специальные строительные работы предназначены для определения затрат при выполнении строительных работ и составления на их основе сметных расчетов (смет) на производство указанных работ. | Оглавление: | Часть 29. Тоннели и метрополитены Раздел 1. Закрытый способ работ Подраздел 1.1 Проходка шахтных стволов Подраздел 1.2 Проходка штолен Подраздел 1.3 Проходка тоннелей и выработок Подраздел 1.4 Проходка наклонных и восстающих выработок Подраздел 1.5 Устройство анкерных крепей Подраздел 1.6 Устройство обделок Подраздел 1.7 Устройство гидроизоляции Подраздел 1.8 Нагнетание раствора за обделки Подраздел 1.9 Устройство внутренних конструкций Подраздел 1.10 Прочие работы Раздел 2. Открытый способ работ Подраздел 2.1 Крепление котлованов Подраздел 2.2 Земляные работы Подраздел 2.3 Монолитные бетонные и железобетонные конструкции Подраздел 2.4 Сборные железобетонные конструкции Подраздел 2.5 Гидроизоляционные работы Подраздел 2.6 Прочие работы Раздел 3. Устройство пути Подраздел 3.1 Устройство пути в тоннеле Подраздел 3.2 Устройство пути на поверхности Раздел 4. Обслуживающие процессы Подраздел 4.1 Подъем Подраздел 4.2 Водоотлив Подраздел 4.4 Подземная механическая откатка Подраздел 4.5 Освещение подземных выработок Подраздел 4.6 Обслуживание тоннельных работ дежурными рабочими Подраздел 4.7 Очистка водоотводных канав и водосборника | Разработан: | ОАО РЖД НО Национальная ассоциация стоимостного инжиниринга
| Утверждён: | 31.01.2011 ОАО РЖД (178р)
| Расположен в: |
|
                                                                                                                                                                                                                                                                                                                                                                                                                                                                                                                                                                                                                    
|