Скачать ОЕРЖ 81-02-01-2001 Часть 1. Земляные работы. Книга 1 (Северный, Северо-Западный, Центральный, Волго-Вятский, Центрально-Черноземный, Поволжский, Северо-Кавказский территориальные районы)Дата актуализации: 10.08.2017 ОЕРЖ 81-02-01-2001
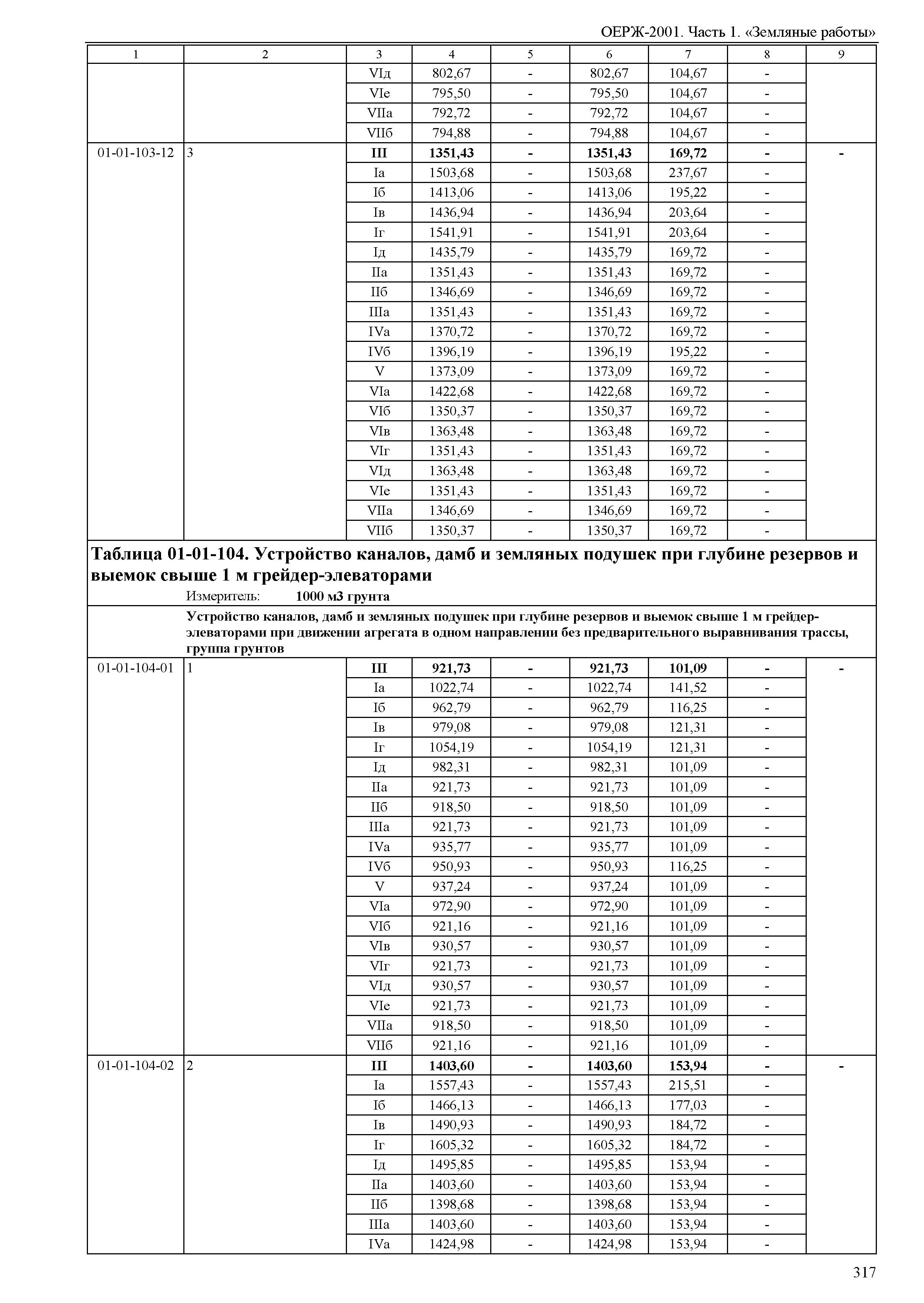
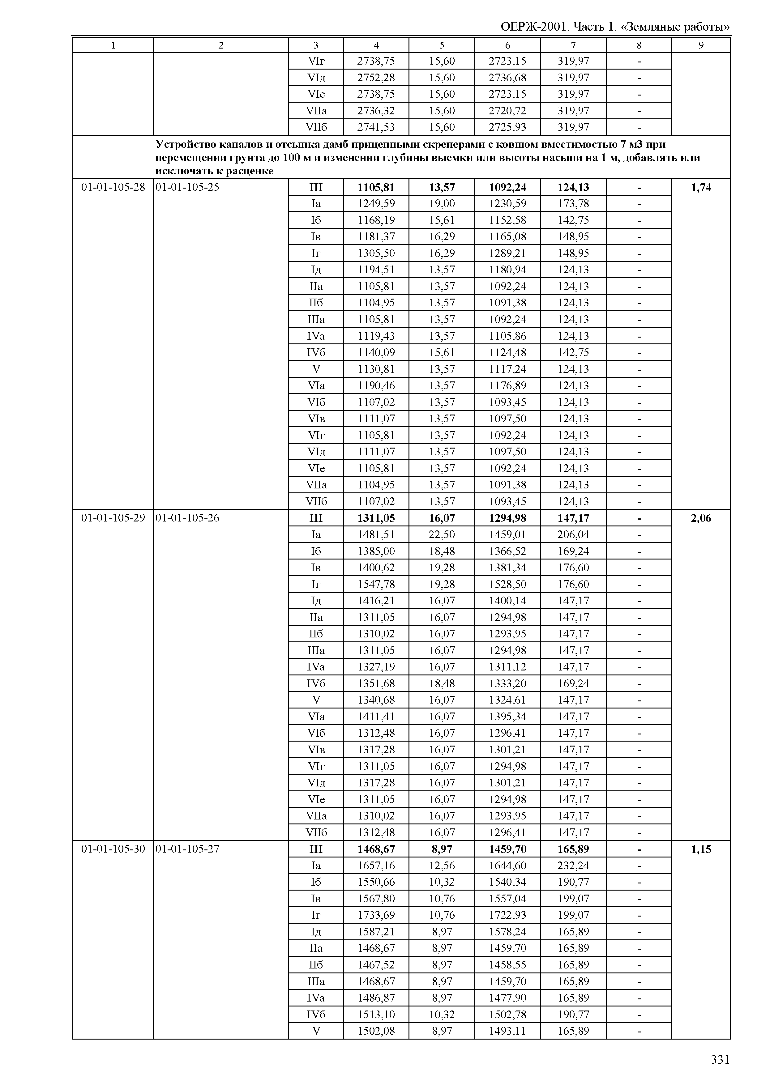
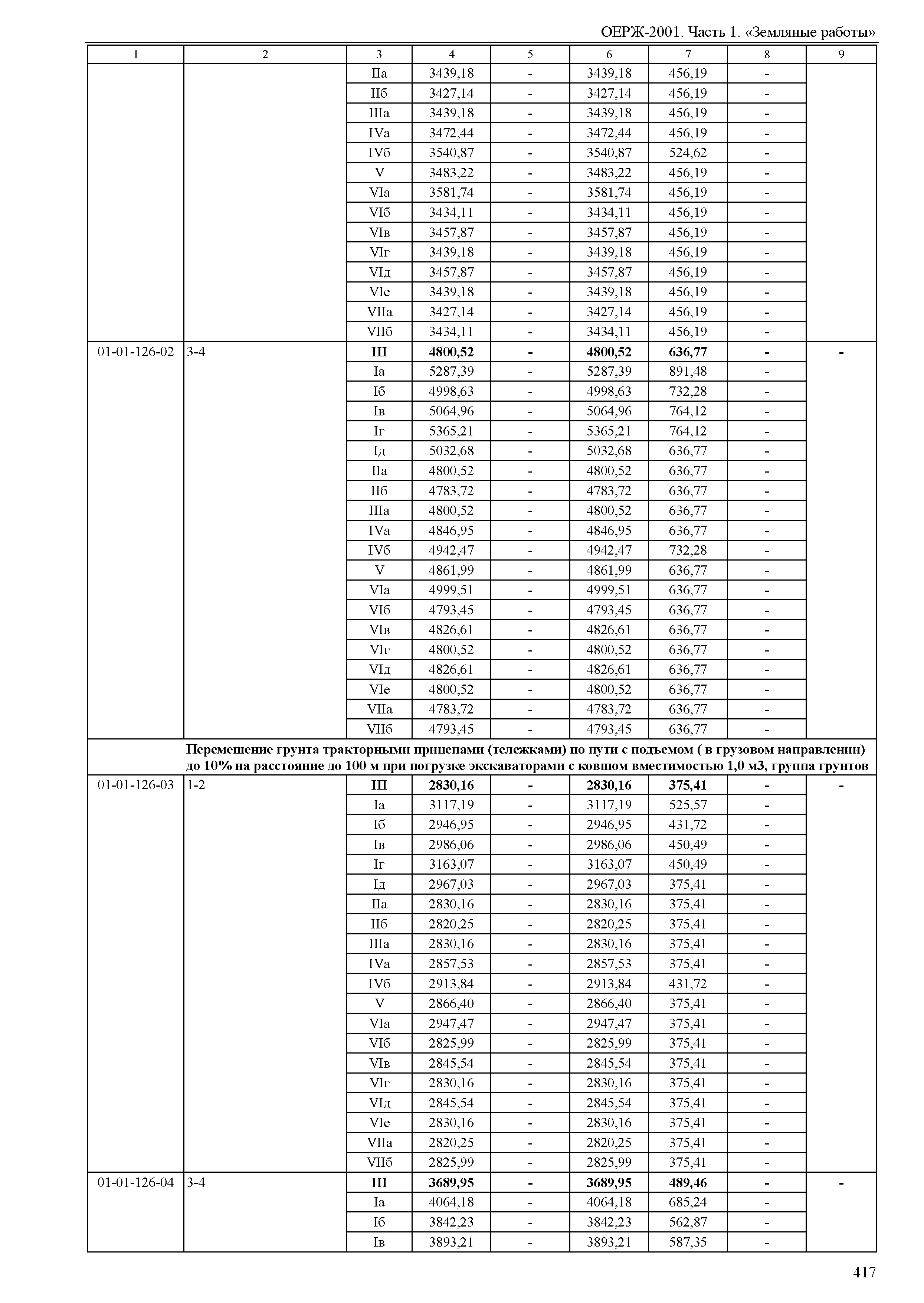
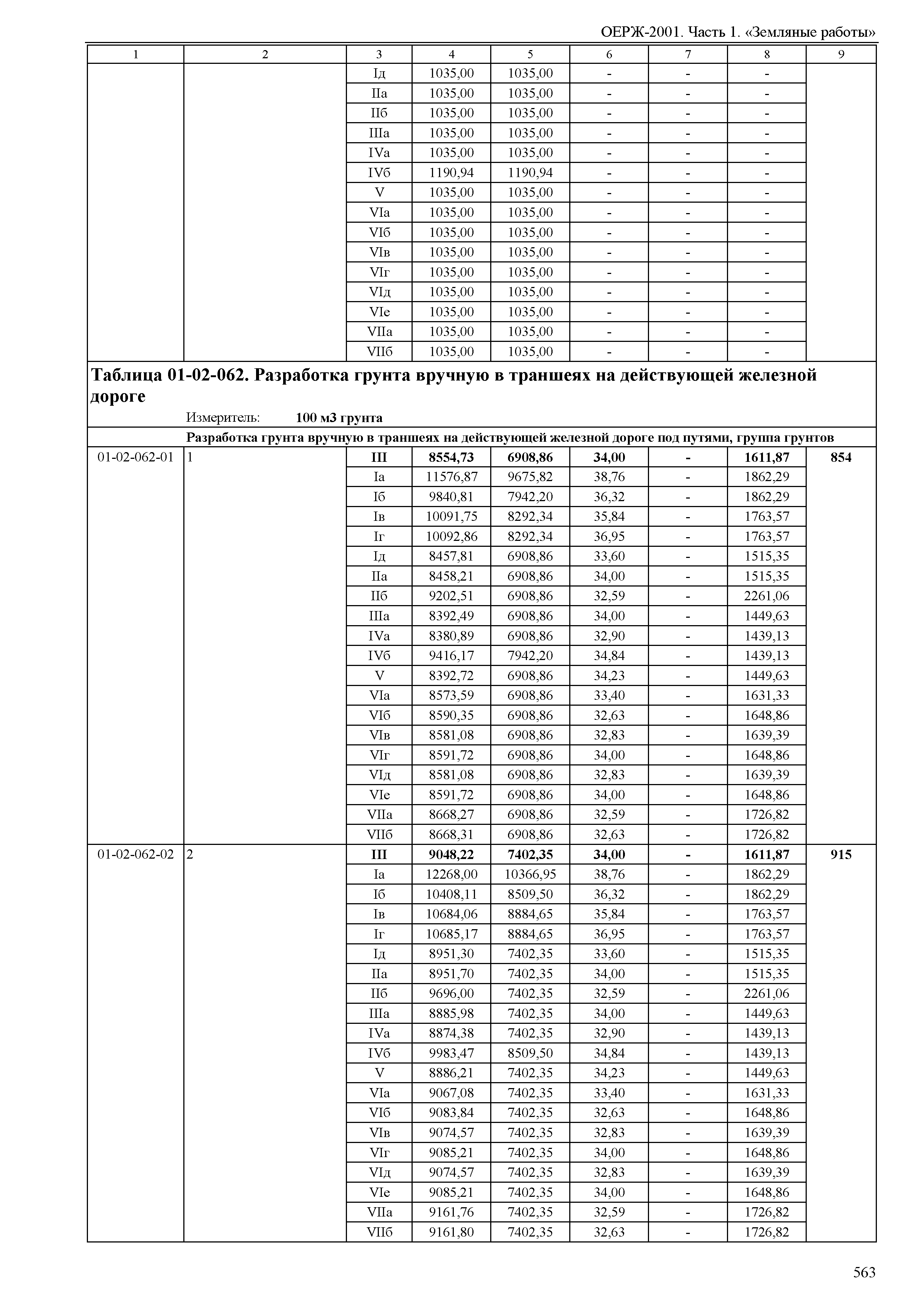
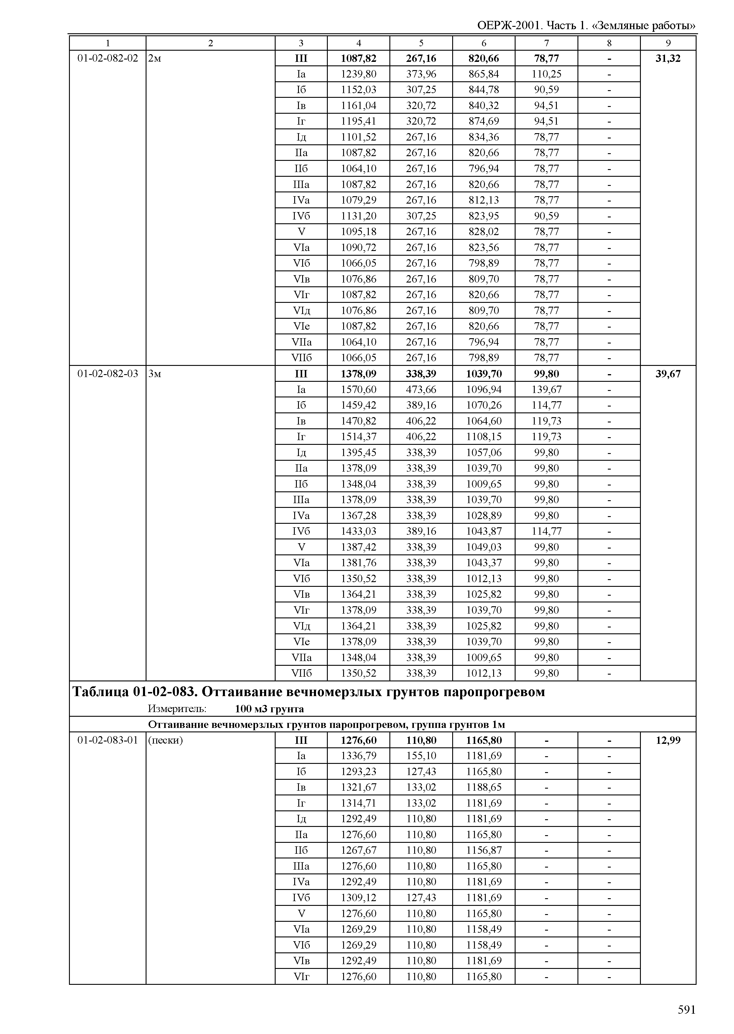
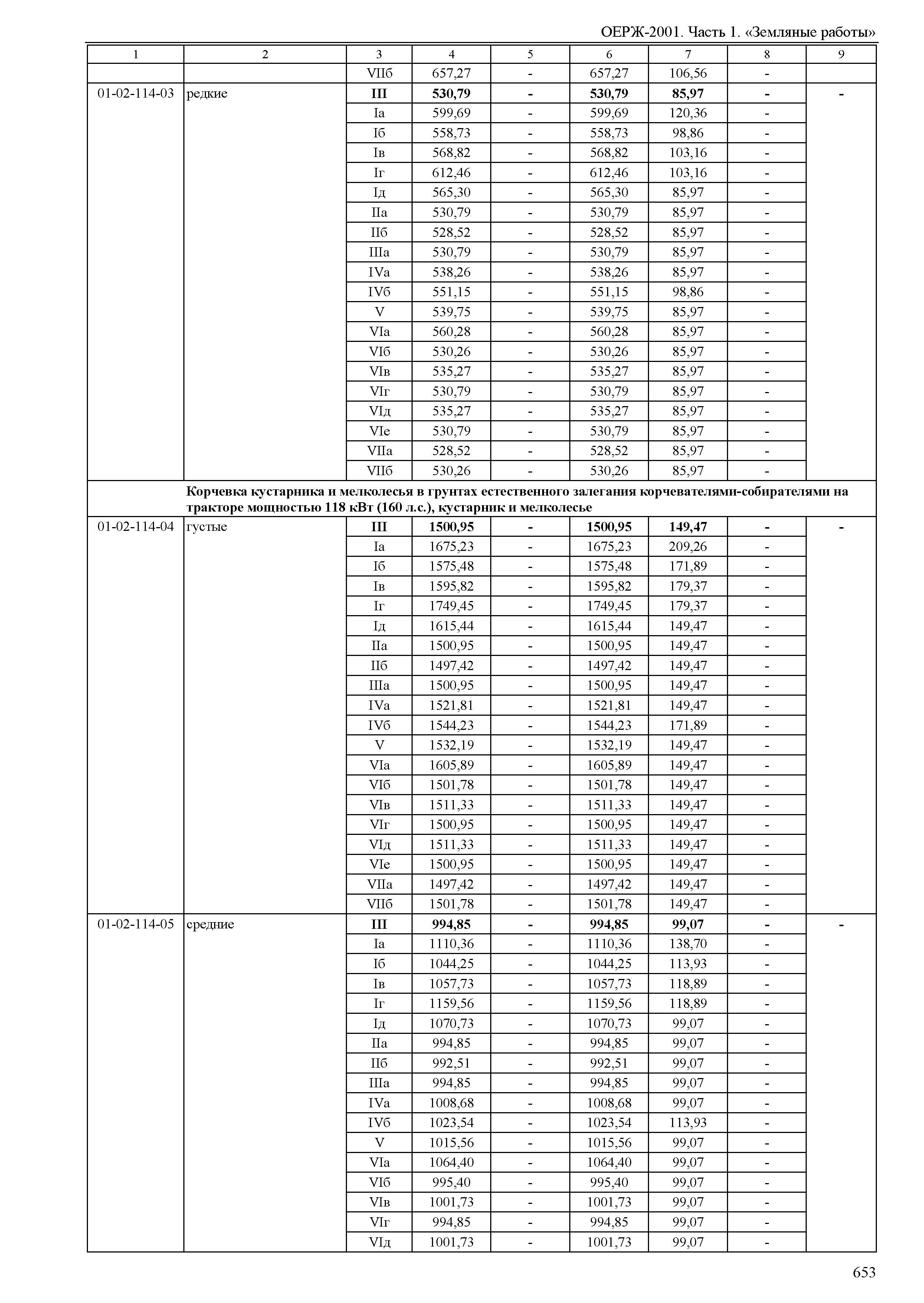
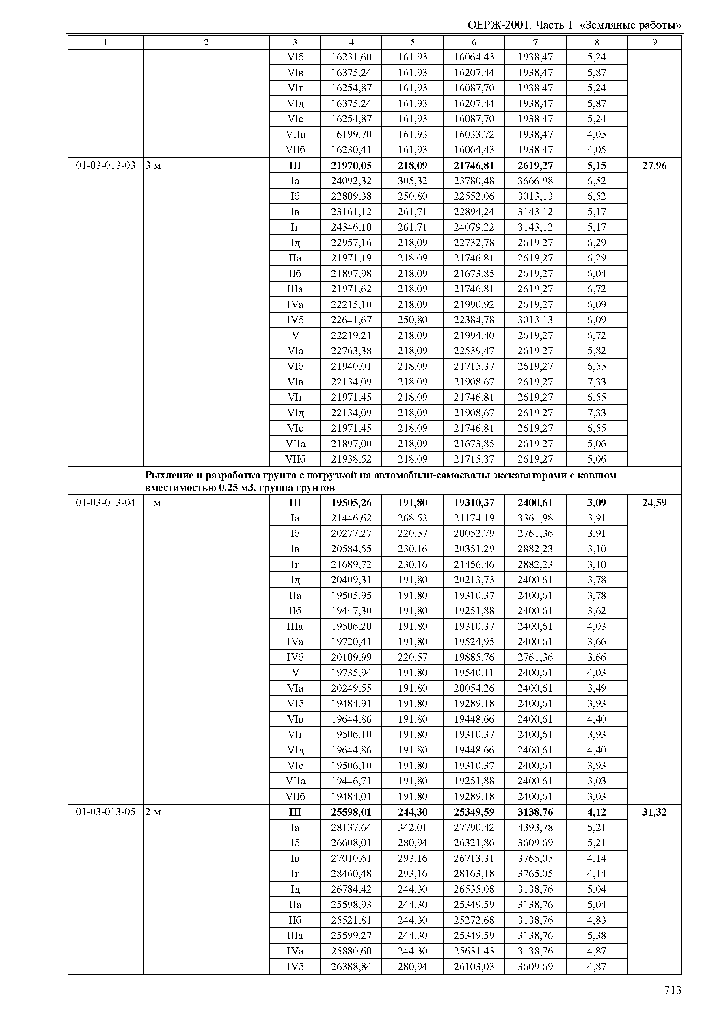
Часть 1. Земляные работы. Книга 1 (Северный, Северо-Западный, Центральный, Волго-Вятский, Центрально-Черноземный, Поволжский, Северо-Кавказский территориальные районы)Обозначение: | ОЕРЖ 81-02-01-2001 | Обозначение англ: | 81-02-01-2001 | Статус: | действует | Название рус.: | Часть 1. Земляные работы. Книга 1 (Северный, Северо-Западный, Центральный, Волго-Вятский, Центрально-Черноземный, Поволжский, Северо-Кавказский территориальные районы) | Дата добавления в базу: | 12.02.2016 | Дата актуализации: | 05.05.2017 | Дата введения: | 01.06.2011 | Область применения: | Отраслевые единичные расценки на строительные и специальные строительные работы предназначены для определения затрат при выполнении строительных работ и составления на их основе сметных расчетов (смет) на производство указанных работ. | Оглавление: | Часть 1. Земляные работы Раздел 1. Механизированная разработка грунтов (экскаваторами, скреперами, бульдозерами, грейдерами, методом гидромеханизации и пр.)5 Подраздел 1.1 Разработка грунта экскаваторами в отвал Подраздел 1.2 Разработка грунта экскаваторами с погрузкой на автомобили-самосвалы Подраздел 1.3 Разработка грунта скреперами Подраздел 1.4 Разработка грунта бульдозерами Подраздел 1.5 Разработка выемок и отсыпка насыпей для железных и автомобильных дорог Подраздел 1.6 Рытье и засыпка траншей для магистральных и промысловых трубопроводов газонефтепродуктов Подраздел 1.7 Разработка грунта и устройство дренажей в водохозяйственном строительстве Подраздел 1.8 Разработка грунта методом гидромеханизации Раздел 2. Другие виды земляных работ, подготовительные, сопутствующие и укрепительные работы Подраздел 2.1 Уплотнение грунта Подраздел 2.2 Насыпи на болотах Подраздел 2.3 Сопутствующие работы Подраздел 2.4 Укрепление откосов земляных сооружений Подраздел 2.5 Разработка грунта вручную Подраздел 2.6 Разработка вечномерзлых и скальных грунтов Подраздел 2.7 Подготовительные работы, связанные с валкой леса и расчисткой площадей и трасс Подраздел 2.8 Водопонижение Раздел 3. Механизированное рыхление и разработка вечномерзлых грунтов (экскаваторами, скреперами, бульдозерами) Подраздел 3.1 Рыхление и разработка вечномерзлого грунта экскаваторами в отвал Подраздел 3.2 Рыхление и разработка вечномерзлого грунта экскаваторами с погрузкой на автомобили - самосвалы Подраздел 3.3 Рыхление и разработка вечномерзлого грунта скреперами Подраздел 3.4. Рыхление и разработка вечномерзлого грунта бульдозерами Подраздел 3.5 Рыхление и разработка выемок и отсыпка насыпей в вечномерзлых грунтах для железных и автомобильных дорог Подраздел 3.6 Рытье и засыпка траншей для магистральных и промысловых трубопроводов газонефтепродуктов в вечномерзлых грунтах | Разработан: | ОАО РЖД НО Национальная ассоциация стоимостного инжиниринга
| Утверждён: | 31.01.2011 ОАО РЖД (178р)
| Расположен в: |
|
                                                                                                                                                                                                                                                                                                                                                                                                                                                                                                                                                                                                                                                                                                                                                                                                                                                         
|