Скачать ОЕРЖ 81-02-03-2001 Часть 3. Буровзрывные работы. Книга 1 (Северный, Северо-Западный, Центральный, Волго-Вятский, Центрально-Черноземный, Поволжский, Северо-Кавказский территориальные районы)Дата актуализации: 10.08.2017 ОЕРЖ 81-02-03-2001
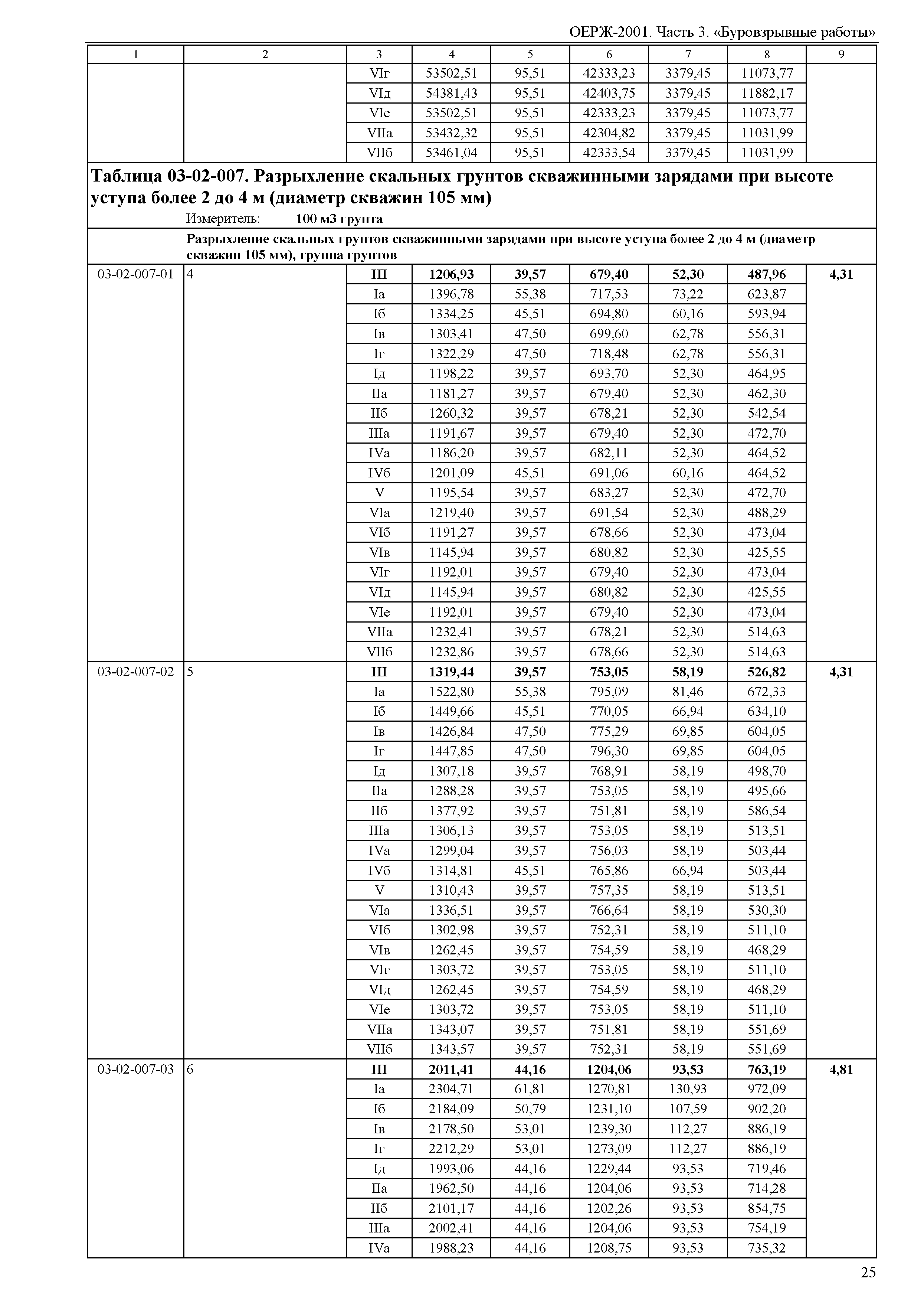
Часть 3. Буровзрывные работы. Книга 1 (Северный, Северо-Западный, Центральный, Волго-Вятский, Центрально-Черноземный, Поволжский, Северо-Кавказский территориальные районы)Обозначение: | ОЕРЖ 81-02-03-2001 | Обозначение англ: | 81-02-03-2001 | Статус: | действует | Название рус.: | Часть 3. Буровзрывные работы. Книга 1 (Северный, Северо-Западный, Центральный, Волго-Вятский, Центрально-Черноземный, Поволжский, Северо-Кавказский территориальные районы) | Дата добавления в базу: | 12.02.2016 | Дата актуализации: | 05.05.2017 | Дата введения: | 01.06.2011 | Область применения: | Отраслевые единичные расценки на строительные и специальные строительные работы предназначены для определения затрат при выполнении строительных работ и составления на их основе сметных расчетов (смет) на производство указанных работ. | Оглавление: | Часть 3. Буровзрывные работы Раздел 1. Разрыхление скальных грунтов шпуровыми зарядами Раздел 2. Разрыхление скальных грунтов скважинными зарядами Подраздел 2.1 Разрыхление скальных грунтов скважинными зарядами в траншеях и котлованах Подраздел 2.2 Разрыхление скальных грунтов скважинными зарядами на уступах Подраздел 2.3 Разрыхление скальных грунтов скважинными зарядами в карьерах и котлованах Подраздел 2.4 Разрыхление моренных, аллювиальных, делювиальных и пролювиальных грунтов скважинными зарядами при высоте уступа до 6 м Подраздел 2.5 Разрыхление скальных грунтов в выемках Подраздел 2.6 Отработка откосов выемок в скальных грунтах Раздел 3. Разрыхление скальных грунтов камерными зарядами, массовое взрывание грунтов на выброс и сброс выемок (каналов) Подраздел 3.1 Разрыхление скальных грунтов камерными зарядами Подраздел 3.2 Массовое взрывание грунтов камерными зарядами на выброс и сброс до 80 процентов проектного объема выемки Подраздел 3.3 Массовое взрывание грунтов камерными зарядами на выброс и сброс до 60 процентов проектного объема выемки глубиной более 3 м Раздел 4. Прочие работы Подраздел 4.1 Дробление негабаритных кусков грунта шнуровыми зарядами при шнуровом, скважинном, камерном методах взрывания Подраздел 4.2 Разрыхление мерзлых грунтов Подраздел 4.3 Дробление валунов шнуровыми зарядами Подраздел 4.4 Корчевка пней Раздел 5. Укрытие взрываемых площадей и производство буровзрывных работ на действующих железнодорожных путях Подраздел 5.1 Укрытие взрываемой площади для защиты сооружений Подраздел 5.2 Производство буровзрывных работ на действующих железнодорожных путях | Разработан: | ОАО РЖД НО Национальная ассоциация стоимостного инжиниринга
| Утверждён: | 31.01.2011 ОАО РЖД (178р)
| Расположен в: |
|
                                                                                                    
|