Информационная система
«Ёшкин Кот»

Скачать базу одним архивом
Скачать обновления
История создания базы
Карта сайта

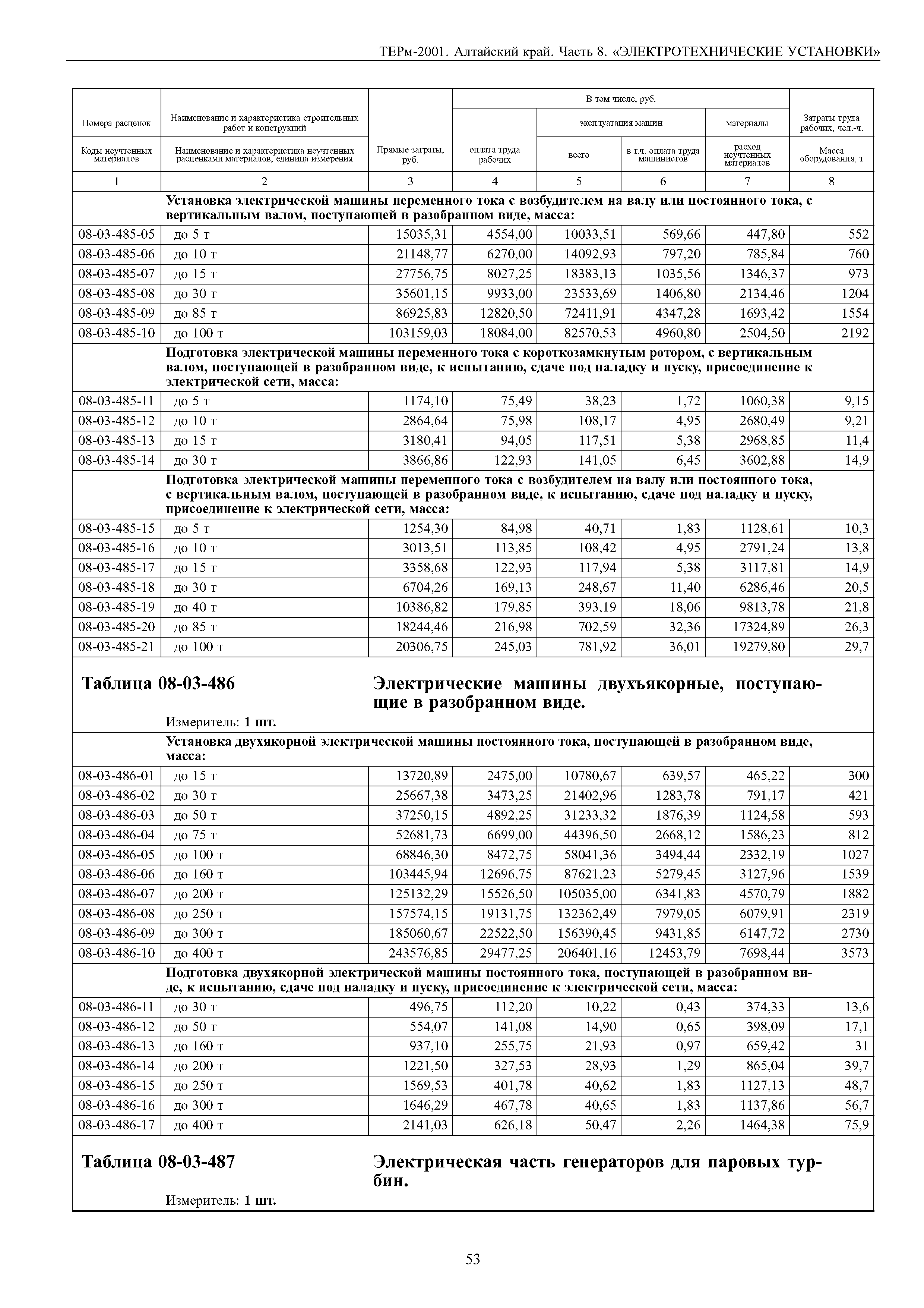
Скачать ТЕРм Алтайский край 81-03-08-2001 Электротехнические установки. Территориальные единичные расценки на монтаж оборудования

Дата актуализации: 10.08.2017

ТЕРм Алтайский край 81-03-08-2001

Электротехнические установки. Территориальные единичные расценки на монтаж оборудования

Обозначение: ТЕРм Алтайский край 81-03-08-2001
Обозначение англ: 81-03-08-2001
Статус:действует
Название рус.:Электротехнические установки. Территориальные единичные расценки на монтаж оборудования
Дата добавления в базу:21.05.2015
Дата актуализации:05.05.2017
Область применения:Территориальные единичные расценки на монтаж оборудования предназначены для определения затрат при выполнении монтажных работ и составления на их основе сметных расчетов (смет) на производство указанных работ
Оглавление:Отдел 01. Распределительные устройства и подстанции
   Раздел 1. Распределительные устройства открытые 6 - 750 кВ
   Раздел 2. Распределительные устройства закрытые 35 - 220 кВ
   Раздел 3. Распределительные устройства закрытые 3 - 20 кВ
   Раздел 4. Преобразовательные устройства
   Раздел 5. Аккумуляторные установки
Отдел 02. Канализация электроэнергии и электрические сети
   Раздел 1. Кабельные линии до 500 кВ
   Раздел 2. Сети контактные городского транспорта
   Раздел 3. Сети контактные метрополитена
   Раздел 4. Сети контактные промышленного транспорта
   Раздел 5. Электроосвещение наружное
   Раздел 6. Сети проводок в зданиях и сооружениях
   Раздел 7. Шины тяжелые
   Раздел 8. Сети заземления электротехнических установок
Отдел 03. Электросиловые и электроосветительные установки
   Раздел 1. Электрические машины
   Раздел 2. Токоподвод к подъемно-транспортным установкам
   Раздел 3. Устройства пускорегулирующие
   Раздел 4. Низковольтные комплектные устройства
   Раздел 5. Приборы осветительные, нагревательные, щитки и счетчики
   Раздел 6. Установки театрально-зрелищных предприятий
Отдел 04. Кабельные линии и электрооборудование специальных установок
   Раздел 1. Кабельные линии и электрооборудование ядерных энергоустановок и спецкорпусов АЭС
Отдел 5. Кабельные линии и электрооборудование специальных установок для горнорудных выработок
   Раздел 1. Кабельные линии до 110 кВ в горнорудных выработках
   Раздел 2. Электрооборудование в горнорудных выработках
Утверждён:17.01.2011 Администрация Алтайского края (Administration of Altay Territory 12)
Расположен в:Техническая документация Экология СТРОИТЕЛЬНЫЕ МАТЕРИАЛЫ И СТРОИТЕЛЬСТВО Строительная промышленность Стоимость строительства и обслуживания зданий и сооружений -50 Стоимость строительных и строительно-монтажных работ Строительство Нормативные документы Нормативные документы субъектов Российской Федерации Нормативные документы Алтайского края Документы Системы нормативных документов в строительстве Нормативные документы по экономике к.81 Ценообразование и сметы Классификатор ISO Нормативные документы по экономике Ценообразование и сметы
ТЕРм Алтайский край 81-03-08-2001ТЕРм Алтайский край 81-03-08-2001ТЕРм Алтайский край 81-03-08-2001ТЕРм Алтайский край 81-03-08-2001ТЕРм Алтайский край 81-03-08-2001ТЕРм Алтайский край 81-03-08-2001ТЕРм Алтайский край 81-03-08-2001ТЕРм Алтайский край 81-03-08-2001ТЕРм Алтайский край 81-03-08-2001ТЕРм Алтайский край 81-03-08-2001ТЕРм Алтайский край 81-03-08-2001ТЕРм Алтайский край 81-03-08-2001ТЕРм Алтайский край 81-03-08-2001ТЕРм Алтайский край 81-03-08-2001ТЕРм Алтайский край 81-03-08-2001ТЕРм Алтайский край 81-03-08-2001ТЕРм Алтайский край 81-03-08-2001ТЕРм Алтайский край 81-03-08-2001ТЕРм Алтайский край 81-03-08-2001ТЕРм Алтайский край 81-03-08-2001ТЕРм Алтайский край 81-03-08-2001ТЕРм Алтайский край 81-03-08-2001ТЕРм Алтайский край 81-03-08-2001ТЕРм Алтайский край 81-03-08-2001ТЕРм Алтайский край 81-03-08-2001ТЕРм Алтайский край 81-03-08-2001ТЕРм Алтайский край 81-03-08-2001ТЕРм Алтайский край 81-03-08-2001ТЕРм Алтайский край 81-03-08-2001ТЕРм Алтайский край 81-03-08-2001ТЕРм Алтайский край 81-03-08-2001ТЕРм Алтайский край 81-03-08-2001ТЕРм Алтайский край 81-03-08-2001ТЕРм Алтайский край 81-03-08-2001ТЕРм Алтайский край 81-03-08-2001ТЕРм Алтайский край 81-03-08-2001ТЕРм Алтайский край 81-03-08-2001ТЕРм Алтайский край 81-03-08-2001ТЕРм Алтайский край 81-03-08-2001ТЕРм Алтайский край 81-03-08-2001ТЕРм Алтайский край 81-03-08-2001ТЕРм Алтайский край 81-03-08-2001ТЕРм Алтайский край 81-03-08-2001ТЕРм Алтайский край 81-03-08-2001ТЕРм Алтайский край 81-03-08-2001ТЕРм Алтайский край 81-03-08-2001ТЕРм Алтайский край 81-03-08-2001ТЕРм Алтайский край 81-03-08-2001ТЕРм Алтайский край 81-03-08-2001ТЕРм Алтайский край 81-03-08-2001ТЕРм Алтайский край 81-03-08-2001ТЕРм Алтайский край 81-03-08-2001ТЕРм Алтайский край 81-03-08-2001ТЕРм Алтайский край 81-03-08-2001ТЕРм Алтайский край 81-03-08-2001ТЕРм Алтайский край 81-03-08-2001ТЕРм Алтайский край 81-03-08-2001ТЕРм Алтайский край 81-03-08-2001ТЕРм Алтайский край 81-03-08-2001ТЕРм Алтайский край 81-03-08-2001ТЕРм Алтайский край 81-03-08-2001ТЕРм Алтайский край 81-03-08-2001ТЕРм Алтайский край 81-03-08-2001ТЕРм Алтайский край 81-03-08-2001ТЕРм Алтайский край 81-03-08-2001ТЕРм Алтайский край 81-03-08-2001ТЕРм Алтайский край 81-03-08-2001ТЕРм Алтайский край 81-03-08-2001ТЕРм Алтайский край 81-03-08-2001ТЕРм Алтайский край 81-03-08-2001ТЕРм Алтайский край 81-03-08-2001ТЕРм Алтайский край 81-03-08-2001ТЕРм Алтайский край 81-03-08-2001ТЕРм Алтайский край 81-03-08-2001ТЕРм Алтайский край 81-03-08-2001ТЕРм Алтайский край 81-03-08-2001ТЕРм Алтайский край 81-03-08-2001ТЕРм Алтайский край 81-03-08-2001ТЕРм Алтайский край 81-03-08-2001ТЕРм Алтайский край 81-03-08-2001ТЕРм Алтайский край 81-03-08-2001ТЕРм Алтайский край 81-03-08-2001ТЕРм Алтайский край 81-03-08-2001ТЕРм Алтайский край 81-03-08-2001ТЕРм Алтайский край 81-03-08-2001ТЕРм Алтайский край 81-03-08-2001ТЕРм Алтайский край 81-03-08-2001ТЕРм Алтайский край 81-03-08-2001ТЕРм Алтайский край 81-03-08-2001ТЕРм Алтайский край 81-03-08-2001ТЕРм Алтайский край 81-03-08-2001ТЕРм Алтайский край 81-03-08-2001ТЕРм Алтайский край 81-03-08-2001ТЕРм Алтайский край 81-03-08-2001

© 2013 Ёшкин Кот :-) Карта сайта