Информационная система
«Ёшкин Кот»

Скачать базу одним архивом
Скачать обновления
История создания базы
Карта сайта

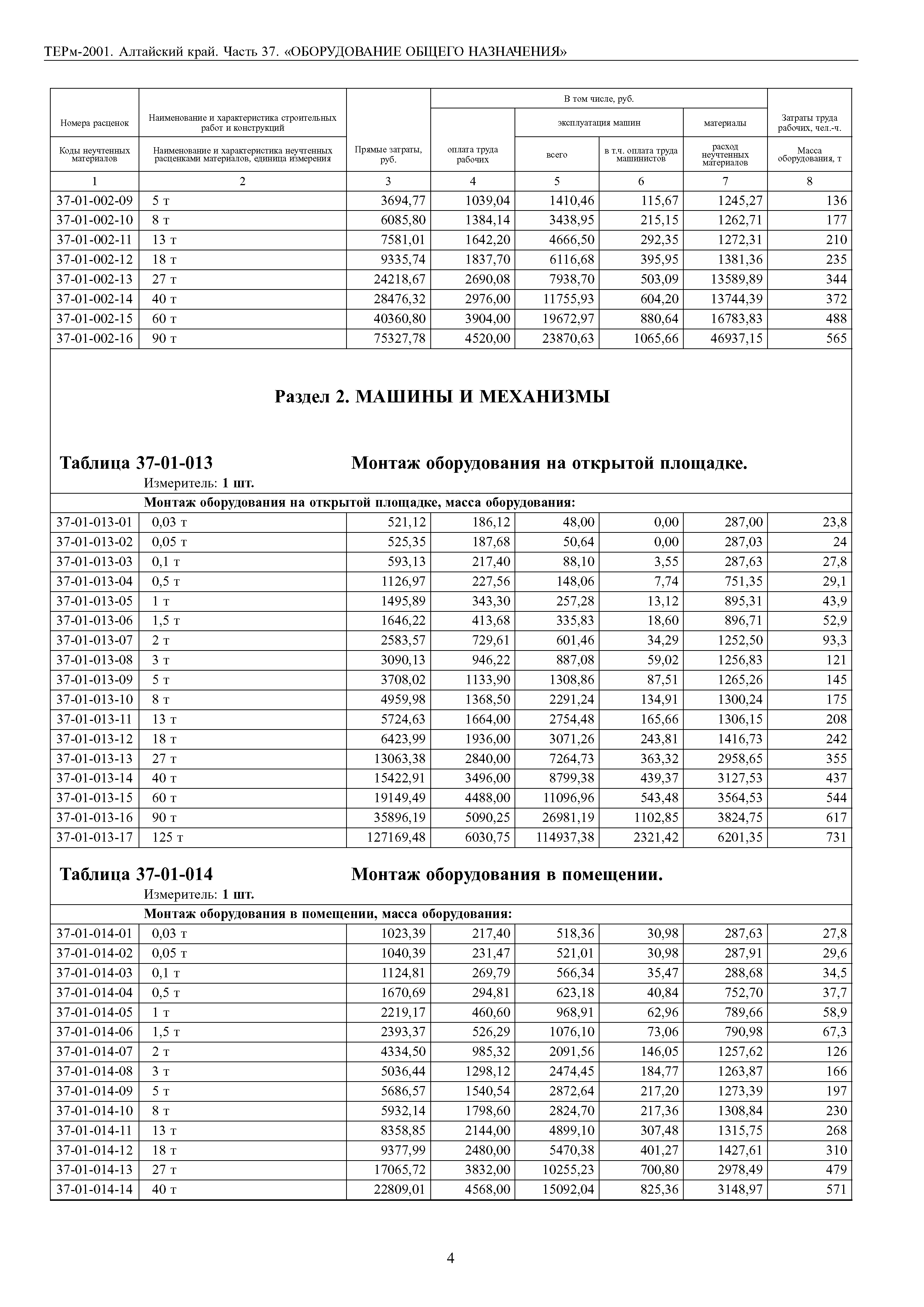
Скачать ТЕРм Алтайский край 81-03-37-2001 Оборудование общего назначения. Территориальные единичные расценки на монтаж оборудования

Дата актуализации: 10.08.2017

ТЕРм Алтайский край 81-03-37-2001

Оборудование общего назначения. Территориальные единичные расценки на монтаж оборудования

Обозначение: ТЕРм Алтайский край 81-03-37-2001
Обозначение англ: 81-03-37-2001
Статус:действует
Название рус.:Оборудование общего назначения. Территориальные единичные расценки на монтаж оборудования
Дата добавления в базу:21.05.2015
Дата актуализации:05.05.2017
Область применения:Территориальные единичные расценки на монтаж оборудования предназначены для определения затрат при выполнении монтажных работ и составления на их основе сметных расчетов (смет) на производство указанных работ
Оглавление:Отдел 01. Монтаж оборудования
   Раздел 1. Сосуды и аппараты без механизмов
   Раздел 2. машины и механизмы
   Раздел 5. Гидравлическое испытание сосудов и аппаратов
   Раздел 6. Испытание машин и механизмов с электроприводов на холостом ходу
Отдел 07. Такелажные работы
   Раздел 1. Устройство и разборка якорей
   Раздел 2. Установка и снятие талей и лебедок без устройства якорей
   Раздел 3. Установка и снятие монтажных блоков и полиспастов
   Раздел 4. Закрепление и снятие расчалок (оттяжек)
   Раздел 5. Установка и снятие треноги и опорной стойки
   Раздел 6. Устройство, разборка и передвижка рельсовых путей
Утверждён:17.01.2011 Администрация Алтайского края (Administration of Altay Territory 12)
Расположен в:Техническая документация Экология СТРОИТЕЛЬНЫЕ МАТЕРИАЛЫ И СТРОИТЕЛЬСТВО Строительная промышленность Стоимость строительства и обслуживания зданий и сооружений -50 Стоимость строительных и строительно-монтажных работ Строительство Нормативные документы Нормативные документы субъектов Российской Федерации Нормативные документы Алтайского края Документы Системы нормативных документов в строительстве Нормативные документы по экономике к.81 Ценообразование и сметы Классификатор ISO Нормативные документы по экономике Ценообразование и сметы
ТЕРм Алтайский край 81-03-37-2001ТЕРм Алтайский край 81-03-37-2001ТЕРм Алтайский край 81-03-37-2001ТЕРм Алтайский край 81-03-37-2001ТЕРм Алтайский край 81-03-37-2001ТЕРм Алтайский край 81-03-37-2001ТЕРм Алтайский край 81-03-37-2001ТЕРм Алтайский край 81-03-37-2001ТЕРм Алтайский край 81-03-37-2001ТЕРм Алтайский край 81-03-37-2001ТЕРм Алтайский край 81-03-37-2001ТЕРм Алтайский край 81-03-37-2001ТЕРм Алтайский край 81-03-37-2001ТЕРм Алтайский край 81-03-37-2001ТЕРм Алтайский край 81-03-37-2001ТЕРм Алтайский край 81-03-37-2001ТЕРм Алтайский край 81-03-37-2001ТЕРм Алтайский край 81-03-37-2001ТЕРм Алтайский край 81-03-37-2001ТЕРм Алтайский край 81-03-37-2001

© 2013 Ёшкин Кот :-) Карта сайта