Скачать ОЕРЖ 81-02-24-2001 Часть 24. Теплоснабжение и газопроводы - наружные сети. Книга 2 (Уральский, Западно-Сибирский, Восточно-Сибирский, Дальневосточный территориальные районы)Дата актуализации: 10.08.2017 ОЕРЖ 81-02-24-2001
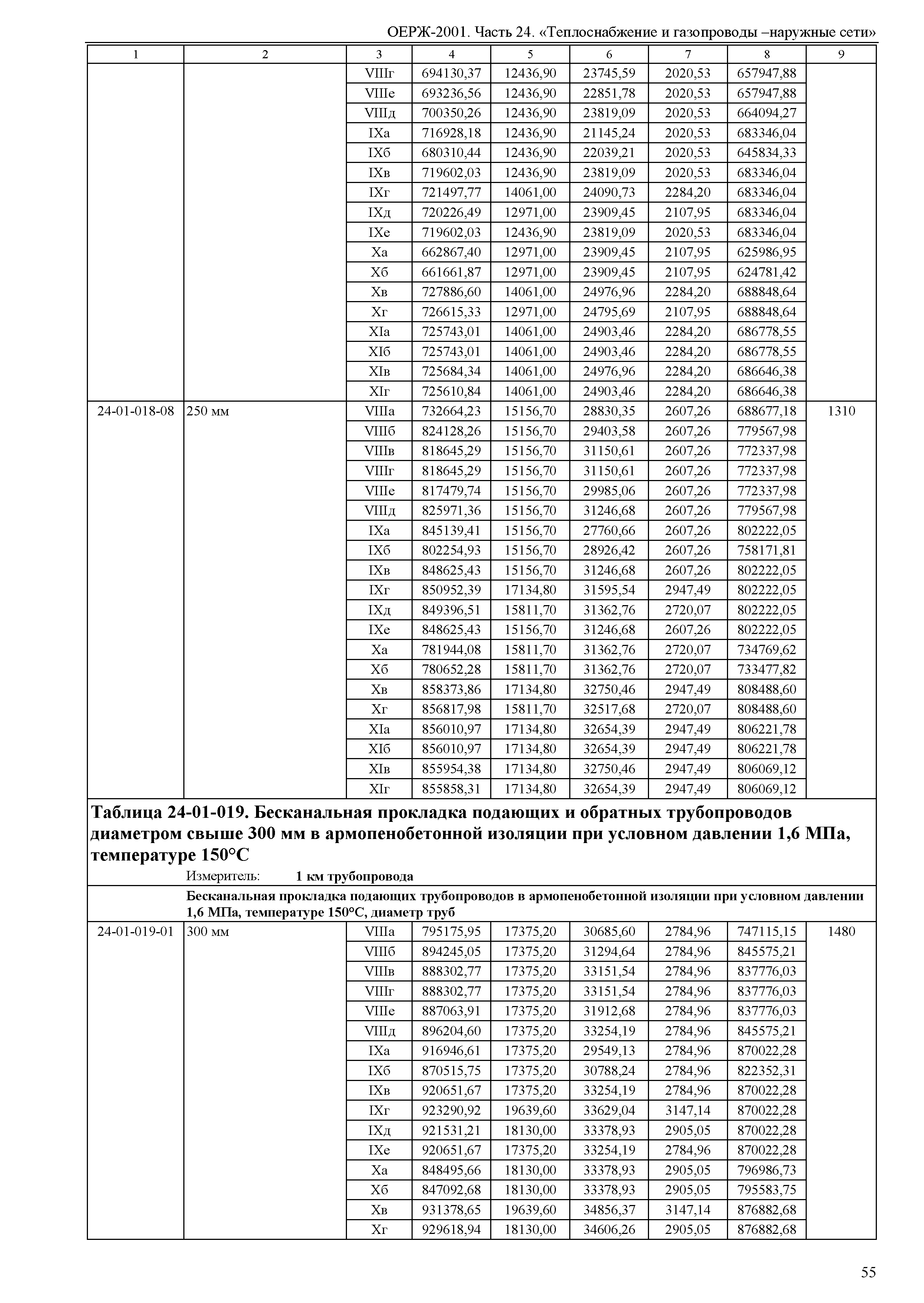
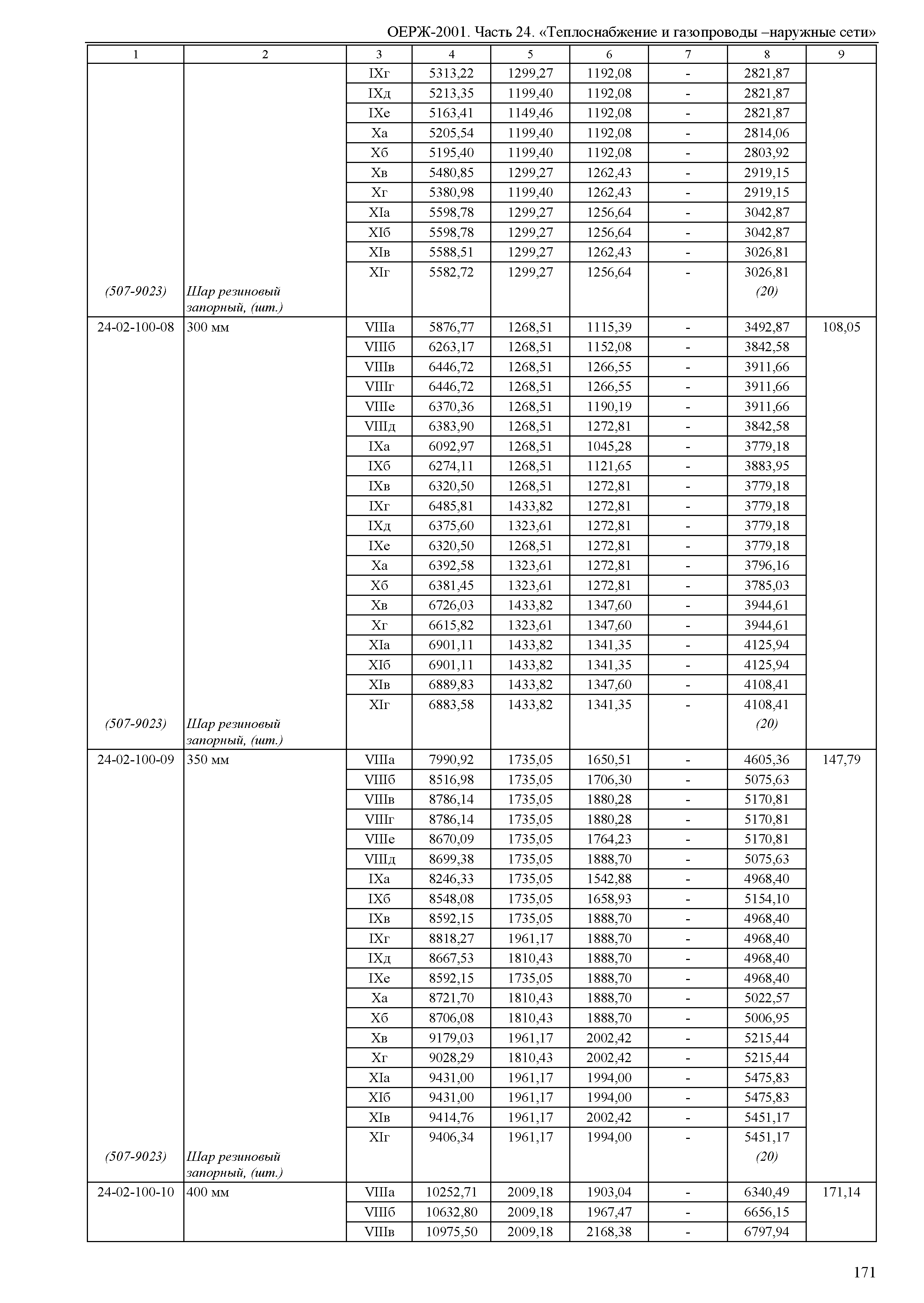
Часть 24. Теплоснабжение и газопроводы - наружные сети. Книга 2 (Уральский, Западно-Сибирский, Восточно-Сибирский, Дальневосточный территориальные районы)Обозначение: | ОЕРЖ 81-02-24-2001 | Обозначение англ: | 81-02-24-2001 | Статус: | действует | Название рус.: | Часть 24. Теплоснабжение и газопроводы - наружные сети. Книга 2 (Уральский, Западно-Сибирский, Восточно-Сибирский, Дальневосточный территориальные районы) | Дата добавления в базу: | 12.02.2016 | Дата актуализации: | 05.05.2017 | Дата введения: | 01.06.2011 | Область применения: | Отраслевые единичные расценки на строительные и специальные строительные работы предназначены для определения затрат при выполнении строительных работ и составления на их основе сметных расчетов (смет) на производство указанных работ. | Оглавление: | Раздел 1. Теплоснабжение - наружные сети Подраздел 1.1 Трубопроводы в каналах и надземные Подраздел 1.2 Бесканальная прокладка трубопроводов Подраздел 1.3 Установка компенсаторов Подраздел 1.4 Установка задвижек или клапанов стальных, вентилей и клапанов обратных муфтовых. грязевиков Раздел 2. Газопроводы городов и поселков Подраздел 2.1 Сборка и сварка газопроводов из полиэтиленовых труб Подраздел 2.2 Противокоррозионная изоляция стальных газопроводов Подраздел 2.3 Подземная укладка трубопроводов Подраздел 2.4 Надземная прокладка стальных газопроводов Подраздел 2.5 Установка стальных кранов и задвижек на газопроводах Подраздел 2.6 Вводы газопровода в здание Подраздел 2.7 Установка сборника конденсата, гидрозатворов и компенсаторов на газопроводах Подраздел 2.8 Прочие устройства на сетях газопроводов Подраздел 2.9 Врезка под газом в действующие стальные газопроводы Подраздел 2.10 Отключение и заглушка под газом действующих газопроводов Подраздел 2.11 Электрохимзащита газопроводов городов и поселков Подраздел 2.12 Очистка полости и испытание трубопроводов Раздел 3. Золошлакопроводы | Разработан: | ОАО РЖД НО Национальная ассоциация стоимостного инжиниринга
| Утверждён: | 31.01.2011 ОАО РЖД (178р)
| Расположен в: |
|
                                                                                                                                                                                                               
|