Скачать ОЕРЖ 81-02-22-2001 Часть 22. Водопровод - наружные сети. Книга 2 (Уральский, Западно-Сибирский, Восточно-Сибирский, Дальневосточный территориальные районы)Дата актуализации: 10.08.2017 ОЕРЖ 81-02-22-2001
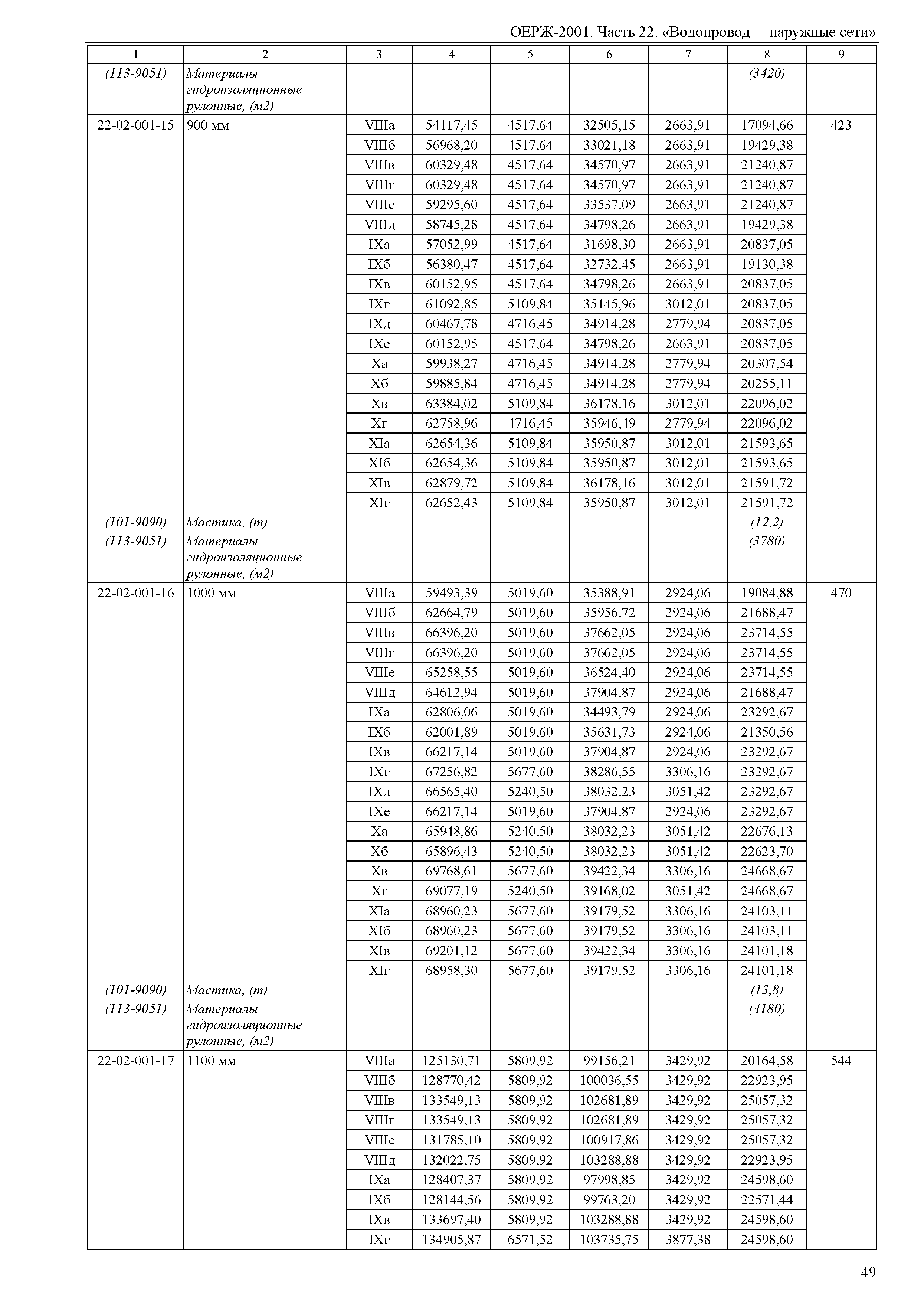
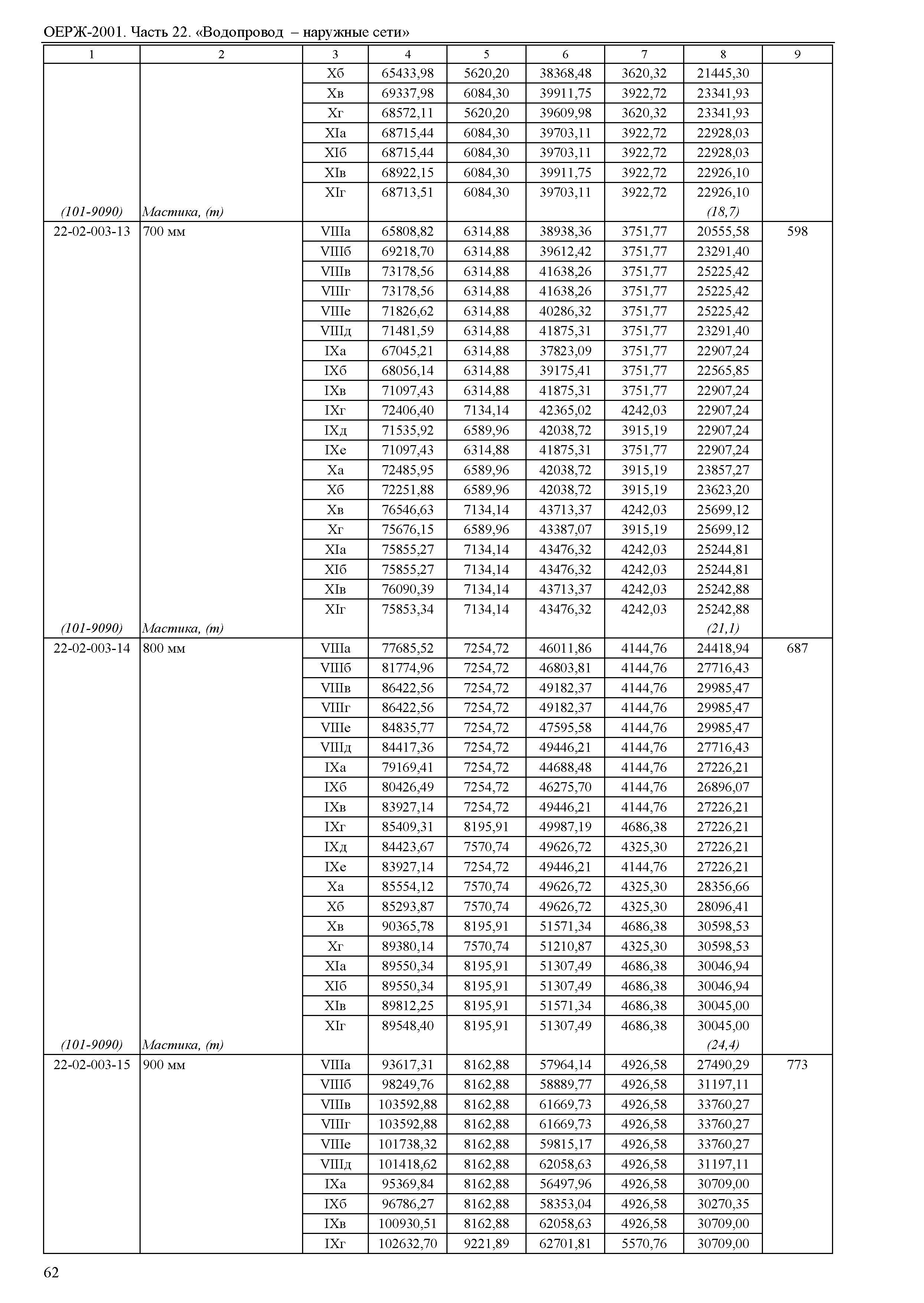
Часть 22. Водопровод - наружные сети. Книга 2 (Уральский, Западно-Сибирский, Восточно-Сибирский, Дальневосточный территориальные районы)Обозначение: | ОЕРЖ 81-02-22-2001 | Обозначение англ: | 81-02-22-2001 | Статус: | действует | Название рус.: | Часть 22. Водопровод - наружные сети. Книга 2 (Уральский, Западно-Сибирский, Восточно-Сибирский, Дальневосточный территориальные районы) | Дата добавления в базу: | 12.02.2016 | Дата актуализации: | 05.05.2017 | Дата введения: | 01.06.2011 | Область применения: | Отраслевые единичные расценки на строительные и специальные строительные работы предназначены для определения затрат при выполнении строительных работ и составления на их основе сметных расчетов (смет) на производство указанных работ. | Оглавление: | Часть 22. Водопровод - наружные сети Раздел 1. Укладка трубопроводов Подраздел 1.1 Трубы асбестоцементные Подраздел 1.2 Трубы чугунные Подраздел 1.3 Трубы стальные Подраздел 1.4 Трубы железобетонные Подраздел 1.5 Трубы полиэтиленовые Подраздел 1.6 Трубы стеклопластиковые Раздел 2. Антикоррозийная изоляция стальных трубопроводов | Разработан: | ОАО РЖД НО Национальная ассоциация стоимостного инжиниринга
| Утверждён: | 31.01.2011 ОАО РЖД (178р)
| Расположен в: |
|
                                                                                                                                                                                                                         
|