Скачать ОЕРЖ 81-02-05-2001 Часть 5. Свайные работы, опускные колодцы, закрепление грунтов. Книга 2 (Уральский, Западно-Сибирский, Восточно-Сибирский, Дальневосточный территориальные районы)Дата актуализации: 10.08.2017 ОЕРЖ 81-02-05-2001
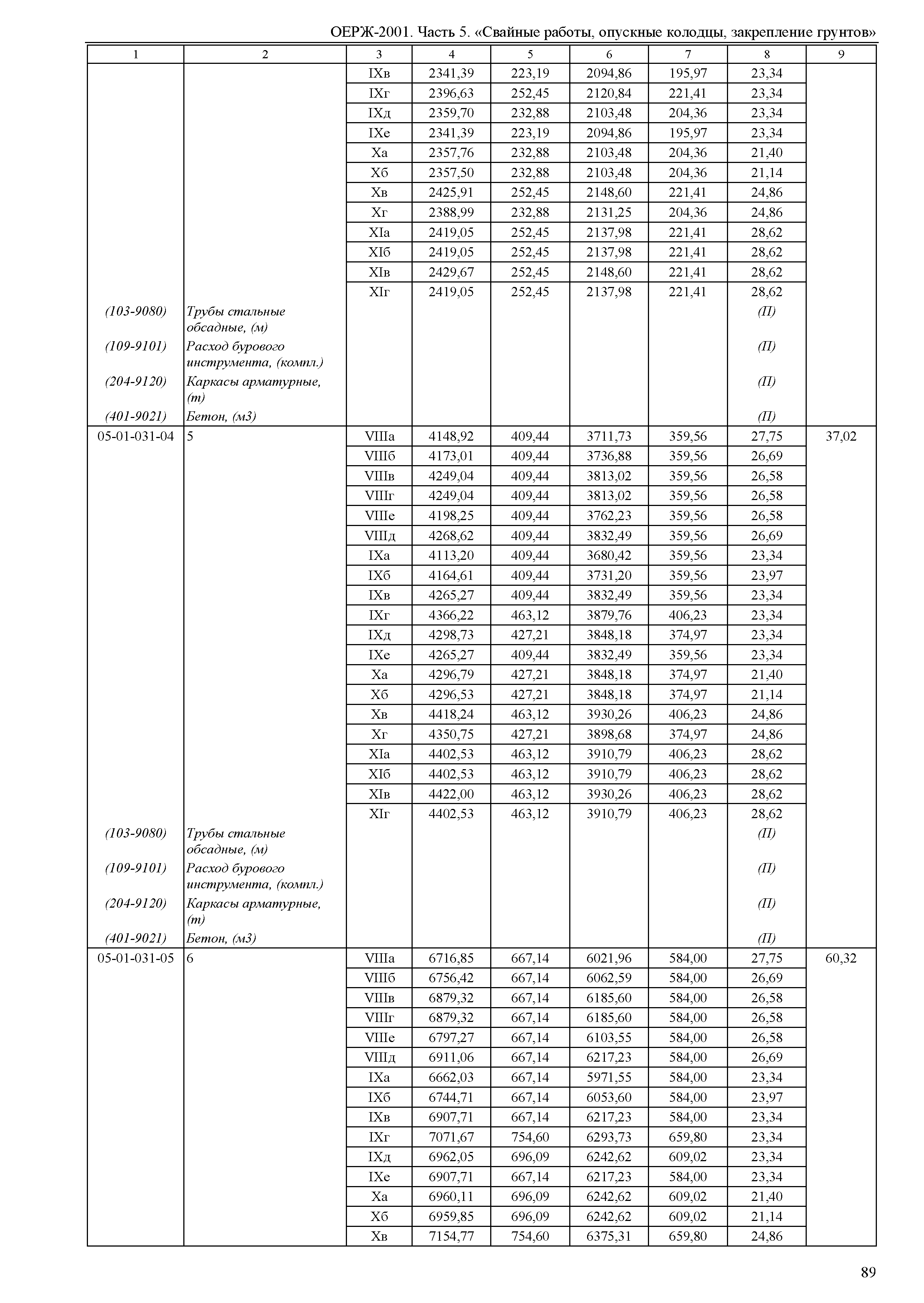
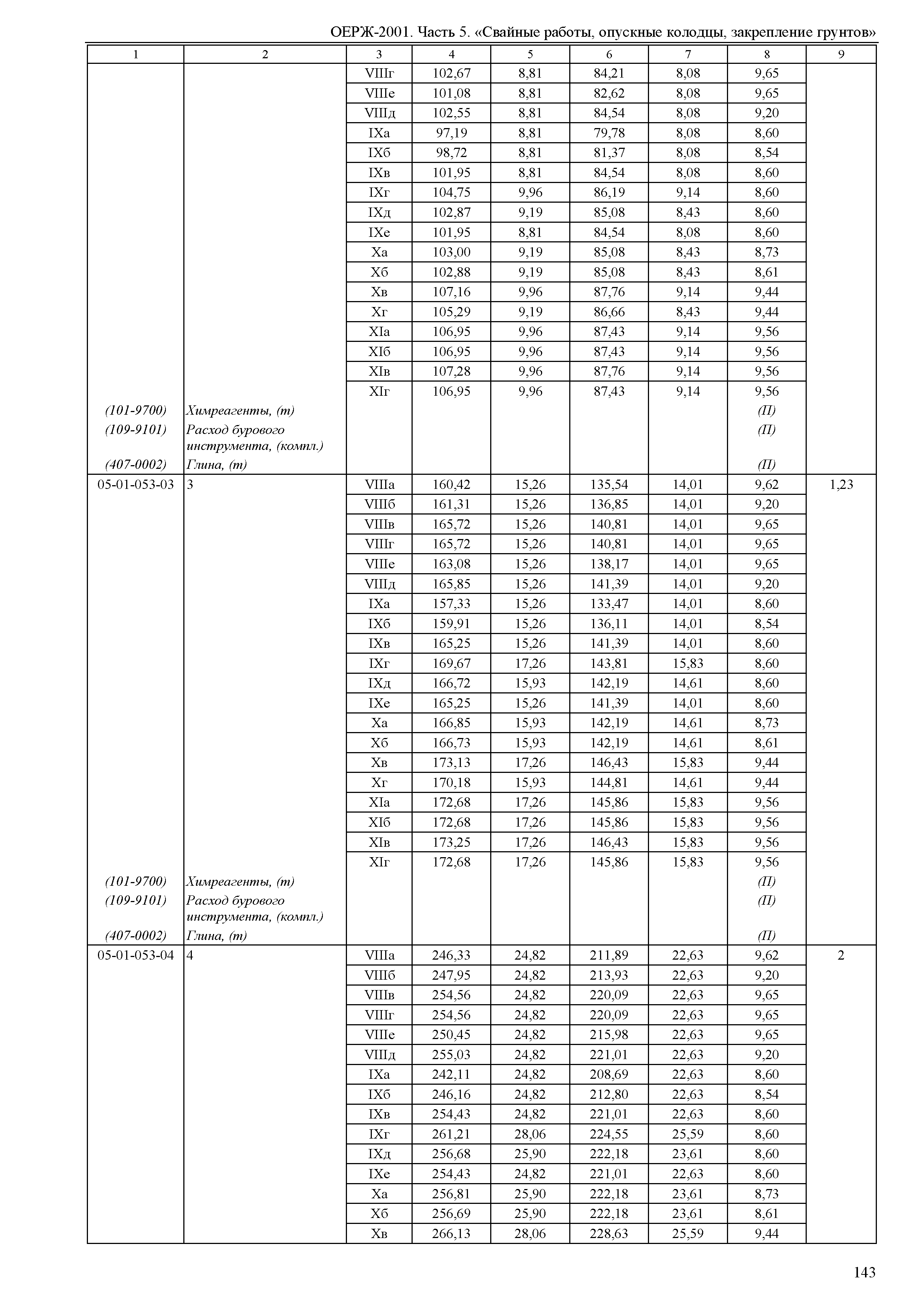
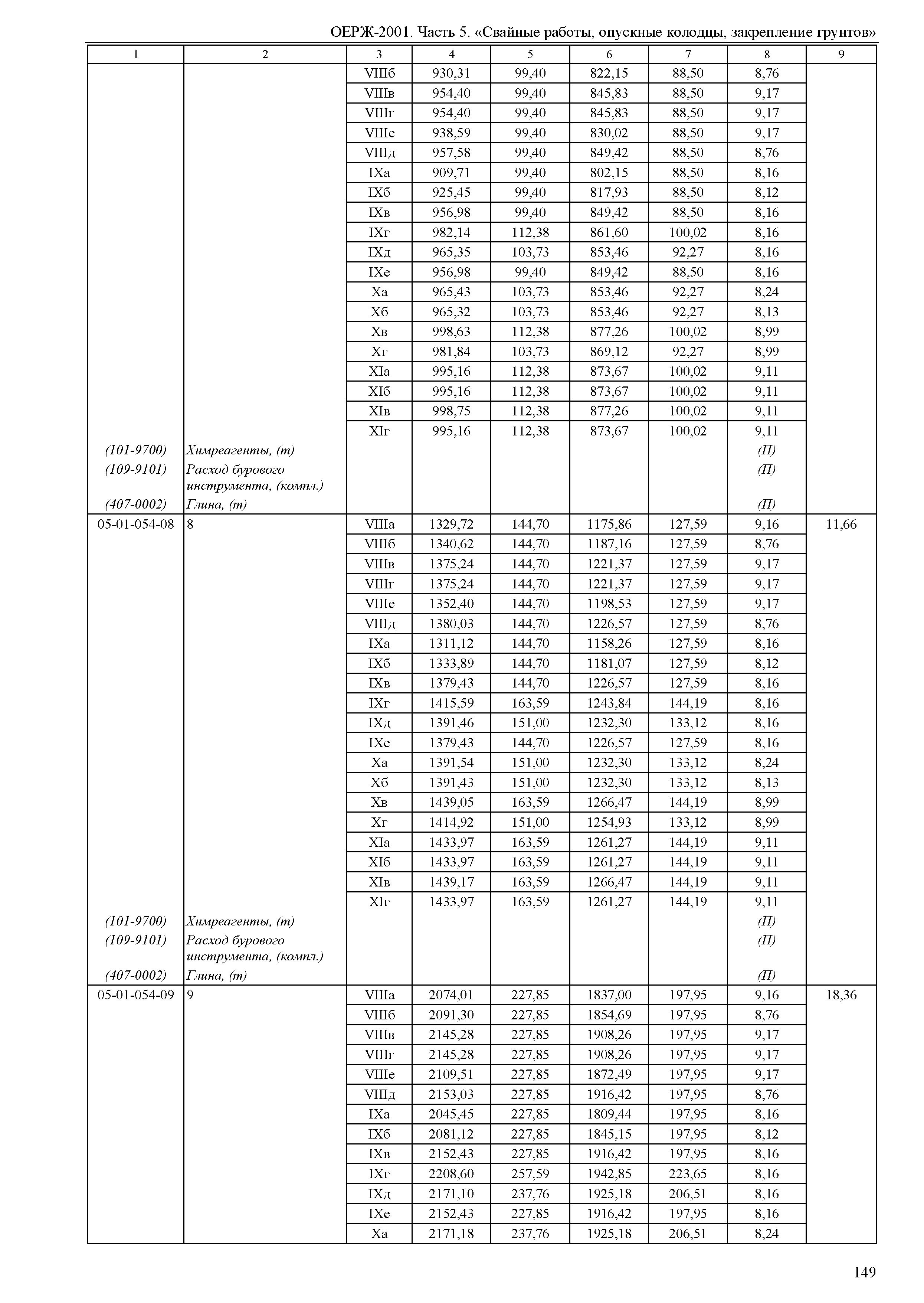
Часть 5. Свайные работы, опускные колодцы, закрепление грунтов. Книга 2 (Уральский, Западно-Сибирский, Восточно-Сибирский, Дальневосточный территориальные районы)Обозначение: | ОЕРЖ 81-02-05-2001 | Обозначение англ: | 81-02-05-2001 | Статус: | действует | Название рус.: | Часть 5. Свайные работы, опускные колодцы, закрепление грунтов. Книга 2 (Уральский, Западно-Сибирский, Восточно-Сибирский, Дальневосточный территориальные районы) | Дата добавления в базу: | 12.02.2016 | Дата актуализации: | 05.05.2017 | Дата введения: | 01.06.2011 | Область применения: | Отраслевые единичные расценки на строительные и специальные строительные работы предназначены для определения затрат при выполнении строительных работ и составления на их основе сметных расчетов (смет) на производство указанных работ. | Оглавление: | Часть 5. Свайные работы. опускные колодцы. закрепление грунтов Раздел 1. Свайные работы Подраздел 1.1 Свайные работы, выполняемые с земли Подраздел 1.2 Свайные работы, выполняемые в мерзлых и вечномерзлых грунтах Подраздел 1.3 Свайные работы, выполняемые в морских условиях с плавучих средств Подраздел 1.4 Свайные работы, выполняемые в речных условиях с плавучих средств Раздел 2. Опускные колодцы Раздел 3. Закрепление грунтов | Разработан: | ОАО РЖД НО Национальная ассоциация стоимостного инжиниринга
| Утверждён: | 31.01.2011 ОАО РЖД (178р)
| Расположен в: |
|
                                                                                                                                                                                                                                                                                                                                                
|