Скачать ОЕРЖ 81-02-28-2001 Часть 28. Железные дороги. Книга 2 (Уральский, Западно-Сибирский, Восточно-Сибирский, Дальневосточный территориальные районы)Дата актуализации: 10.08.2017 ОЕРЖ 81-02-28-2001
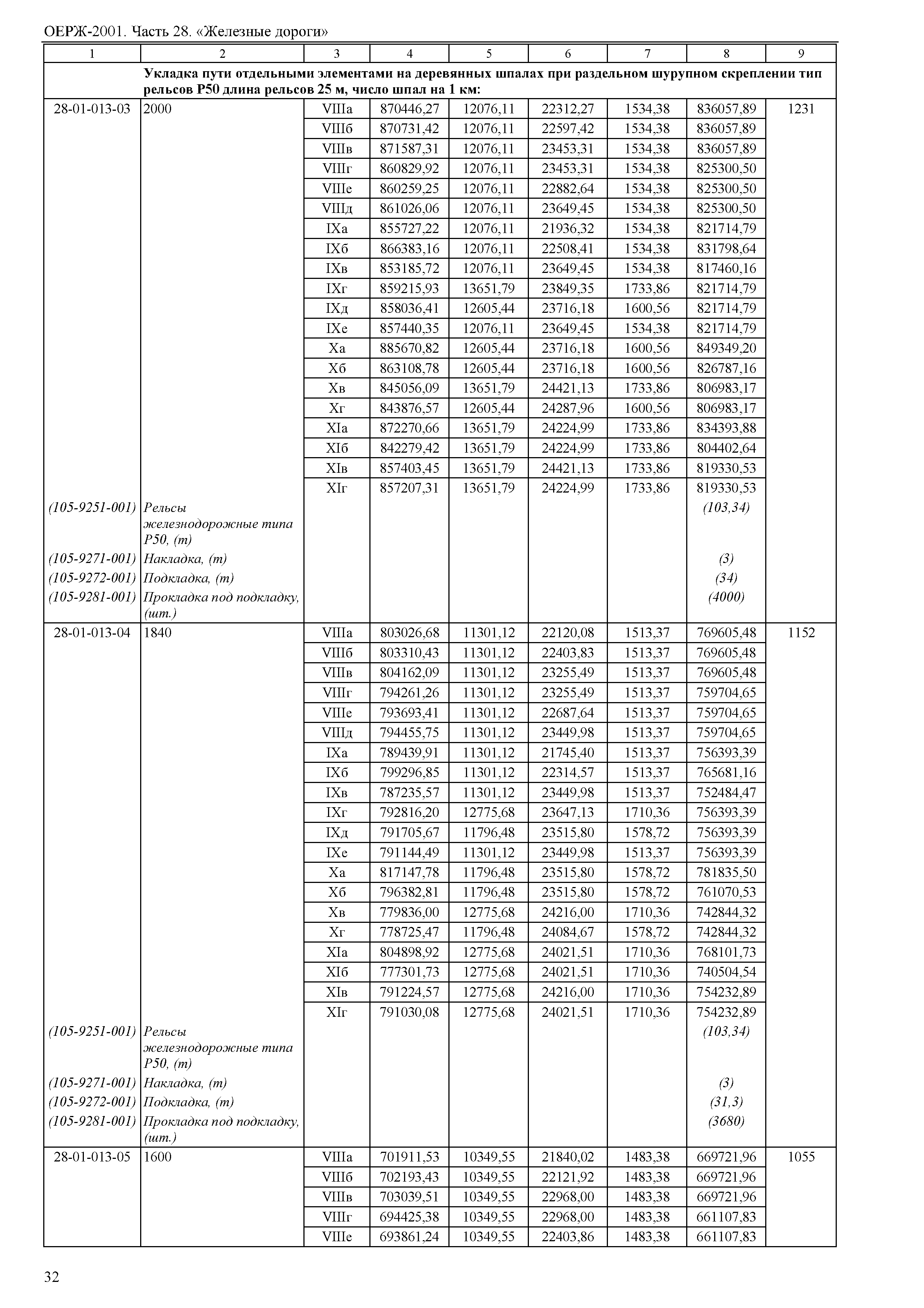
Часть 28. Железные дороги. Книга 2 (Уральский, Западно-Сибирский, Восточно-Сибирский, Дальневосточный территориальные районы)Обозначение: | ОЕРЖ 81-02-28-2001 | Обозначение англ: | 81-02-28-2001 | Статус: | действует | Название рус.: | Часть 28. Железные дороги. Книга 2 (Уральский, Западно-Сибирский, Восточно-Сибирский, Дальневосточный территориальные районы) | Дата добавления в базу: | 12.02.2016 | Дата актуализации: | 05.05.2017 | Дата введения: | 01.06.2011 | Область применения: | Отраслевые единичные расценки на строительные и специальные строительные работы предназначены для определения затрат при выполнении строительных работ и составления на их основе сметных расчетов (смет) на производство указанных работ. | Оглавление: | Часть 28. Железные дороги Раздел 1. Верхнее строение пути железных дорог колеи 1520 мм Подраздел 1.1. Сборка звеньев рельсошпальной решетки на базе с применением механизированного инструмента Подраздел 1.2. Сборка звеньев рельсошпальной решетки на базе на механизированных звеносборочных линиях Подраздел 1.3. Сборка звеньев рельсошпальной решетки на базе на звеносборочных стендах Подраздел 1.4. Укладка пути Подраздел 1.5. Укладка пути на мостах Подраздел 1.6. Установка противоугонов Подраздел 1.7. Разборка пути Подраздел 1.8. Сборка и укладка стрелочных переводов, глухих пересечений и перекрестных съездов; сварка рельсовых стыков в пути Подраздел 1.9. Разборка стрелочных переводов и глухих пересечений Подраздел 1.10. Балластировка пути Подраздел 1.11. Выправка пути и стрелочных переводов перед сдачей в постоянную эксплуатацию (послеосадочный ремонт) Подраздел 1.12. Установка знаков путевых Подраздел 1.13. Устройство и разборка переездов Подраздел 1.14. Устройство и разборка упоров тупиковых Подраздел 1.15. Устройство заборов железобетонных сборных снегозащитных, щитов снеговых и насаждений снегозащитных Подраздел 1.17. Передвижка пути и стрелочных переводов Подраздел 1.18. Постановка стыков пути и стрелочных переводов на щебеночный балласт Подраздел 1.19. Прочие работы Раздел 2. Электрификация железных дорог Подраздел 2.1. Опоры контактной сети железобетонные Подраздел 2.2. Опоры контактной сети металлические Подраздел 2.3. Конструкции контактной сети Подраздел 2.4. Котлованы под опоры контактной сети Подраздел 2.5. Конструкции тяговых подстанций Подраздел 2.6. Разборка опор и конструкций контактной сети Раздел 3. Сигнализация, централизация и блокировка железных дорог Подраздел 3.1. Опоры Подраздел 3.2. Подвеска проводов Подраздел 3.3. Устройство сетей воздухопроводных для пневмообдувки стрелок Подраздел 3.4. Устройство площадок для установки точек сигнальных Подраздел 3.5. Защита кабеля Подраздел 3.6. Стыки изолирующие, соединители рельсовые и мостики светофорные Раздел 4. Отдельные виды работ при строительстве железных дорог Подраздел 4.1. Устройство уширения свай при укреплении земляного полотна железных дорог | Разработан: | ОАО РЖД НО Национальная ассоциация стоимостного инжиниринга
| Утверждён: | 31.01.2011 ОАО РЖД (178р)
| Расположен в: |
|
                                                                                                                                                                                                                          
|