Информационная система
«Ёшкин Кот»

Скачать базу одним архивом
Скачать обновления
История создания базы
Карта сайта

Скачать ТЕРм Алтайский край 81-03-39-2001 Контроль монтажных сварных соединений. Территориальные единичные расценки на монтаж оборудования

Дата актуализации: 10.08.2017

ТЕРм Алтайский край 81-03-39-2001

Контроль монтажных сварных соединений. Территориальные единичные расценки на монтаж оборудования

Обозначение: ТЕРм Алтайский край 81-03-39-2001
Обозначение англ: 81-03-39-2001
Статус:действует
Название рус.:Контроль монтажных сварных соединений. Территориальные единичные расценки на монтаж оборудования
Дата добавления в базу:21.05.2015
Дата актуализации:05.05.2017
Область применения:Территориальные единичные расценки на монтаж оборудования предназначены для определения затрат при выполнении монтажных работ и составления на их основе сметных расчетов (смет) на производство указанных работ
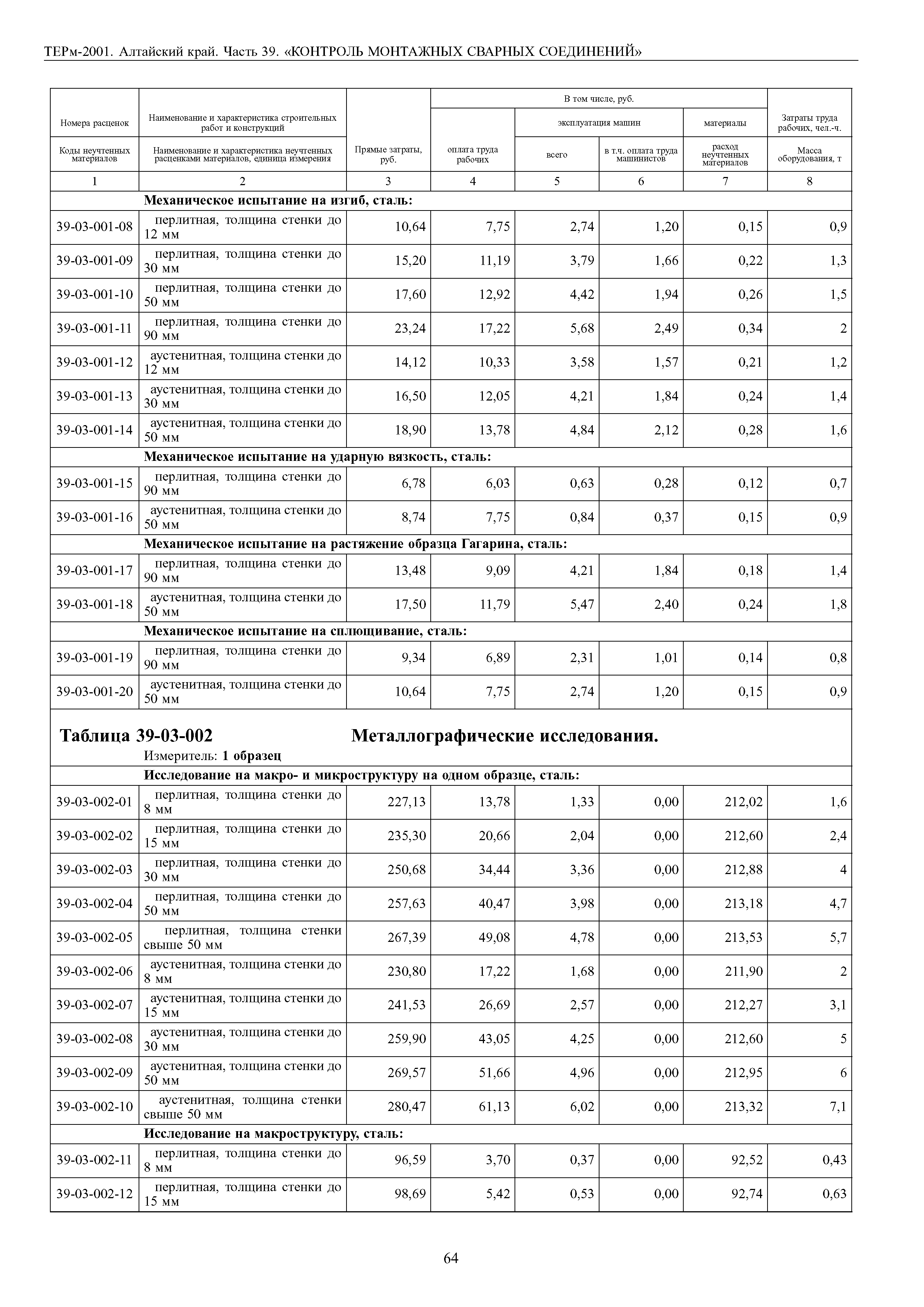
Оглавление:Отдел 01. Подготовка к контролю поверхности монтажных сварных соединений и околошовной зоны
Отдел 02. Контроль монтажных сварных соединений неразрушающими методами
Отдел 03. Контроль монтажных сварных соединений разрушающими методами
Отдел 04. Изготовление образцов для испытания монтажных сварных соединений
Отдел 05. Предварительный контроль
Отдел 06. Операционный контроль
Утверждён:17.01.2011 Администрация Алтайского края (Administration of Altay Territory 12)
Расположен в:Техническая документация Экология СТРОИТЕЛЬНЫЕ МАТЕРИАЛЫ И СТРОИТЕЛЬСТВО Строительная промышленность Стоимость строительства и обслуживания зданий и сооружений -50 Стоимость строительных и строительно-монтажных работ Строительство Нормативные документы Нормативные документы субъектов Российской Федерации Нормативные документы Алтайского края Документы Системы нормативных документов в строительстве Нормативные документы по экономике к.81 Ценообразование и сметы Классификатор ISO Нормативные документы по экономике Ценообразование и сметы
ТЕРм Алтайский край 81-03-39-2001ТЕРм Алтайский край 81-03-39-2001ТЕРм Алтайский край 81-03-39-2001ТЕРм Алтайский край 81-03-39-2001ТЕРм Алтайский край 81-03-39-2001ТЕРм Алтайский край 81-03-39-2001ТЕРм Алтайский край 81-03-39-2001ТЕРм Алтайский край 81-03-39-2001ТЕРм Алтайский край 81-03-39-2001ТЕРм Алтайский край 81-03-39-2001ТЕРм Алтайский край 81-03-39-2001ТЕРм Алтайский край 81-03-39-2001ТЕРм Алтайский край 81-03-39-2001ТЕРм Алтайский край 81-03-39-2001ТЕРм Алтайский край 81-03-39-2001ТЕРм Алтайский край 81-03-39-2001ТЕРм Алтайский край 81-03-39-2001ТЕРм Алтайский край 81-03-39-2001ТЕРм Алтайский край 81-03-39-2001ТЕРм Алтайский край 81-03-39-2001ТЕРм Алтайский край 81-03-39-2001ТЕРм Алтайский край 81-03-39-2001ТЕРм Алтайский край 81-03-39-2001ТЕРм Алтайский край 81-03-39-2001ТЕРм Алтайский край 81-03-39-2001ТЕРм Алтайский край 81-03-39-2001ТЕРм Алтайский край 81-03-39-2001ТЕРм Алтайский край 81-03-39-2001ТЕРм Алтайский край 81-03-39-2001ТЕРм Алтайский край 81-03-39-2001ТЕРм Алтайский край 81-03-39-2001ТЕРм Алтайский край 81-03-39-2001ТЕРм Алтайский край 81-03-39-2001ТЕРм Алтайский край 81-03-39-2001ТЕРм Алтайский край 81-03-39-2001ТЕРм Алтайский край 81-03-39-2001ТЕРм Алтайский край 81-03-39-2001ТЕРм Алтайский край 81-03-39-2001ТЕРм Алтайский край 81-03-39-2001ТЕРм Алтайский край 81-03-39-2001ТЕРм Алтайский край 81-03-39-2001ТЕРм Алтайский край 81-03-39-2001ТЕРм Алтайский край 81-03-39-2001ТЕРм Алтайский край 81-03-39-2001ТЕРм Алтайский край 81-03-39-2001ТЕРм Алтайский край 81-03-39-2001ТЕРм Алтайский край 81-03-39-2001ТЕРм Алтайский край 81-03-39-2001ТЕРм Алтайский край 81-03-39-2001ТЕРм Алтайский край 81-03-39-2001ТЕРм Алтайский край 81-03-39-2001ТЕРм Алтайский край 81-03-39-2001ТЕРм Алтайский край 81-03-39-2001ТЕРм Алтайский край 81-03-39-2001ТЕРм Алтайский край 81-03-39-2001ТЕРм Алтайский край 81-03-39-2001ТЕРм Алтайский край 81-03-39-2001ТЕРм Алтайский край 81-03-39-2001ТЕРм Алтайский край 81-03-39-2001ТЕРм Алтайский край 81-03-39-2001ТЕРм Алтайский край 81-03-39-2001ТЕРм Алтайский край 81-03-39-2001ТЕРм Алтайский край 81-03-39-2001ТЕРм Алтайский край 81-03-39-2001ТЕРм Алтайский край 81-03-39-2001ТЕРм Алтайский край 81-03-39-2001ТЕРм Алтайский край 81-03-39-2001ТЕРм Алтайский край 81-03-39-2001ТЕРм Алтайский край 81-03-39-2001ТЕРм Алтайский край 81-03-39-2001ТЕРм Алтайский край 81-03-39-2001ТЕРм Алтайский край 81-03-39-2001ТЕРм Алтайский край 81-03-39-2001ТЕРм Алтайский край 81-03-39-2001ТЕРм Алтайский край 81-03-39-2001

© 2013 Ёшкин Кот :-) Карта сайта