Информационная система
«Ёшкин Кот»

Скачать базу одним архивом
Скачать обновления
История создания базы
Карта сайта

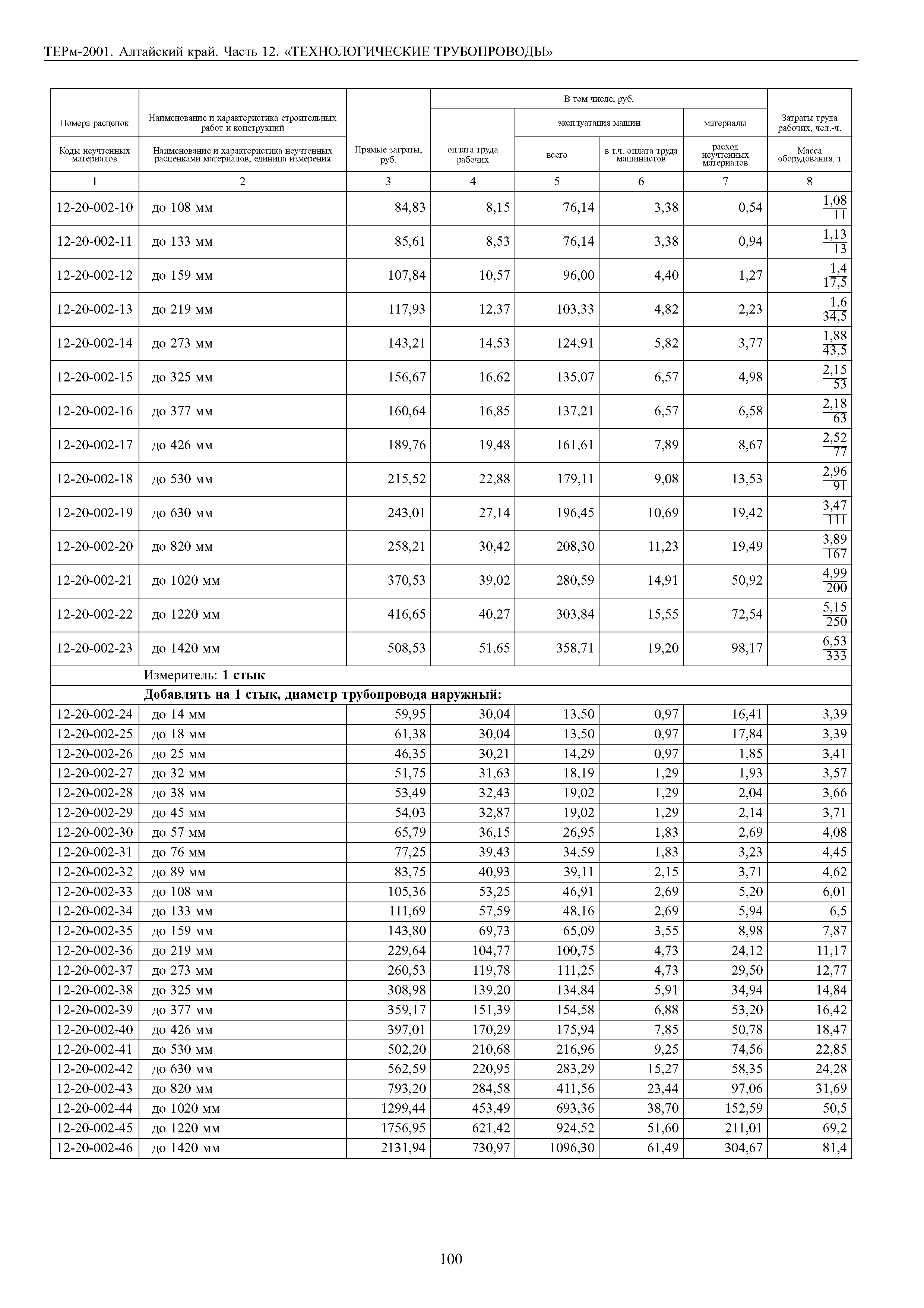
Скачать ТЕРм Алтайский край 81-03-12-2001 Технологические трубопроводы. Территориальные единичные расценки на монтаж оборудования

Дата актуализации: 10.08.2017

ТЕРм Алтайский край 81-03-12-2001

Технологические трубопроводы. Территориальные единичные расценки на монтаж оборудования

Обозначение: ТЕРм Алтайский край 81-03-12-2001
Обозначение англ: 81-03-12-2001
Статус:действует
Название рус.:Технологические трубопроводы. Территориальные единичные расценки на монтаж оборудования
Дата добавления в базу:21.05.2015
Дата актуализации:05.05.2017
Область применения:Территориальные единичные расценки на монтаж оборудования предназначены для определения затрат при выполнении монтажных работ и составления на их основе сметных расчетов (смет) на производство указанных работ
Оглавление:Отдел 01. Трубопроводы технологические цеховые
   Раздел 1. Трубопроводы из труб углеродистых и качественных сталей
   Раздел 2. Трубопроводы из труб легированных и высоколегированных сталей
   Раздел 3. Трубопроводы из алюминиевых труб
   Раздел 4. Трубопроводы из медных и латунных труб
   Раздел 5. Трубопроводы из свинцовых труб
   Раздел 6. Трубопроводы из чу ту иных труб
   Раздел 7. Трубопроводы из керамических и фарфоровых труб
Отдел 02. Трубопроводы технологические межцеховые
   Раздел 1. Трубопроводы из труб углеродистых и качественных сталей
   Раздел 2. Трубопроводы из алюминиевых труб
   Раздел 3. Трубопроводы из медных и латунных труб
   Раздел 4. Трубопроводы из свинцовых труб
   Раздел 5. Трубопроводы из чугунных труб
   Раздел 6. Трубопроводы из керамических и фарфоровых труб
   Раздел 7. Трубопроводы из пластмассовых труб
   Раздел 8. Трубопроводы из труб легированных и высоколегированных сталей
Отдел 03. Трубопроводы внутристанционные тепловых электростанций
   Раздел 1. Трубопроводы из деталей
   Раздел 2. Трубопроводы из узлов и блоков сварных
Отдел 04. Трубопроводы шахтные
   Раздел 1. Трубопроводы стальные в стволе шахты
   Раздел 2. Трубопроводы стальные в горизонтальных и наклонных выработках
   Раздел 3. Трубопроводы стальные водоотливных установок
   Раздел 4. Трубопроводы проходческие в стволе шахты
Отдел 05. Трубопроводы молочных, молочно-консервных, маслодельных и сыродельных заводов на быстроразъемных соединениях
Отдел 07. Трубные проводки систем автоматизации
   Раздел 1. Трубные проводки из труб углеродистых и низколегированных сталей
   Раздел 2. Трубные проводки из труб легированных и коррозионно-стойких сталей
   Раздел 3. Трубные проводки из труб цветных металлов
   Раздел 4. Трубные проводки из пластмассовых труб и пневматических кабелей, коробки соединительные для пневмокабелей КС-7 и КС-14
Отдел 08. Трубопроводы и арматура установок автоматического пожаротушения
Отдел 09. Компенсаторы и смотровые фонари
   Раздел 1. Компенсаторы стальные линзовые и сальниковые
   Раздел 2. Компенсаторы волнистые из углеродистых качественных, легированных, коррозионно-стойких и жаростойких сталей
Отдел 10. Закладные и отборные устройства систем автоматизации
   Раздел 1. Закладные устройства систем автоматизации
Отдел 11. Разные работы, связанные с монтажом трубопроводов
Отдел 12. Арматура общего назначения
   Раздел 1. Арматура фланцевая, приварная, муфтовая
   Раздел 2. Арматура газовой промышленности
   Раздел 3. Арматура аммиачная
Отдел 13. Арматура тепловых электростанций
   Раздел 1. Арматура запорная, регулирующая и дросселирующая
   Раздел 2. Арматура предохранительная
   Раздел 3. Арматура водоподготовительных установок и химводоочисток
Отдел 14. Арматура для кислородных установок
   Раздел 1. Вентили латунные
   Раздел 2. Вентили стальные
   Раздел 3. Задвижки стальные
   Раздел 4. Заслонки стальные
   Раздел 5. Клапаны латунные, стальные и чугунные
Отдел 15. Приводы дистанционные
Отдел 16. Трубопроводы систем пластичной смазки
Отдел 17. Маслопроводы оборудования тепловых электростанций
Отдел 18. Изготовление узлов и секций трубопроводов
   Раздел 1. Изготовление узлов трубопроводов
   Раздел 2. Изготовление секций трубопроводов
Отдел 20. Трубопроводы нефтегазоперерабатывающего комплекса
   Раздел 1. Трубопроводы из труб углеродистой и качественной стали
Утверждён:17.01.2011 Администрация Алтайского края (Administration of Altay Territory 12)
Расположен в:Техническая документация Экология СТРОИТЕЛЬНЫЕ МАТЕРИАЛЫ И СТРОИТЕЛЬСТВО Строительная промышленность Стоимость строительства и обслуживания зданий и сооружений -50 Стоимость строительных и строительно-монтажных работ Строительство Нормативные документы Нормативные документы субъектов Российской Федерации Нормативные документы Алтайского края Документы Системы нормативных документов в строительстве Нормативные документы по экономике к.81 Ценообразование и сметы Классификатор ISO Нормативные документы по экономике Ценообразование и сметы
ТЕРм Алтайский край 81-03-12-2001ТЕРм Алтайский край 81-03-12-2001ТЕРм Алтайский край 81-03-12-2001ТЕРм Алтайский край 81-03-12-2001ТЕРм Алтайский край 81-03-12-2001ТЕРм Алтайский край 81-03-12-2001ТЕРм Алтайский край 81-03-12-2001ТЕРм Алтайский край 81-03-12-2001ТЕРм Алтайский край 81-03-12-2001ТЕРм Алтайский край 81-03-12-2001ТЕРм Алтайский край 81-03-12-2001ТЕРм Алтайский край 81-03-12-2001ТЕРм Алтайский край 81-03-12-2001ТЕРм Алтайский край 81-03-12-2001ТЕРм Алтайский край 81-03-12-2001ТЕРм Алтайский край 81-03-12-2001ТЕРм Алтайский край 81-03-12-2001ТЕРм Алтайский край 81-03-12-2001ТЕРм Алтайский край 81-03-12-2001ТЕРм Алтайский край 81-03-12-2001ТЕРм Алтайский край 81-03-12-2001ТЕРм Алтайский край 81-03-12-2001ТЕРм Алтайский край 81-03-12-2001ТЕРм Алтайский край 81-03-12-2001ТЕРм Алтайский край 81-03-12-2001ТЕРм Алтайский край 81-03-12-2001ТЕРм Алтайский край 81-03-12-2001ТЕРм Алтайский край 81-03-12-2001ТЕРм Алтайский край 81-03-12-2001ТЕРм Алтайский край 81-03-12-2001ТЕРм Алтайский край 81-03-12-2001ТЕРм Алтайский край 81-03-12-2001ТЕРм Алтайский край 81-03-12-2001ТЕРм Алтайский край 81-03-12-2001ТЕРм Алтайский край 81-03-12-2001ТЕРм Алтайский край 81-03-12-2001ТЕРм Алтайский край 81-03-12-2001ТЕРм Алтайский край 81-03-12-2001ТЕРм Алтайский край 81-03-12-2001ТЕРм Алтайский край 81-03-12-2001ТЕРм Алтайский край 81-03-12-2001ТЕРм Алтайский край 81-03-12-2001ТЕРм Алтайский край 81-03-12-2001ТЕРм Алтайский край 81-03-12-2001ТЕРм Алтайский край 81-03-12-2001ТЕРм Алтайский край 81-03-12-2001ТЕРм Алтайский край 81-03-12-2001ТЕРм Алтайский край 81-03-12-2001ТЕРм Алтайский край 81-03-12-2001ТЕРм Алтайский край 81-03-12-2001ТЕРм Алтайский край 81-03-12-2001ТЕРм Алтайский край 81-03-12-2001ТЕРм Алтайский край 81-03-12-2001ТЕРм Алтайский край 81-03-12-2001ТЕРм Алтайский край 81-03-12-2001ТЕРм Алтайский край 81-03-12-2001ТЕРм Алтайский край 81-03-12-2001ТЕРм Алтайский край 81-03-12-2001ТЕРм Алтайский край 81-03-12-2001ТЕРм Алтайский край 81-03-12-2001ТЕРм Алтайский край 81-03-12-2001ТЕРм Алтайский край 81-03-12-2001ТЕРм Алтайский край 81-03-12-2001ТЕРм Алтайский край 81-03-12-2001ТЕРм Алтайский край 81-03-12-2001ТЕРм Алтайский край 81-03-12-2001ТЕРм Алтайский край 81-03-12-2001ТЕРм Алтайский край 81-03-12-2001ТЕРм Алтайский край 81-03-12-2001ТЕРм Алтайский край 81-03-12-2001ТЕРм Алтайский край 81-03-12-2001ТЕРм Алтайский край 81-03-12-2001ТЕРм Алтайский край 81-03-12-2001ТЕРм Алтайский край 81-03-12-2001ТЕРм Алтайский край 81-03-12-2001ТЕРм Алтайский край 81-03-12-2001ТЕРм Алтайский край 81-03-12-2001ТЕРм Алтайский край 81-03-12-2001ТЕРм Алтайский край 81-03-12-2001ТЕРм Алтайский край 81-03-12-2001ТЕРм Алтайский край 81-03-12-2001ТЕРм Алтайский край 81-03-12-2001ТЕРм Алтайский край 81-03-12-2001ТЕРм Алтайский край 81-03-12-2001ТЕРм Алтайский край 81-03-12-2001ТЕРм Алтайский край 81-03-12-2001ТЕРм Алтайский край 81-03-12-2001ТЕРм Алтайский край 81-03-12-2001ТЕРм Алтайский край 81-03-12-2001ТЕРм Алтайский край 81-03-12-2001ТЕРм Алтайский край 81-03-12-2001ТЕРм Алтайский край 81-03-12-2001ТЕРм Алтайский край 81-03-12-2001ТЕРм Алтайский край 81-03-12-2001ТЕРм Алтайский край 81-03-12-2001ТЕРм Алтайский край 81-03-12-2001ТЕРм Алтайский край 81-03-12-2001ТЕРм Алтайский край 81-03-12-2001ТЕРм Алтайский край 81-03-12-2001ТЕРм Алтайский край 81-03-12-2001ТЕРм Алтайский край 81-03-12-2001ТЕРм Алтайский край 81-03-12-2001ТЕРм Алтайский край 81-03-12-2001ТЕРм Алтайский край 81-03-12-2001ТЕРм Алтайский край 81-03-12-2001ТЕРм Алтайский край 81-03-12-2001ТЕРм Алтайский край 81-03-12-2001ТЕРм Алтайский край 81-03-12-2001ТЕРм Алтайский край 81-03-12-2001ТЕРм Алтайский край 81-03-12-2001

© 2013 Ёшкин Кот :-) Карта сайта