Скачать ОЕРЖ 81-02-09-2001 Часть 9. Строительные и металлические конструкции. Книга 1 (Северный, Северо-Западный, Центральный, Волго-Вятский, Центрально-Черноземный, Поволжский, Северо-Кавказский территориальные районы)Дата актуализации: 10.08.2017 ОЕРЖ 81-02-09-2001
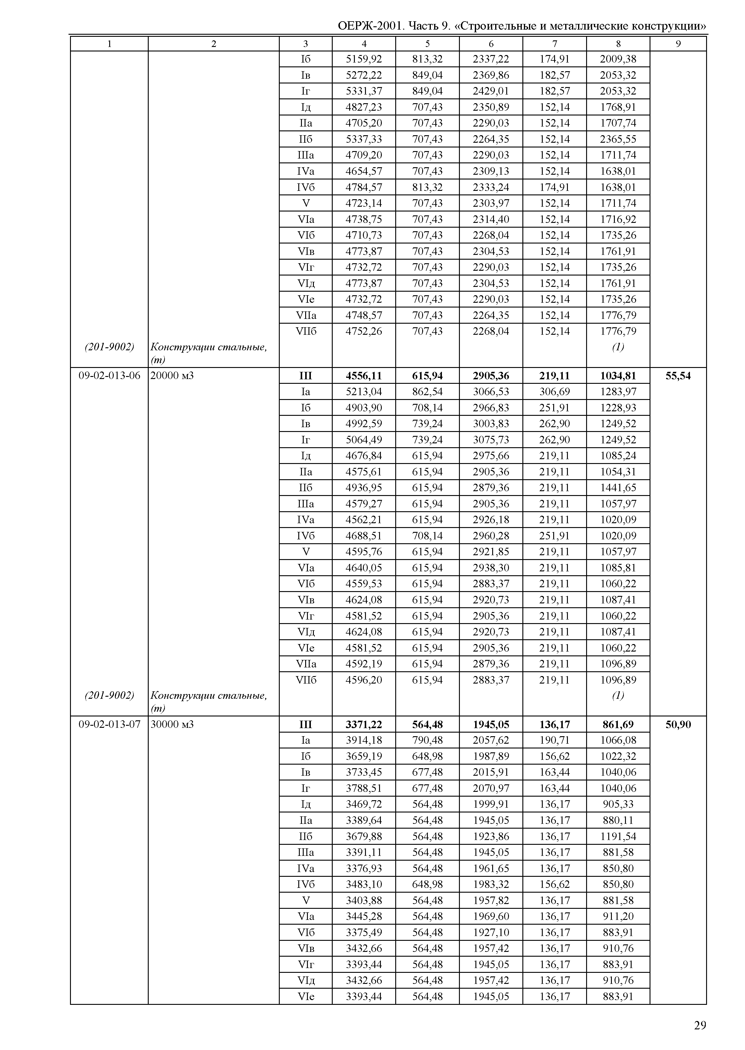
Часть 9. Строительные и металлические конструкции. Книга 1 (Северный, Северо-Западный, Центральный, Волго-Вятский, Центрально-Черноземный, Поволжский, Северо-Кавказский территориальные районы)Обозначение: | ОЕРЖ 81-02-09-2001 | Обозначение англ: | 81-02-09-2001 | Статус: | действует | Название рус.: | Часть 9. Строительные и металлические конструкции. Книга 1 (Северный, Северо-Западный, Центральный, Волго-Вятский, Центрально-Черноземный, Поволжский, Северо-Кавказский территориальные районы) | Дата добавления в базу: | 12.02.2016 | Дата актуализации: | 05.05.2017 | Дата введения: | 01.06.2011 | Область применения: | Отраслевые единичные расценки на строительные и специальные строительные работы предназначены для определения затрат при выполнении строительных работ и составления на их основе сметных расчетов (смет) на производство указанных работ. | Оглавление: | Часть 9. Строительные металлические конструкций Раздел 1. Здания и каркасы зданий Подраздел 1.1 Каркасы одноэтажных и многоэтажных производственных зданий Подраздел 1.2 Каркасы и здания специального назначения Раздел 2. Сооружения Подраздел 2.1 Бункеры, силосы, декомпозеры, сгустители Подраздел 2.2 Резервуары, газгольдеры Подраздел 2.3 Галереи, эстакады Подраздел 2.4 Шахтные сооружения Подраздел 2.5 Сооружения комплексов заводов по производству минеральных удобрений Раздел 3. Конструктивные элементы зданий и сооружений Подраздел 3.1 Опорные плиты, колонны, подкрановые балки, подкраново-подстропильные фермы, подкрановые и подвесные пути Подраздел 3.2 Конструктивные элементы покрытий здания Подраздел 3.3 Конструктивные элементы фонарей Подраздел 3.4 Конструктивные элементы лестниц и площадок Подраздел 3.5 Рамы, арки, опорные конструкции и защитные ограждения Подраздел 3.6 Перегородки, потолки, полы, плинтусы Раздел 4. Ограждающие конструкции зданий и сооружений Подраздел 4.1 Ограждающие конструкции кровли Подраздел 4.2 Ограждающие конструкции стен Подраздел 4.3 Оконные блоки, витражи, витрины, двери, ворота Раздел 5. Разные работы Подраздел 5.1 Облицовка поверхности, сварочные работы, постановка болтов и другие работы Раздел 6. Конструкции специального назначения Подраздел 6.1 Автокоптилки, пароварочные камеры, подвесные пути, лотки, решетки, стеллажи Подраздел 6.2 Конструкции сценических устройств Подраздел 6.3 Конструкции канатных дорог Подраздел 6.4 Конструкции для алюминиевой промышленности Подраздел 6.5 Конструкции коксохимического производства Подраздел 6.6 Каркасы, кожухи, панели и разные конструкции промышленных печей и сушил Подраздел 6.7 Конструкции башенных градирен Подраздел 6.8 Вытяжные, вентиляционные и дымовые трубы, опоры башенного и портального типов Раздел 7. Конструкции атомных электрических станций Подраздел 7.1 Монтаж металлоконструкций атомных электростанций Подраздел 7.2 Изготовление металлоконструкций атомных электростанций Подраздел 7.4. Металлоконструкции зданий и сооружений атомных электростанции с ВВЭР 1200 | Разработан: | ОАО РЖД НО Национальная ассоциация стоимостного инжиниринга
| Утверждён: | 31.01.2011 ОАО РЖД (178р)
| Расположен в: |
|
                                                                                                                                        
|